Suppr超能文献

两种毒株与药物依从性:社区传播范式下的HIV模型

Two strains and drug adherence: An HIV model in the paradigm of community transmission.

作者信息

Poonia Ashish, Chakrabarty Siddhartha P

机构信息

Department of Mathematics, Indian Institute of Technology Guwahati, Guwahati, India.

出版信息

Nonlinear Dyn. 2022;108(3):2767-2792. doi: 10.1007/s11071-022-07323-8. Epub 2022 Mar 11.

Abstract

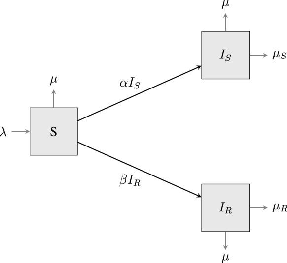
A two-strain model, comprising of drug-sensitive and drug-resistant strains, is proposed for the dynamics of Human Immunodeficiency Virus (HIV) spread in a community. A treatment model is introduced by taking drug adherence into account. The treatment-free model is analyzed for the effect of treatment availability and drug adherence on disease dynamics. The analysis revealed that for the treatment-free model, at least one strain faces competitive exclusion, and co-existence of both strains is not possible. On the contrary, both strains may co-exist in presence of treatment. The analysis carried out was both local, as well as global. A comprehensive bifurcation analysis showed periodic behaviour and all solutions approached a stable limit cycle for a wide range of parametric values. Overall, we concluded that the treatment availability and drug adherence play a significant role in determining the dynamics of HIV spread. Numerical simulations are performed to validate the analytical results using MATLAB.

摘要

提出了一种由药物敏感株和耐药株组成的双株模型,用于研究人类免疫缺陷病毒(HIV)在社区中的传播动态。通过考虑药物依从性引入了一个治疗模型。对无治疗模型进行了分析,以研究治疗可及性和药物依从性对疾病动态的影响。分析表明,对于无治疗模型,至少有一种毒株面临竞争排斥,两种毒株不可能共存。相反,在有治疗的情况下,两种毒株可能共存。所进行的分析包括局部分析和全局分析。全面的分岔分析表明,在广泛的参数值范围内,系统呈现周期性行为,所有解都趋向于一个稳定的极限环。总体而言,我们得出结论,治疗可及性和药物依从性在决定HIV传播动态方面起着重要作用。使用MATLAB进行了数值模拟以验证分析结果。

https://cdn.ncbi.nlm.nih.gov/pmc/blobs/5ad1/8916704/46a7945b6c79/11071_2022_7323_Fig1_HTML.jpg

文献检索

告别复杂PubMed语法,用中文像聊天一样搜索,搜遍4000万医学文献。AI智能推荐,让科研检索更轻松。

立即免费搜索

文件翻译

保留排版,准确专业,支持PDF/Word/PPT等文件格式,支持 12+语言互译。

免费翻译文档

深度研究

AI帮你快速写综述,25分钟生成高质量综述,智能提取关键信息,辅助科研写作。

立即免费体验