Suppr超能文献

英国人群中头颈部癌症治疗后晚期吞咽结局。

Late-onset swallowing outcomes post-treatment for head and neck cancer in a UK-based population.

机构信息

School of Medicine, University of Glasgow, Glasgow, Scotland, UK.

Department of Otolaryngology, Head and Neck Surgery, Queen Elizabeth University Hospital, Glasgow, Scotland, UK.

出版信息

J Laryngol Otol. 2023 Mar;137(3):293-300. doi: 10.1017/S0022215122000834. Epub 2022 Mar 23.

Abstract

BACKGROUND

Adverse swallowing outcomes following head and neck squamous cell carcinoma treatment in the context of late-onset post-radiotherapy changes can occur more than five years post-treatment.

METHODS

A retrospective study was conducted utilising patient records from March 2013 to April 2015. Patients were categorised into 'swallow dysfunction' and 'normal swallow' groups. Quality of life was investigated using the MD Anderson Dysphagia Inventory and EuroQol questionnaires.

RESULTS

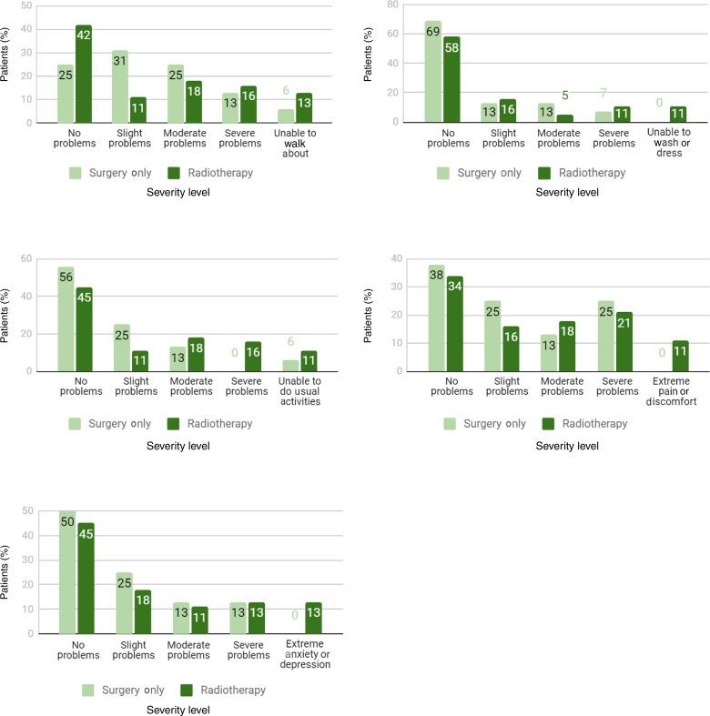
Swallow dysfunction was seen in 77 (51 per cent) of 152 patients. Twenty-eight patients (36 per cent) in the swallow dysfunction group reported symptoms in year five. Swallow dysfunction was associated with stage IV head and neck squamous cell carcinoma ( < 0.001) and radiotherapy ( < 0.001). MD Anderson Dysphagia Inventory global scores showed significant differences between swallow dysfunction and normal swallow groups ( = 0.01), and radiotherapy and surgery groups ( = 0.03), but there were no significant differences between these groups in terms of MD Anderson Dysphagia Inventory composite or EuroQol five-dimensions instrument scores.

CONCLUSION

One-third of head and neck squamous cell carcinoma survivors with swallow dysfunction still show symptoms at more than five years post-surgery, a point at which they are typically discharged.

摘要

背景

头颈部鳞状细胞癌治疗后,迟发性放疗后改变可导致五年后出现不良吞咽结局。

方法

本研究采用回顾性研究,纳入 2013 年 3 月至 2015 年 4 月期间的患者病历。将患者分为“吞咽功能障碍”和“正常吞咽”组。采用 MD Anderson 吞咽障碍问卷和 EuroQol 问卷评估生活质量。

结果

152 例患者中,77 例(51%)存在吞咽功能障碍。吞咽功能障碍组中有 28 例(36%)患者在第五年出现症状。吞咽功能障碍与头颈部鳞状细胞癌 IV 期(<0.001)和放疗(<0.001)显著相关。MD Anderson 吞咽障碍问卷的总体评分在吞咽功能障碍组和正常吞咽组之间存在显著差异(=0.01),在放疗组和手术组之间也存在显著差异(=0.03),但在 MD Anderson 吞咽障碍问卷综合评分和 EuroQol 五维量表评分方面,各组之间无显著差异。

结论

三分之一的头颈部鳞状细胞癌幸存者在术后五年以上仍有吞咽功能障碍症状,此时他们通常已出院。

https://cdn.ncbi.nlm.nih.gov/pmc/blobs/6de7/9975761/4dd37071d549/S0022215122000834_fig1.jpg

文献AI研究员

20分钟写一篇综述,助力文献阅读效率提升50倍。

立即体验

用中文搜PubMed

大模型驱动的PubMed中文搜索引擎

马上搜索

文档翻译

学术文献翻译模型,支持多种主流文档格式。

立即体验