Suppr超能文献

政府封锁政策对降低欧洲空气污染水平和相关死亡率的差异化影响。

Differential impact of government lockdown policies on reducing air pollution levels and related mortality in Europe.

机构信息

Department of Public Health, Environments and Society, London School of Hygiene and Tropical Medicine, WC1H 9SH, London, United Kingdom.

European Space Agency, 00044, Frascati, Italy.

出版信息

Sci Rep. 2022 Jan 26;12(1):726. doi: 10.1038/s41598-021-04277-6.

Abstract

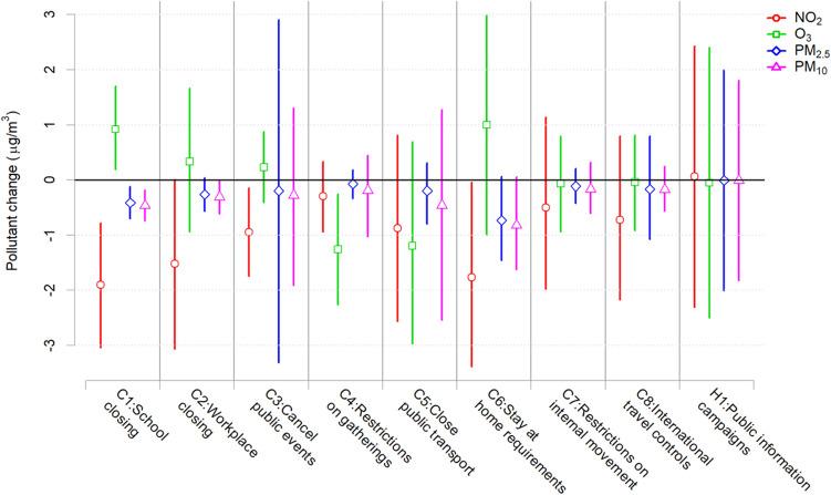
Previous studies have reported a decrease in air pollution levels following the enforcement of lockdown measures during the first wave of the COVID-19 pandemic. However, these investigations were mostly based on simple pre-post comparisons using past years as a reference and did not assess the role of different policy interventions. This study contributes to knowledge by quantifying the association between specific lockdown measures and the decrease in NO, O, PM, and PM levels across 47 European cities. It also estimated the number of avoided deaths during the period. This paper used new modelled data from the Copernicus Atmosphere Monitoring Service (CAMS) to define business-as-usual and lockdown scenarios of daily air pollution trends. This study applies a spatio-temporal Bayesian non-linear mixed effect model to quantify the changes in pollutant concentrations associated with the stringency indices of individual policy measures. The results indicated non-linear associations with a stronger decrease in NO compared to PM and PM concentrations at very strict policy levels. Differences across interventions were also identified, specifically the strong effects of actions linked to school/workplace closure, limitations on gatherings, and stay-at-home requirements. Finally, the observed decrease in pollution potentially resulted in hundreds of avoided deaths across Europe.

摘要

先前的研究报告指出,在 COVID-19 大流行的第一波期间实施封锁措施后,空气污染水平有所下降。然而,这些调查大多基于简单的前后对比,以前几年为参照,并未评估不同政策干预的作用。本研究通过量化特定封锁措施与 47 个欧洲城市的 NO、O、PM 和 PM 水平下降之间的关联,为相关知识做出了贡献。它还估算了在此期间避免的死亡人数。本文使用哥白尼大气监测服务(CAMS)的新模型数据来定义日常空气污染趋势的照常营业和封锁情景。本研究采用时空贝叶斯非线性混合效应模型来量化与个别政策措施严格程度指数相关的污染物浓度变化。结果表明,与 PM 和 PM 浓度相比,NO 浓度与政策严格程度呈非线性关联,在非常严格的政策水平下下降幅度更大。还确定了不同干预措施之间的差异,特别是与学校/工作场所关闭、集会限制和居家要求相关的行动的强烈影响。最后,观察到的污染减少可能导致欧洲数百人避免死亡。

https://cdn.ncbi.nlm.nih.gov/pmc/blobs/06c0/8791935/ede655d30517/41598_2021_4277_Fig1_HTML.jpg

文献AI研究员

20分钟写一篇综述,助力文献阅读效率提升50倍。

立即体验

用中文搜PubMed

大模型驱动的PubMed中文搜索引擎

马上搜索

文档翻译

学术文献翻译模型,支持多种主流文档格式。

立即体验