• 文献检索
  • 文档翻译
  • 深度研究
  • 学术资讯
  • Suppr Zotero 插件Zotero 插件
  • 邀请有礼
  • 套餐&价格
  • 历史记录
应用&插件
Suppr Zotero 插件Zotero 插件浏览器插件Mac 客户端Windows 客户端微信小程序
定价
高级版会员购买积分包购买API积分包
服务
文献检索文档翻译深度研究API 文档MCP 服务
关于我们
关于 Suppr公司介绍联系我们用户协议隐私条款
关注我们

Suppr 超能文献

核心技术专利:CN118964589B侵权必究
粤ICP备2023148730 号-1Suppr @ 2026

文献检索

告别复杂PubMed语法,用中文像聊天一样搜索,搜遍4000万医学文献。AI智能推荐,让科研检索更轻松。

立即免费搜索

文件翻译

保留排版,准确专业,支持PDF/Word/PPT等文件格式,支持 12+语言互译。

免费翻译文档

深度研究

AI帮你快速写综述,25分钟生成高质量综述,智能提取关键信息,辅助科研写作。

立即免费体验

针对脑卒中幸存者的家庭照顾者的照护负担的定制多维干预的效果:一项随机对照试验。

Effect of a tailored multidimensional intervention on the care burden among family caregivers of stroke survivors: a randomised controlled trial.

机构信息

Graduate School of Biomedical and Health Sciences, Hiroshima University, Hiroshima, Japan

Community Health Nursing Department, Faculty of Nursing, Cairo University, Cairo, Egypt.

出版信息

BMJ Open. 2022 Feb 15;12(2):e049741. doi: 10.1136/bmjopen-2021-049741.

DOI:10.1136/bmjopen-2021-049741
PMID:35168963
原文链接:https://pmc.ncbi.nlm.nih.gov/articles/PMC8852666/
Abstract

OBJECTIVES

To evaluate the effectiveness of a tailored multidimensional intervention in reducing the care burden of family caregivers of stroke survivors. This intervention considered caregivers' perceived needs and incorporated three evidence-based dimensions (psychoeducation, skill-building and peer support).

DESIGN

A prospective randomised control trial.

SETTING

A community-based study conducted in Egypt.

PARTICIPANTS

A total of 110 caregivers aged ≥18 years who cared for a survivor within 6 months of stroke, with modified Rankin Scale scores of 3-5, and without other physical disabilities or terminal illnesses were recruited between December 2019 and May 2020. Participants were assigned to the intervention group (IG; n=55) and control group (CG; n=55) through open-label, parallel 1:1 randomisation.

INTERVENTION

The IG was provided with tailored multidimensional interventions for 6 months until November 2020, including three home visits, six home-based telephone calls and one peer-support session. The CG received simple educational instructions at a single visit.

OUTCOME

The participants completed the Zarit Burden Interview (primary outcome) and the WHO Quality of Life-BREF (secondary outcome) before the intervention (T0), at 3 months (T1) and at 6 months (T2).

RESULTS

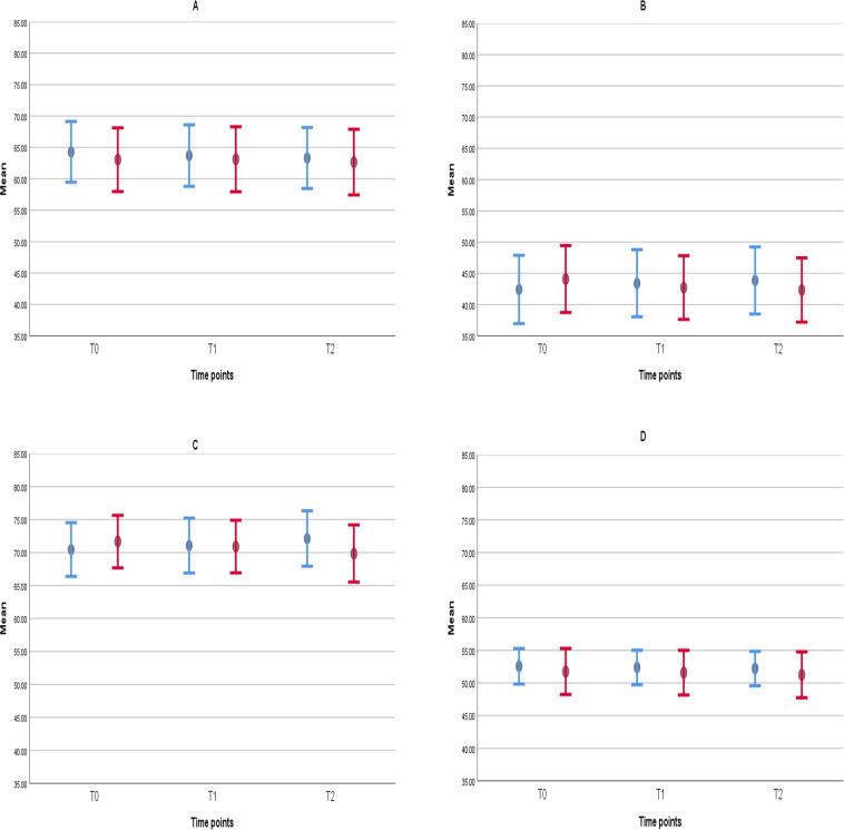
No differences were observed between the characteristics of the groups at baseline (T0). The independent t-test showed no significant differences in the care burden and Quality of Life (QoL) at T1 and T2 between the groups. The intervention had no significant effect on the outcomes between or within groups over time, as shown by the repeated-measures analysis of variance. However, the group and time interaction had significant main effects on caregivers' QoL (psychological and social domains).

CONCLUSION

The main results showed that participants in the IG did not experience an improvement in the main outcomes. Nevertheless, the improvement in the psychological and social domains may have been attributed to our intervention.

TRIAL REGISTRATION NUMBER

NCT04211662.

摘要

目的

评估针对家庭照顾者的量身定制多维干预措施在降低脑卒中幸存者照顾者负担方面的有效性。该干预措施考虑了照顾者的感知需求,并纳入了三个基于证据的维度(心理教育、技能培养和同伴支持)。

设计

前瞻性随机对照试验。

地点

在埃及进行的社区研究。

参与者

共招募了 110 名年龄≥18 岁的照顾者,他们在脑卒中后 6 个月内照顾幸存者,改良 Rankin 量表评分为 3-5 分,且无其他身体残疾或绝症。2019 年 12 月至 2020 年 5 月期间,采用开放标签、平行 1:1 随机分组的方法将参与者分配到干预组(IG;n=55)和对照组(CG;n=55)。

干预

IG 在 6 个月内接受了量身定制的多维干预措施,包括 3 次家访、6 次家庭电话随访和 1 次同伴支持会议。CG 在一次就诊时接受了简单的教育指导。

结果

参与者在干预前(T0)、3 个月(T1)和 6 个月(T2)完成了 Zarit 负担量表(主要结局)和世界卫生组织生活质量简表(次要结局)。

结果

在基线(T0)时,两组的特征无差异。独立样本 t 检验显示,两组在 T1 和 T2 时的照顾负担和生活质量无显著差异。重复测量方差分析显示,干预对组间和组内的结果均无显著影响。然而,组间和时间交互对照顾者的生活质量(心理和社会领域)有显著的主要影响。

结论

主要结果显示,干预组参与者的主要结局无改善。然而,心理和社会领域的改善可能归因于我们的干预。

试验注册号

NCT04211662。

https://cdn.ncbi.nlm.nih.gov/pmc/blobs/024d/8852666/d824aa6e9e11/bmjopen-2021-049741f04.jpg
https://cdn.ncbi.nlm.nih.gov/pmc/blobs/024d/8852666/a5712b811be6/bmjopen-2021-049741f01.jpg
https://cdn.ncbi.nlm.nih.gov/pmc/blobs/024d/8852666/ef6303356157/bmjopen-2021-049741f02.jpg
https://cdn.ncbi.nlm.nih.gov/pmc/blobs/024d/8852666/513ebe0cbb2d/bmjopen-2021-049741f03.jpg
https://cdn.ncbi.nlm.nih.gov/pmc/blobs/024d/8852666/d824aa6e9e11/bmjopen-2021-049741f04.jpg
https://cdn.ncbi.nlm.nih.gov/pmc/blobs/024d/8852666/a5712b811be6/bmjopen-2021-049741f01.jpg
https://cdn.ncbi.nlm.nih.gov/pmc/blobs/024d/8852666/ef6303356157/bmjopen-2021-049741f02.jpg
https://cdn.ncbi.nlm.nih.gov/pmc/blobs/024d/8852666/513ebe0cbb2d/bmjopen-2021-049741f03.jpg
https://cdn.ncbi.nlm.nih.gov/pmc/blobs/024d/8852666/d824aa6e9e11/bmjopen-2021-049741f04.jpg

相似文献

1
Effect of a tailored multidimensional intervention on the care burden among family caregivers of stroke survivors: a randomised controlled trial.针对脑卒中幸存者的家庭照顾者的照护负担的定制多维干预的效果:一项随机对照试验。
BMJ Open. 2022 Feb 15;12(2):e049741. doi: 10.1136/bmjopen-2021-049741.
2
Effect of a tailored multidimensional intervention on the care burden among family caregivers of stroke survivors: study protocol for a randomised controlled trial.针对脑卒中幸存者家庭照顾者的照护负担实施定制化多维干预的效果:一项随机对照试验的研究方案。
BMJ Open. 2020 Dec 15;10(12):e041637. doi: 10.1136/bmjopen-2020-041637.
3
The effects of a family-focused dyadic psychoeducational intervention for stroke survivors and their family caregivers: A randomised controlled trial.家庭为中心的双联心理教育干预对中风幸存者及其家庭照顾者的影响:一项随机对照试验。
Int J Nurs Stud. 2023 Jul;143:104504. doi: 10.1016/j.ijnurstu.2023.104504. Epub 2023 Apr 17.
4
A cluster randomised controlled trial and economic evaluation of a structured training programme for caregivers of inpatients after stroke: the TRACS trial.一项针对中风住院患者照顾者的结构化培训计划的整群随机对照试验和经济评价:TRACS 试验。
Health Technol Assess. 2013 Oct;17(46):1-216. doi: 10.3310/hta17460.
5
Effectiveness of a strength-oriented psychoeducation on caregiving competence, problem-solving abilities, psychosocial outcomes and physical health among family caregiver of stroke survivors: A randomised controlled trial.一项基于力量的心理教育对脑卒中幸存者家庭照顾者的照顾能力、解决问题能力、心理社会结局和身体健康的有效性:一项随机对照试验。
Int J Nurs Stud. 2018 Nov;87:84-93. doi: 10.1016/j.ijnurstu.2018.07.005. Epub 2018 Jul 28.
6
Nursing home care educational intervention for family caregivers of older adults post stroke (SHARE): study protocol for a randomised trial.中风后老年人家庭照顾者的养老院护理教育干预(SHARE):一项随机试验的研究方案
Trials. 2018 Feb 9;19(1):96. doi: 10.1186/s13063-018-2454-5.
7
An extended stroke rehabilitation service for people who have had a stroke: the EXTRAS RCT.一项针对中风患者的扩展中风康复服务:EXTRAS RCT。
Health Technol Assess. 2020 May;24(24):1-202. doi: 10.3310/hta24240.
8
Chinese family caregivers of stroke survivors: Determinants of caregiving burden within the first six months.中国脑卒中幸存者的家庭照顾者:发病后 6 个月内照顾负担的决定因素。
J Clin Nurs. 2017 Dec;26(23-24):4558-4566. doi: 10.1111/jocn.13793. Epub 2017 May 18.
9
Remotely delivered information, training and support for informal caregivers of people with dementia.远程为痴呆症患者的非正式照护者提供信息、培训和支持。
Cochrane Database Syst Rev. 2021 Jan 4;1(1):CD006440. doi: 10.1002/14651858.CD006440.pub3.
10
Assistive technology and telecare to maintain independent living at home for people with dementia: the ATTILA RCT.辅助技术和远程监护以维持痴呆症患者的独立居家生活:ATTILA RCT 研究。
Health Technol Assess. 2021 Mar;25(19):1-156. doi: 10.3310/hta25190.

引用本文的文献

1
Assessment of caregiving burden among caregivers of older adults with stroke in Saudi Arabia: analytical cross-sectional study.沙特阿拉伯中风老年患者照料者的照料负担评估:分析性横断面研究。
BMC Public Health. 2025 Aug 1;25(1):2605. doi: 10.1186/s12889-025-23895-7.
2
eHealth Technologies in Transitional Care Interventions for Stroke Survivors and Caregivers: A Scoping Review.用于中风幸存者和护理人员过渡护理干预的电子健康技术:一项范围综述
Florence Nightingale J Nurs. 2025 Jul 8;33(1):1-23. doi: 10.5152/FNJN.2025.24274.
3
Effectiveness of psychoeducational intervention in promoting post-stroke self-care: a systematic literature review.

本文引用的文献

1
Effectiveness of dyadic psychoeducational intervention for stroke survivors and family caregivers on functional and psychosocial health: A systematic review and meta-analysis.双体心理教育干预对脑卒中幸存者及其家庭照顾者的功能和心理社会健康的有效性:系统评价和荟萃分析。
Int J Nurs Stud. 2021 Aug;120:103969. doi: 10.1016/j.ijnurstu.2021.103969. Epub 2021 May 5.
2
Effect of a tailored multidimensional intervention on the care burden among family caregivers of stroke survivors: study protocol for a randomised controlled trial.针对脑卒中幸存者家庭照顾者的照护负担实施定制化多维干预的效果:一项随机对照试验的研究方案。
BMJ Open. 2020 Dec 15;10(12):e041637. doi: 10.1136/bmjopen-2020-041637.
3
心理教育干预对促进中风后自我护理的有效性:一项系统文献综述。
Front Rehabil Sci. 2025 Jun 6;6:1569526. doi: 10.3389/fresc.2025.1569526. eCollection 2025.
4
Caregiver burden, perceived stress, and social support among parents of chronically Ill children in Saudi Arabia.沙特阿拉伯慢性病患儿父母的照顾者负担、感知压力和社会支持
BMC Nurs. 2024 Nov 7;23(1):811. doi: 10.1186/s12912-024-02494-8.
5
Peer-Delivered Interventions for Caregivers in the ICU with a Focus on Severe Acute Brain Injury: A Scoping Review.针对重症监护病房中照顾者的同伴提供干预措施,重点关注严重急性脑损伤:一项范围综述。
Neurocrit Care. 2025 Apr;42(2):690-700. doi: 10.1007/s12028-024-02115-x. Epub 2024 Sep 7.
6
A systematic review and meta-analysis of randomized controlled trials to reduce burden, stress, and strain in informal stroke caregivers.系统评价和荟萃分析随机对照试验,以减轻非正式卒中照护者的负担、压力和紧张。
Clin Rehabil. 2024 Nov;38(11):1429-1445. doi: 10.1177/02692155241271047. Epub 2024 Aug 28.
7
Family-centred care as a mediator in the relationship between parental nurse support and parental stress in neonatal intensive care units.以家庭为中心的护理在新生儿重症监护病房中作为父母护士支持与父母压力之间关系的调节因素。
BMC Nurs. 2024 Aug 16;23(1):572. doi: 10.1186/s12912-024-02258-4.
8
Home-based educational interventions for family caregivers of older adults after stroke: a scoping review.家庭为基础的教育干预措施在脑卒中后对老年患者照顾者的应用:一项范围综述。
Rev Esc Enferm USP. 2024 May 17;58:e20230339. doi: 10.1590/1980-220X-REEUSP-2023-0339en. eCollection 2024.
9
Combined Effects of the Mobile Health (mHealth) Psychoeducation and Benson Relaxation Technique in Reducing the Caregiving Burden of Cancer Patients in Bangladesh: A Protocol for a Randomized Controlled Trial.移动健康(mHealth)心理教育与本森放松技巧对减轻孟加拉国癌症患者照料负担的联合效果:一项随机对照试验方案
Cureus. 2024 Mar 4;16(3):e55520. doi: 10.7759/cureus.55520. eCollection 2024 Mar.
10
Telehealth in Informal Caregivers of Stroke Survivors: A Systematic Review.中风幸存者非正式照料者的远程医疗:一项系统综述。
J Clin Med. 2024 Mar 21;13(6):1810. doi: 10.3390/jcm13061810.
An online survey of informal caregivers' unmet needs and associated factors.
一份针对非正式照护者未满足需求及其相关因素的在线调查。
PLoS One. 2020 Dec 10;15(12):e0243502. doi: 10.1371/journal.pone.0243502. eCollection 2020.
4
Determinants of caregiver burden of persons with disabilities in a rural district in Egypt.埃及农村地区残疾人照顾者负担的决定因素。
BMC Public Health. 2020 Jul 23;20(1):1156. doi: 10.1186/s12889-020-09266-4.
5
Nursing Home Care Intervention Post Stroke (SHARE) 1 year effect on the burden of family caregivers for older adults in Brazil: A randomized controlled trial.SHARE 干预措施对巴西老年家庭照顾者负担的影响:一项 1 年的随机对照试验
Health Soc Care Community. 2021 Jan;29(1):56-65. doi: 10.1111/hsc.13068. Epub 2020 Jun 30.
6
Caring for a stroke patient: The burden and experiences of primary caregivers in Uganda - A qualitative study.照顾中风患者:乌干达初级护理人员的负担与经历——一项定性研究
Nurs Open. 2019 Aug 4;6(4):1551-1558. doi: 10.1002/nop2.356. eCollection 2019 Oct.
7
Predictors of caregiver burden after stroke in Nigeria: Effect on psychosocial well-being.尼日利亚中风后照顾者负担的预测因素:对心理社会幸福感的影响。
Indian J Psychiatry. 2019 Sep-Oct;61(5):457-464. doi: 10.4103/psychiatry.IndianJPsychiatry_395_18.
8
Interventions for Psychological Health of Stroke Caregivers: A Systematic Review.中风患者照料者心理健康干预措施:一项系统综述
Front Psychol. 2019 Sep 6;10:2045. doi: 10.3389/fpsyg.2019.02045. eCollection 2019.
9
Perceived Benefits of Peer Support Groups for Stroke Survivors and Caregivers in Rural North Carolina.北卡罗来纳州农村地区中风幸存者和护理人员对同伴支持小组的感知益处。
N C Med J. 2019 May-Jun;80(3):143-148. doi: 10.18043/ncm.80.3.143.
10
The effect of patient care education on burden of care and the quality of life of caregivers of stroke patients.患者护理教育对中风患者护理负担及照顾者生活质量的影响。
J Multidiscip Healthc. 2019 Mar 20;12:211-217. doi: 10.2147/JMDH.S196903. eCollection 2019.