Suppr超能文献

阿根廷未来饮食转变的健康、环境和经济层面

The health, environmental, and economic dimensions of future dietary transitions in Argentina.

作者信息

Arrieta Ezequiel M, Fischer Carlos González, Aguiar Sebastian, Geri Milva, Fernández Roberto J, Coquet Julia Becaria, Scavuzzo Carlos M, Rieznik Andres, León Alberto, González Alejandro D, Jobbágy Esteban G

机构信息

Instituto Multidisciplinario de Biología Vegetal (IMBIV), CONICET y Universidad Nacional de Córdoba, 5000 Córdoba, Argentina.

New Zealand Agricultural Greenhouse Gas Research Centre (NZAGRC), Palmerston North, New Zealand.

出版信息

Sustain Sci. 2022 Jan 15:1-17. doi: 10.1007/s11625-021-01087-7.

Abstract

UNLABELLED

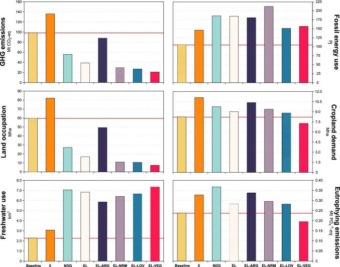
Diets link human health with environmental sustainability, offering promising pressure points to enhance the sustainability of food systems. We investigated the health, environmental, and economic dimensions of the current diet in Argentina and the possible effects of six dietary change scenarios on nutrient adequacy, dietary quality, food expenditure, and six environmental impact categories (i.e., GHG emissions, total land occupation, cropland use, fossil energy use, freshwater consumption, and the emission of eutrophying pollutants). Current dietary patterns are unhealthy, unsustainable, and relatively expensive, and all things being equal, an increase in income levels would not alter the health dimension, but increase environmental impacts by 33-38%, and costs by 38%. Compared to the prevailing diet, the six healthier diet alternatives could improve health with an expenditure between + 27% (National Dietary Guidelines) to -5% (vegan diet) of the current diet. These dietary changes could result in trade-offs between different environmental impacts. Plant-based diets showed the lowest overall environmental impact, with GHG emissions and land occupation reduced by up to 79% and 88%, respectively, without significant changes in cropland demand. However, fossil energy use and freshwater consumption could increase by up to 101% and 220%, respectively. The emission of eutrophying pollutants could increase by up to 54% for all healthy diet scenarios, except for the vegan one (18% decrease). We conclude that the health and environmental crisis that Argentina (and other developing countries) currently face could be mitigated by adopting healthy diets (particularly plant-based), bringing in the process benefits to both people and nature.

SUPPLEMENTARY INFORMATION

The online version contains supplementary material available at 10.1007/s11625-021-01087-7.

摘要

未标注

饮食将人类健康与环境可持续性联系起来,为增强食品系统的可持续性提供了有前景的切入点。我们研究了阿根廷当前饮食的健康、环境和经济层面,以及六种饮食变化情景对营养充足性、饮食质量、食品支出和六个环境影响类别(即温室气体排放、总土地占用、农田使用、化石能源使用、淡水消耗和富营养化污染物排放)的可能影响。当前的饮食模式不健康、不可持续且相对昂贵,在其他条件相同的情况下,收入水平的提高不会改变健康层面,但会使环境影响增加33%-38%,成本增加38%。与当前流行的饮食相比,六种更健康的饮食替代方案可以改善健康状况,支出在当前饮食的+27%(国家饮食指南)至-5%(纯素饮食)之间。这些饮食变化可能会在不同的环境影响之间产生权衡。植物性饮食总体上对环境的影响最小,温室气体排放和土地占用分别减少高达79%和88%,而农田需求没有显著变化。然而,化石能源使用和淡水消耗可能分别增加高达101%和220%。除纯素饮食情景(减少18%)外,所有健康饮食情景下富营养化污染物的排放可能增加高达54%。我们得出结论,阿根廷(以及其他发展中国家)目前面临的健康和环境危机可以通过采用健康饮食(特别是植物性饮食)来缓解,在此过程中为人与自然都带来益处。

补充信息

在线版本包含可在10.1007/s11625-021-01087-7获取的补充材料。

https://cdn.ncbi.nlm.nih.gov/pmc/blobs/6152/8760564/2e5393c58436/11625_2021_1087_Fig1_HTML.jpg

文献AI研究员

20分钟写一篇综述,助力文献阅读效率提升50倍。

立即体验

用中文搜PubMed

大模型驱动的PubMed中文搜索引擎

马上搜索

文档翻译

学术文献翻译模型,支持多种主流文档格式。

立即体验