Instituto de Virología Dr. J. M. Vanella, Facultad de Ciencias Médicas, Universidad Nacional de Córdoba, Córdoba, Argentina.
Instituto de Virología Dr. J. M. Vanella, Facultad de Ciencias Médicas, Universidad Nacional de Córdoba, Córdoba, Argentina; Consejo Nacional de Investigaciones Científicas y Técnicas (CONICET), Argentina.
Vaccine. 2022 Jan 31;40(5):811-818. doi: 10.1016/j.vaccine.2021.12.027. Epub 2021 Dec 20.
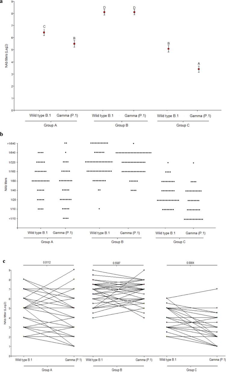
We evaluated humoral immune-response elicited by Sputnik-V by measuring anti-Spike (S) IgG antibodies (Abs) and neutralizing antibodies (NAb) prior to, 14 and 42 days after-vaccination. The safety and disease rates among vaccinated individuals were also evaluated. Since SARS-CoV-2 lineage P.1 is rapidly spreading in Argentina, virus-neutralizing activity of Sputnik-V-elicited and infection-elicited NAb faced to P.1 were also assessed. A total of 285 participants were recruited; all reported good tolerance, without any severe adverse event. Nine COVID-19 cases were confirmed in fully vaccinated individuals and viable P.1 variant was successfully isolated from one of them. At day 42, 99.65% of the individuals had anti-S IgG; however, 23.15% had not detectable NAbs. Significantly higher neutralization potency against WT compared to P.1 (p < 0·001) was observed. Some samples failed to neutralize P.1, mainly among vaccinated-naїve subjects; however, no significant differences were observed among previously infected-vaccinated individuals. Our results corroborated that Sputnik-V is safe and induces an efficient humoral immune response, although not all immunized subjects develop Nabs. Herein, we show for the first time, evidence of infectious SARS-CoV-2 shedding from Sputnik-V fully vaccinated individuals, by the isolation of viable virus from the nasopharyngeal swab of one participant of our study, 139 days after receiving the second dose. Thereby, we provide evidence indicating that the vaccine might avoid severe forms of COVID-19 but does not prevent infection nor prevents transmission from a fully vaccinated individual.
我们通过测量接种前、接种后 14 天和 42 天的抗刺突(S)IgG 抗体(Abs)和中和抗体(NAb)来评估 Sputnik-V 引起的体液免疫反应。还评估了接种者的安全性和疾病发生率。由于 SARS-CoV-2 谱系 P.1 在阿根廷迅速传播,因此还评估了 Sputnik-V 诱导的和感染诱导的 NAb 对 P.1 的病毒中和活性。共招募了 285 名参与者;所有人均报告良好的耐受性,无任何严重不良事件。在完全接种疫苗的个体中确诊了 9 例 COVID-19 病例,并成功从其中 1 例中分离出了活的 P.1 变体。在第 42 天,99.65%的个体具有抗 S IgG;但是,有 23.15%的个体未检测到 NAb。与 P.1 相比,对 WT 的中和效力明显更高(p<0·001)。一些样本未能中和 P.1,主要是在未接种疫苗的人群中;但是,在先前感染-接种的个体中未观察到显著差异。我们的结果证实,Sputnik-V 是安全的,并诱导有效的体液免疫反应,尽管并非所有免疫接种的个体都产生 NAb。在这里,我们首次证明了从 Sputnik-V 完全接种疫苗的个体中分离出活病毒,从我们研究中的一名参与者的鼻咽拭子中分离出活病毒,可证明有传染性 SARS-CoV-2 的脱落。从而,我们提供了证据表明,该疫苗可能避免 COVID-19 的严重形式,但不能预防感染或阻止完全接种疫苗的个体的传播。