• 文献检索
  • 文档翻译
  • 深度研究
  • 学术资讯
  • Suppr Zotero 插件Zotero 插件
  • 邀请有礼
  • 套餐&价格
  • 历史记录
应用&插件
Suppr Zotero 插件Zotero 插件浏览器插件Mac 客户端Windows 客户端微信小程序
定价
高级版会员购买积分包购买API积分包
服务
文献检索文档翻译深度研究API 文档MCP 服务
关于我们
关于 Suppr公司介绍联系我们用户协议隐私条款
关注我们

Suppr 超能文献

核心技术专利:CN118964589B侵权必究
粤ICP备2023148730 号-1Suppr @ 2026

文献检索

告别复杂PubMed语法,用中文像聊天一样搜索,搜遍4000万医学文献。AI智能推荐,让科研检索更轻松。

立即免费搜索

文件翻译

保留排版,准确专业,支持PDF/Word/PPT等文件格式,支持 12+语言互译。

免费翻译文档

深度研究

AI帮你快速写综述,25分钟生成高质量综述,智能提取关键信息,辅助科研写作。

立即免费体验

短时间高强度运动后恢复期间血糖的延迟反弹:是否存在乳酸与葡萄糖代谢的相互作用?

Delayed Rebound of Glycemia During Recovery Following Short-Duration High-Intensity Exercise: Are There Lactate and Glucose Metabolism Interactions?

作者信息

Messonnier Laurent A, Chatel Benjamin, Emhoff Chi-An W, Blervaque Léo, Oyono-Enguéllé Samuel

机构信息

Laboratoire Interuniversitaire de Biologie de la Motricité, Université Savoie Mont Blanc, Chambéry, France.

Cellmade Laboratories, Le Bourget-du-Lac, France.

出版信息

Front Nutr. 2021 Nov 11;8:734152. doi: 10.3389/fnut.2021.734152. eCollection 2021.

DOI:10.3389/fnut.2021.734152
PMID:34859027
原文链接:https://pmc.ncbi.nlm.nih.gov/articles/PMC8632521/
Abstract

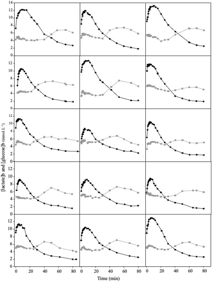
Lactate constitutes the primary gluconeogenic precursor in healthy humans at rest and during low-intensity exercise. Data on the interactions between lactate and glucose metabolisms during recovery after short-duration high-intensity exercise are sparse. The aim of the present study was to describe blood glucose ([glucose]) and lactate ([lactate]) concentration curves during recovery following short-duration high-intensity exercise. Fifteen healthy Cameroonian subjects took part in the study and performed successively (i) an incremental exercise to exhaustion to determine maximal work rate (P) and (ii) a 2-min 110% P exercise after which blood lactate and glucose concentrations were measured during the 80-min passive recovery. In response to the 2-min 110% P exercise, [glucose] remained stable (from 4.93 ± 1.13 to 4.65 ± 0.74 mmolL, NS) while [lactate] increased (from 1.35 ± 0.36 to 7.87 ± 1.66 mmolL, < 0.0001). During recovery, blood lactate concentrations displayed the classic biphasic curve while blood glucose concentrations displayed a singular shape including a delayed and transitory rebound of glycemia. This rebound began at 27.7 ± 6.2 min and peaked at 6.78 ± 0.53 mmolL at 56.3 ± 9.7 min into recovery. The area under the curve (AUC) of [lactate] during the rebound of glycemia was positively correlated with the peak value of glycemia and the AUC of [glucose] during the rebound. In conclusion, the delayed rebound of glycemia observed in the present study was associated with lactate availability during this period.

摘要

在健康的静息状态及低强度运动的人体中,乳酸是糖异生的主要前体物质。关于短时间高强度运动后恢复期间乳酸与葡萄糖代谢之间相互作用的数据较为稀少。本研究的目的是描述短时间高强度运动后恢复期间的血糖([葡萄糖])和乳酸([乳酸])浓度曲线。15名健康的喀麦隆受试者参与了本研究,他们依次进行了:(i)递增运动至力竭以确定最大工作率(P);(ii)进行2分钟110%P强度的运动,之后在80分钟的被动恢复期间测量血乳酸和血糖浓度。针对2分钟110%P强度的运动,[葡萄糖]保持稳定(从4.93±1.13降至4.65±0.74 mmol/L,无显著差异),而[乳酸]升高(从1.35±0.36升至7.87±1.66 mmol/L,P<0.0001)。在恢复过程中,血乳酸浓度呈现出经典的双相曲线,而血糖浓度呈现出独特的形状,包括血糖的延迟性和短暂性反弹。这种反弹始于27.7±6.2分钟,在恢复至56.3±9.7分钟时达到峰值6.78±0.53 mmol/L。血糖反弹期间[乳酸]的曲线下面积(AUC)与血糖峰值以及反弹期间[葡萄糖]的AUC呈正相关。总之,本研究中观察到的血糖延迟性反弹与该时期乳酸的可用性有关。

https://cdn.ncbi.nlm.nih.gov/pmc/blobs/87f1/8632521/66d5ec2e16e3/fnut-08-734152-g0004.jpg
https://cdn.ncbi.nlm.nih.gov/pmc/blobs/87f1/8632521/ffbd941d3296/fnut-08-734152-g0001.jpg
https://cdn.ncbi.nlm.nih.gov/pmc/blobs/87f1/8632521/a0fe43b8e2c9/fnut-08-734152-g0002.jpg
https://cdn.ncbi.nlm.nih.gov/pmc/blobs/87f1/8632521/ab7a99cb3293/fnut-08-734152-g0003.jpg
https://cdn.ncbi.nlm.nih.gov/pmc/blobs/87f1/8632521/66d5ec2e16e3/fnut-08-734152-g0004.jpg
https://cdn.ncbi.nlm.nih.gov/pmc/blobs/87f1/8632521/ffbd941d3296/fnut-08-734152-g0001.jpg
https://cdn.ncbi.nlm.nih.gov/pmc/blobs/87f1/8632521/a0fe43b8e2c9/fnut-08-734152-g0002.jpg
https://cdn.ncbi.nlm.nih.gov/pmc/blobs/87f1/8632521/ab7a99cb3293/fnut-08-734152-g0003.jpg
https://cdn.ncbi.nlm.nih.gov/pmc/blobs/87f1/8632521/66d5ec2e16e3/fnut-08-734152-g0004.jpg

相似文献

1
Delayed Rebound of Glycemia During Recovery Following Short-Duration High-Intensity Exercise: Are There Lactate and Glucose Metabolism Interactions?短时间高强度运动后恢复期间血糖的延迟反弹:是否存在乳酸与葡萄糖代谢的相互作用?
Front Nutr. 2021 Nov 11;8:734152. doi: 10.3389/fnut.2021.734152. eCollection 2021.
2
Effects of prior exercise on glycemic responses following carbohydrate inges on in individuals with type 2 diabetes.先前运动对2型糖尿病患者碳水化合物摄入后血糖反应的影响。
J Clin Transl Res. 2015 Jul 17;1(1):22-30. eCollection 2015 Jul 20.
3
Impact of low-intensity isocapnic hyperpnoea on blood lactate disappearance after exhaustive arm exercise.低强度等碳酸通气过度对力竭性手臂运动后血乳酸清除的影响。
Br J Sports Med. 2007 Sep;41(9):588-91; discussion 591. doi: 10.1136/bjsm.2006.034264. Epub 2007 May 14.
4
Effect of sprint duration (6 s or 30 s) on plasma glucose regulation in untrained male subjects.短跑持续时间(6秒或30秒)对未经训练男性受试者血浆葡萄糖调节的影响。
J Sports Med Phys Fitness. 2003 Dec;43(4):546-53.
5
Lactate, glucose and O2 uptake in human brain during recovery from maximal exercise.最大运动恢复期间人脑的乳酸、葡萄糖和氧气摄取情况。
J Physiol. 2000 Jan 1;522 Pt 1(Pt 1):159-64. doi: 10.1111/j.1469-7793.2000.t01-2-00159.xm.
6
Power and peak blood lactate at 5050 m with 10 and 30 s 'all out' cycling.在海拔5050米处进行10秒和30秒“全力”骑行时的功率和血乳酸峰值。
Acta Physiol Scand. 2001 Jul;172(3):189-94. doi: 10.1046/j.1365-201x.2001.00857.x.
7
Thirst responses following high intensity intermittent exercise when access to ad libitum water intake was permitted, not permitted or delayed.在高强度间歇运动后,当随意饮水被允许、不被允许或延迟时的口渴反应。
Physiol Behav. 2016 Apr 1;157:47-54. doi: 10.1016/j.physbeh.2016.01.016. Epub 2016 Jan 22.
8
How to regulate the acute physiological response to "aerobic" high-intensity interval exercise.如何调节对“有氧”高强度间歇运动的急性生理反应。
J Sports Sci Med. 2015 Mar 1;14(1):29-36. eCollection 2015 Mar.
9
The influence of blood sampling site on lactate concentration during submaximal exercise at 4 mmol.l-1 lactate level.在乳酸水平为4 mmol·l-1的次最大运动期间,采血部位对乳酸浓度的影响。
Eur J Appl Physiol Occup Physiol. 1993;67(6):518-22. doi: 10.1007/BF00241648.
10
Effects of training on lactate kinetics parameters and their influence on short high-intensity exercise performance.训练对乳酸动力学参数的影响及其对短时间高强度运动表现的作用。
Int J Sports Med. 2006 Jan;27(1):60-6. doi: 10.1055/s-2005-837507.

引用本文的文献

1
Transcriptional Expression of Histone Acetyltransferases and Deacetylases During the Recovery of Acute Exercise in Mouse Hippocampus.急性运动后小鼠海马组织中转录组乙酰转移酶和去乙酰化酶的表达。
J Mol Neurosci. 2024 Apr 3;74(2):34. doi: 10.1007/s12031-024-02215-5.
2
Assessing aerobic physical efficiency through temple surface temperature measurements during light, heavy exercise, and recovery.通过轻、重运动和恢复期间太阳穴表面温度的测量来评估有氧身体效率。
Sci Rep. 2023 Sep 23;13(1):15882. doi: 10.1038/s41598-023-43012-1.
3
Lower Muscle and Blood Lactate Accumulation in Sickle Cell Trait Carriers in Response to Short High-Intensity Exercise.

本文引用的文献

1
Lactate in contemporary biology: a phoenix risen.当代生物学中的乳酸:浴火重生。
J Physiol. 2022 Mar;600(5):1229-1251. doi: 10.1113/JP280955. Epub 2021 Feb 25.
2
Decreased Blood Glucose and Lactate: Is a Useful Indicator of Recovery Ability in Athletes?血糖和乳酸降低:是否是运动员恢复能力的有用指标?
Int J Environ Res Public Health. 2020 Jul 29;17(15):5470. doi: 10.3390/ijerph17155470.
3
Effect of diurnal variations in the carbohydrate and fat composition of meals on postprandial glycemic response in healthy adults: a novel insight for the second-meal phenomenon.
镰状细胞特征携带者在短时间高强度运动后肌肉和血液中乳酸积累减少。
Nutrients. 2022 Jan 24;14(3):501. doi: 10.3390/nu14030501.
饮食中碳水化合物和脂肪组成的昼夜变化对健康成年人餐后血糖反应的影响:对第二餐现象的新认识。
Am J Clin Nutr. 2018 Aug 1;108(2):332-342. doi: 10.1093/ajcn/nqy086.
4
Comprehensive review on lactate metabolism in human health.乳酸代谢与人类健康的全面综述
Mitochondrion. 2014 Jul;17:76-100. doi: 10.1016/j.mito.2014.05.007. Epub 2014 Jun 12.
5
Direct and indirect lactate oxidation in trained and untrained men.训练和未训练男性的直接和间接乳酸氧化。
J Appl Physiol (1985). 2013 Sep;115(6):829-38. doi: 10.1152/japplphysiol.00538.2013. Epub 2013 Jun 20.
6
Lactate kinetics at the lactate threshold in trained and untrained men.训练有素和未经训练的男性在乳酸阈下的乳酸动力学。
J Appl Physiol (1985). 2013 Jun;114(11):1593-602. doi: 10.1152/japplphysiol.00043.2013. Epub 2013 Apr 4.
7
Correlates of acute insulin resistance in the early phase of non-diabetic ST-elevation myocardial infarction.非糖尿病性 ST 段抬高心肌梗死早期急性胰岛素抵抗的相关因素。
Diab Vasc Dis Res. 2011 Jan;8(1):35-42. doi: 10.1177/1479164110396744.
8
Remodeling of skeletal muscle microvasculature in sickle cell trait and alpha-thalassemia.镰状细胞特征和α-地中海贫血症中骨骼肌微血管的重塑。
Am J Physiol Heart Circ Physiol. 2010 Feb;298(2):H375-84. doi: 10.1152/ajpheart.00812.2009. Epub 2009 Nov 13.
9
Plasma catecholamine and nephrine responses to brief intermittent maximal intensity exercise.血浆儿茶酚胺和去甲肾上腺素对短暂间歇性最大强度运动的反应。
Amino Acids. 2009 Feb;36(2):209-17. doi: 10.1007/s00726-008-0049-2. Epub 2008 Feb 23.
10
Importance of pH regulation and lactate/H+ transport capacity for work production during supramaximal exercise in humans.pH调节和乳酸/H⁺转运能力对人类进行超最大运动时产生功的重要性。
J Appl Physiol (1985). 2007 May;102(5):1936-44. doi: 10.1152/japplphysiol.00691.2006. Epub 2007 Feb 8.