Suppr超能文献

认知障碍的异步远程评估:Neurotrack认知测试组合的可靠性验证

Asynchronous Remote Assessment for Cognitive Impairment: Reliability Verification of the Neurotrack Cognitive Battery.

作者信息

Myers Jennifer Rae, Glenn Jordan M, Madero Erica N, Anderson John, Mak-McCully Rachel, Gray Michelle, Gills Joshua L, Harrison John E

机构信息

Neurotrack Technologies Inc, Redwood City, CA, United States.

University of Arkansas, Fayetteville, AR, United States.

出版信息

JMIR Form Res. 2022 Feb 18;6(2):e34237. doi: 10.2196/34237.

Abstract

BACKGROUND

As evidenced by the further reduction in access to testing during the COVID-19 pandemic, there is an urgent, growing need for remote cognitive assessment for individuals with cognitive impairment. The Neurotrack Cognitive Battery (NCB), our response to this need, was evaluated for its temporal reliability and stability as part of ongoing validation testing.

OBJECTIVE

The aim of this study is to assess the temporal reliability of the NCB tests (5 total) across a 1-week period and to determine the temporal stability of these measures across 3 consecutive administrations in a single day.

METHODS

For test-retest reliability, a range of 29-66 cognitively healthy participants (ages 18-68 years) completed each cognitive assessment twice, 1 week apart. In a separate study, temporal stability was assessed using data collected from 31 different cognitively healthy participants at 3 consecutive timepoints in a single day.

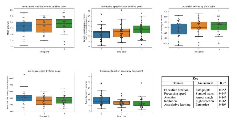
RESULTS

Correlations for the assessments were between 0.72 and 0.83, exceeding the standard acceptable threshold of 0.70 for temporal reliability. Intraclass correlations ranged from 0.60 to 0.84, indicating moderate to good temporal stability.

CONCLUSIONS

These results highlight the NCB as a brief, easy-to-administer, and reliable assessment for remote cognitive testing. Additional validation research is underway to determine the full magnitude of the clinical utility of the NCB.

摘要

背景

2019年冠状病毒病大流行期间检测机会进一步减少,这表明对认知障碍患者进行远程认知评估的需求迫切且不断增长。作为对这一需求的回应,我们对Neurotrack认知测试组合(NCB)进行了评估,以确定其时间可靠性和稳定性,这是正在进行的验证测试的一部分。

目的

本研究旨在评估NCB测试(共5项)在1周内的时间可靠性,并确定这些测量在一天内连续3次施测中的时间稳定性。

方法

为了评估重测信度,29至66名认知健康参与者(年龄18至68岁)完成了每项认知评估两次,间隔1周。在另一项研究中,使用从31名不同的认知健康参与者在一天内连续3个时间点收集的数据评估时间稳定性。

结果

评估的相关性在0.72至0.83之间,超过了时间可靠性标准可接受阈值0.70。组内相关性在0.60至0.84之间,表明时间稳定性为中度至良好。

结论

这些结果突出了NCB作为一种用于远程认知测试的简短、易于实施且可靠的评估工具。正在进行额外的验证研究,以确定NCB临床效用的完整程度。

https://cdn.ncbi.nlm.nih.gov/pmc/blobs/0e01/8900894/e1d80b1e3e99/formative_v6i2e34237_fig1.jpg

文献AI研究员

20分钟写一篇综述,助力文献阅读效率提升50倍。

立即体验

用中文搜PubMed

大模型驱动的PubMed中文搜索引擎

马上搜索

文档翻译

学术文献翻译模型,支持多种主流文档格式。

立即体验