Suppr超能文献

早班和晚班都会降低短途航线飞行员的警觉性和工作表现。

Early starts and late finishes both reduce alertness and performance among short-haul airline pilots.

机构信息

Fatigue Countermeasures Laboratory, San Jose State University, Moffett Field, California, USA.

School of Business, Menlo College, Atherton, California, USA.

出版信息

J Sleep Res. 2022 Jun;31(3):e13521. doi: 10.1111/jsr.13521. Epub 2021 Dec 2.

Abstract

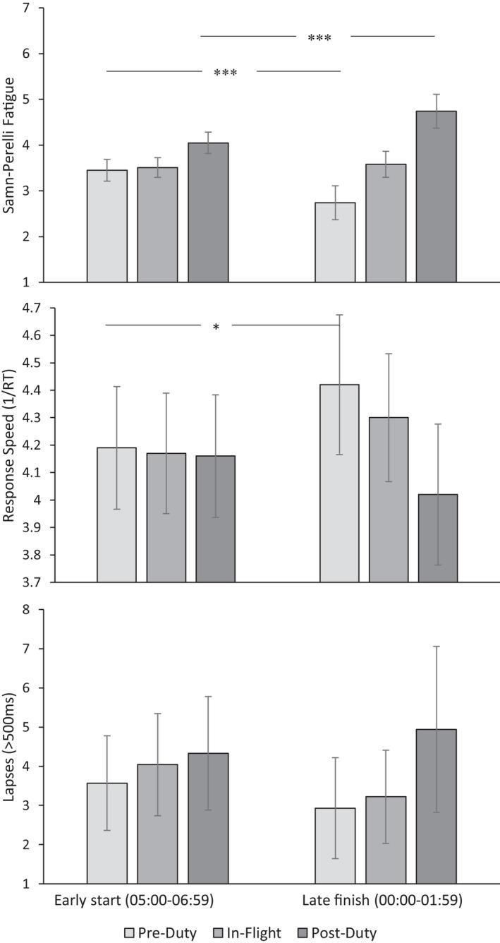
Flight crews are frequently required to work irregular schedules and, as a result, can experience sleep deficiency and fatigue. This study was conducted to determine whether perceived fatigue levels and objective performance varied by time of day, time awake, and prior night's sleep duration. Ninety-five pilots (86 male, 9 female) aged 33 years (±8) volunteered for the study. Participants completed a daily sleep diary, Samn-Perelli fatigue scale, and psychomotor vigilance task that were completed before and after each flight duty period and at the top-of-descent for each flight. Pilots experienced higher self-reported fatigue (EMM = 3.92, SE = 0.09, p < 0.001) and worse performance (Response speed: EMM = 4.27, SE = 0.08, p = 0.004) for late-finishing duties compared with early-starting duties (Samn-Perelli: EMM = 3.74, SE = 0.08; Response speed: EMM = 4.37, SE = 0.08), but had shorter sleep before early-starting duties (early: EMM = 6.94, SE = 0.10; late: EMM = 8.47, SE = 0.14, p < 0.001). However, pre-duty Samn-Perelli and response speed were worse (z = 4.18, p < 0.001; z = 3.05, p = 0.03; respectively) for early starts compared with late finishes (EMM = 2.74, SE = 0.19), while post-duty Samn-Perelli was worse for late finishes (EMM = 4.74, SE = 0.19) compared with early starts (EMM = 4.05, SE = 0.12). The results confirm that duty time has a strong influence on self-reported fatigue and performance. Thus, all flights that encroach on a biological night are targets for fatigue risk management oversight.

摘要

机组人员经常需要轮班工作,因此可能会经历睡眠不足和疲劳。本研究旨在确定疲劳程度和客观表现是否因一天中的时间、清醒时间和前一晚的睡眠时间而有所不同。95 名飞行员(86 名男性,9 名女性)年龄为 33 岁(±8 岁),自愿参加了这项研究。参与者完成了一份日常睡眠日记、Samn-Perelli 疲劳量表和精神运动 vigilance 任务,这些任务在每次飞行任务前后以及每次飞行的下降顶端完成。飞行员在完成较晚开始的任务时,自我报告的疲劳程度(EMM=3.92,SE=0.09,p<0.001)和表现(反应速度:EMM=4.27,SE=0.08,p=0.004)都更高,与较早开始的任务相比(Samn-Perelli:EMM=3.74,SE=0.08;反应速度:EMM=4.37,SE=0.08),但在较早开始的任务前睡眠时间更短(早:EMM=6.94,SE=0.10;晚:EMM=8.47,SE=0.14,p<0.001)。然而,与较晚完成的任务相比,早期开始的任务前的 Samn-Perelli 和反应速度更差(z=4.18,p<0.001;z=3.05,p=0.03),而较晚完成的任务后的 Samn-Perelli 则更差(EMM=4.74,SE=0.19),而较晚完成的任务后的 Samn-Perelli 则更差(EMM=4.05,SE=0.12)。结果证实,轮班时间对自我报告的疲劳和表现有很大影响。因此,所有侵犯生物夜间的飞行都成为疲劳风险管理监督的目标。

https://cdn.ncbi.nlm.nih.gov/pmc/blobs/5b33/9286802/961b367ff84b/JSR-31-0-g001.jpg

文献AI研究员

20分钟写一篇综述,助力文献阅读效率提升50倍。

立即体验

用中文搜PubMed

大模型驱动的PubMed中文搜索引擎

马上搜索

文档翻译

学术文献翻译模型,支持多种主流文档格式。

立即体验