• 文献检索
  • 文档翻译
  • 深度研究
  • 学术资讯
  • Suppr Zotero 插件Zotero 插件
  • 邀请有礼
  • 套餐&价格
  • 历史记录
应用&插件
Suppr Zotero 插件Zotero 插件浏览器插件Mac 客户端Windows 客户端微信小程序
定价
高级版会员购买积分包购买API积分包
服务
文献检索文档翻译深度研究API 文档MCP 服务
关于我们
关于 Suppr公司介绍联系我们用户协议隐私条款
关注我们

Suppr 超能文献

核心技术专利:CN118964589B侵权必究
粤ICP备2023148730 号-1Suppr @ 2026

文献检索

告别复杂PubMed语法,用中文像聊天一样搜索,搜遍4000万医学文献。AI智能推荐,让科研检索更轻松。

立即免费搜索

文件翻译

保留排版,准确专业,支持PDF/Word/PPT等文件格式,支持 12+语言互译。

免费翻译文档

深度研究

AI帮你快速写综述,25分钟生成高质量综述,智能提取关键信息,辅助科研写作。

立即免费体验

电子烟气溶胶暴露比共栖链球菌更有利于口腔变异链球菌的生长和定植。

E-Cigarette Aerosol Exposure Favors the Growth and Colonization of Oral Streptococcus mutans Compared to Commensal Streptococci.

机构信息

Burnett School of Biomedical Sciences, College of Medicine, University of Central Floridagrid.170430.1, Orlando, Florida, USA.

出版信息

Microbiol Spectr. 2022 Apr 27;10(2):e0242121. doi: 10.1128/spectrum.02421-21. Epub 2022 Apr 4.

DOI:10.1128/spectrum.02421-21
PMID:35377225
原文链接:https://pmc.ncbi.nlm.nih.gov/articles/PMC9045065/
Abstract

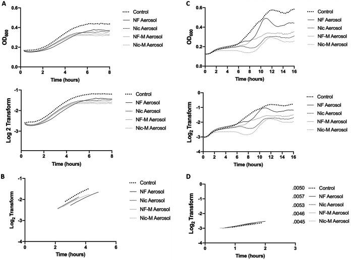
E-cigarettes (e-cigs) have drastically increased in popularity during the last decade, especially among teenagers. While recent studies have started to explore the effect of e-cigs in the oral cavity, little is known about their effects on the oral microbiota and how they could affect oral health and potentially lead to disease, including periodontitis and head and neck cancers. To explore the impact of e-cigs on oral bacteria, we selected members of the genus Streptococcus, which are abundant in the oral cavity. We exposed the commensals Streptococcus sanguinis and Streptococcus gordonii and the opportunistic pathogen Streptococcus mutans, best known for causing dental caries, to e-liquids and e-cig aerosols with and without nicotine and with and without menthol flavoring and measured changes in growth patterns and biofilm formation. Our results demonstrate that e-cig aerosols hindered the growth of S. sanguinis and S. gordonii, while they did not affect the growth of S. mutans. We also show that e-cig aerosols significantly increased biofilm formation by S. mutans but did not affect the biofilm formation of the two commensals. We found that S. mutans exhibits higher hydrophobicity and coaggregation abilities along with higher attachment to OKF6 cells than S. sanguinis and S. gordonii. Therefore, our data suggest that e-cig aerosols have the potential to dysregulate oral bacterial homeostasis by suppressing the growth of commensals while enhancing the biofilm formation of the opportunistic pathogen S. mutans. This study highlights the importance of understanding the consequences of e-cig aerosol exposure on selected commensals and pathogenic species. Future studies modeling more complex communities will provide more insight into how e-cig aerosols and vaping affect the oral microbiota. Our study shows that e-cigarette aerosol exposure of selected bacteria known to be residents of the oral cavity hinders the growth of two streptococcal commensals while enhancing biofilm formation, hydrophobicity, and attachment for the pathogen S. mutans. These results indicate that e-cigarette vaping could open a niche for opportunistic bacteria such as S. mutans to colonize the oral cavity and affect oral health.

摘要

电子烟在过去十年中急剧普及,尤其是在青少年中。虽然最近的研究已经开始探索电子烟在口腔中的影响,但人们对它们对口腔微生物群的影响知之甚少,也不知道它们如何影响口腔健康并可能导致疾病,包括牙周炎和头颈部癌症。为了探索电子烟对口腔细菌的影响,我们选择了口腔中丰富的链球菌属成员。我们将共生链球菌(Streptococcus sanguinis)和戈登链球菌(Streptococcus gordonii)以及机会性病原体变异链球菌(Streptococcus mutans)暴露于含有和不含有尼古丁以及含有和不含有薄荷醇调味剂的电子烟液和电子烟气溶胶中,并测量了生长模式和生物膜形成的变化。我们的结果表明,电子烟气溶胶阻碍了 S. sanguinis 和 S. gordonii 的生长,而对 S. mutans 的生长没有影响。我们还表明,电子烟气溶胶显著增加了 S. mutans 的生物膜形成,但没有影响两种共生菌的生物膜形成。我们发现,与 S. sanguinis 和 S. gordonii 相比,S. mutans 表现出更高的疏水性和共聚集能力,以及更高的与 OKF6 细胞的附着能力。因此,我们的数据表明,电子烟气溶胶通过抑制共生菌的生长,同时增强机会性病原体 S. mutans 的生物膜形成,有可能扰乱口腔细菌的内稳态。本研究强调了了解电子烟气溶胶暴露对选定共生菌和病原种的后果的重要性。未来模拟更复杂群落的研究将提供更多关于电子烟气溶胶和蒸气如何影响口腔微生物群的见解。我们的研究表明,电子烟气溶胶暴露于已知是口腔居民的选定细菌会阻碍两种链球菌共生菌的生长,同时增强病原菌 S. mutans 的生物膜形成、疏水性和附着能力。这些结果表明,电子烟吸烟可能为机会性病原体(如 S. mutans)开辟一个小生境,使其在口腔中定植并影响口腔健康。

https://cdn.ncbi.nlm.nih.gov/pmc/blobs/d308/9045065/2caefe31ef16/spectrum.02421-21-f006.jpg
https://cdn.ncbi.nlm.nih.gov/pmc/blobs/d308/9045065/c8e8269eaa9c/spectrum.02421-21-f001.jpg
https://cdn.ncbi.nlm.nih.gov/pmc/blobs/d308/9045065/d87aafd1c44b/spectrum.02421-21-f002.jpg
https://cdn.ncbi.nlm.nih.gov/pmc/blobs/d308/9045065/07509bfc75c1/spectrum.02421-21-f003.jpg
https://cdn.ncbi.nlm.nih.gov/pmc/blobs/d308/9045065/b8829884d7db/spectrum.02421-21-f004.jpg
https://cdn.ncbi.nlm.nih.gov/pmc/blobs/d308/9045065/8b10a3eb4171/spectrum.02421-21-f005.jpg
https://cdn.ncbi.nlm.nih.gov/pmc/blobs/d308/9045065/2caefe31ef16/spectrum.02421-21-f006.jpg
https://cdn.ncbi.nlm.nih.gov/pmc/blobs/d308/9045065/c8e8269eaa9c/spectrum.02421-21-f001.jpg
https://cdn.ncbi.nlm.nih.gov/pmc/blobs/d308/9045065/d87aafd1c44b/spectrum.02421-21-f002.jpg
https://cdn.ncbi.nlm.nih.gov/pmc/blobs/d308/9045065/07509bfc75c1/spectrum.02421-21-f003.jpg
https://cdn.ncbi.nlm.nih.gov/pmc/blobs/d308/9045065/b8829884d7db/spectrum.02421-21-f004.jpg
https://cdn.ncbi.nlm.nih.gov/pmc/blobs/d308/9045065/8b10a3eb4171/spectrum.02421-21-f005.jpg
https://cdn.ncbi.nlm.nih.gov/pmc/blobs/d308/9045065/2caefe31ef16/spectrum.02421-21-f006.jpg

相似文献

1
E-Cigarette Aerosol Exposure Favors the Growth and Colonization of Oral Streptococcus mutans Compared to Commensal Streptococci.电子烟气溶胶暴露比共栖链球菌更有利于口腔变异链球菌的生长和定植。
Microbiol Spectr. 2022 Apr 27;10(2):e0242121. doi: 10.1128/spectrum.02421-21. Epub 2022 Apr 4.
2
Amino Sugars Modify Antagonistic Interactions between Commensal Oral Streptococci and .氨基酸糖修饰共生口腔链球菌之间的拮抗相互作用
Appl Environ Microbiol. 2019 May 2;85(10). doi: 10.1128/AEM.00370-19. Print 2019 May 15.
3
Effects of Antimicrobial Peptide GH12 on the Cariogenic Properties and Composition of a Cariogenic Multispecies Biofilm.抗菌肽 GH12 对致龋性多物种生物膜致龋特性和组成的影响。
Appl Environ Microbiol. 2018 Nov 30;84(24). doi: 10.1128/AEM.01423-18. Print 2018 Dec 15.
4
Amino Sugars Reshape Interactions between Streptococcus mutans and Streptococcus gordonii.氨基糖重塑变异链球菌与戈登链球菌间的相互作用。
Appl Environ Microbiol. 2020 Dec 17;87(1). doi: 10.1128/AEM.01459-20.
5
Competition and Caries on Enamel of a Dual-Species Biofilm Model with Streptococcus mutans and Streptococcus sanguinis.变形链球菌和中间普氏菌双菌生物膜模型对牙釉质的竞争和致龋性。
Appl Environ Microbiol. 2020 Oct 15;86(21). doi: 10.1128/AEM.01262-20.
6
Effects of E-Liquids and Their Aerosols on Biofilm Formation and Growth of Oral Commensal Streptococcal Communities: Effect of Cinnamon and Menthol Flavors.电子烟液及其气溶胶对口腔共生链球菌群落生物膜形成和生长的影响:肉桂和薄荷味的影响
Dent J (Basel). 2024 Jul 23;12(8):232. doi: 10.3390/dj12080232.
7
Amino Sugars Enhance the Competitiveness of Beneficial Commensals with Streptococcus mutans through Multiple Mechanisms.氨基糖通过多种机制增强有益共生菌与变形链球菌的竞争力。
Appl Environ Microbiol. 2016 May 31;82(12):3671-82. doi: 10.1128/AEM.00637-16. Print 2016 Jun 15.
8
Antagonistic interactions by a high H O -producing commensal streptococcus modulate caries development by Streptococcus mutans.高产 H O 的共生链球菌通过拮抗相互作用调节变异链球菌的龋齿发展。
Mol Oral Microbiol. 2022 Dec;37(6):244-255. doi: 10.1111/omi.12394. Epub 2022 Oct 11.
9
[Effects of oral streptococci on biofilm formation by cariogenic bacteria in dual species cultures].[口腔链球菌对双菌种培养物中致龋菌生物膜形成的影响]
Kokubyo Gakkai Zasshi. 2008 Mar;75(1):38-48. doi: 10.5357/koubyou.75.38.
10
Targeting of Streptococcus mutans Biofilms by a Novel Small Molecule Prevents Dental Caries and Preserves the Oral Microbiome.一种新型小分子靶向变形链球菌生物膜可预防龋齿并保护口腔微生物群。
J Dent Res. 2017 Jul;96(7):807-814. doi: 10.1177/0022034517698096. Epub 2017 Mar 10.

引用本文的文献

1
The effect of on an oral microbiome of electronic cigarette users.[具体物质]对电子烟使用者口腔微生物群的影响。 (原文中“on an oral microbiome”前缺少具体内容)
J Oral Microbiol. 2025 May 25;17(1):2509669. doi: 10.1080/20002297.2025.2509669. eCollection 2025.
2
The effects of electronic smoking on dental caries and proinflammatory markers: a systematic review and meta-analysis.电子烟对龋齿和促炎标志物的影响:一项系统评价与荟萃分析。
Front Oral Health. 2025 Apr 11;6:1569806. doi: 10.3389/froh.2025.1569806. eCollection 2025.
3
Toxic cultures: e-cigarettes and the oral microbial exposome.

本文引用的文献

1
Compositional Differences in the Oral Microbiome of E-cigarette Users.电子烟使用者口腔微生物群的组成差异
Front Microbiol. 2021 May 31;12:599664. doi: 10.3389/fmicb.2021.599664. eCollection 2021.
2
Low-temperature (< 200 °C) degradation of electronic nicotine delivery system liquids generates toxic aldehydes.低温(<200°C)降解电子尼古丁传送系统液体产生有毒醛类。
Sci Rep. 2021 Apr 8;11(1):7800. doi: 10.1038/s41598-021-87044-x.
3
Flavorless vs. Flavored Electronic Cigarette-Generated Aerosol and E-Liquid on the Growth of Common Oral Commensal Streptococci.
有毒文化:电子烟与口腔微生物暴露组
NPJ Biofilms Microbiomes. 2025 Apr 26;11(1):66. doi: 10.1038/s41522-025-00709-7.
4
Oral health impacts of vaping.电子烟对口腔健康的影响。
Aust Prescr. 2024 Dec;47(6):177-178. doi: 10.18773/austprescr.2024.051.
5
E-Cigarette effects on oral health: A molecular perspective.电子烟对口腔健康的影响:分子视角
Food Chem Toxicol. 2025 Feb;196:115216. doi: 10.1016/j.fct.2024.115216. Epub 2024 Dec 28.
6
The Impact of E-Cigarettes on Oral Health-A Narrative Review.电子烟对口腔健康的影响——一篇叙述性综述
Dent J (Basel). 2024 Dec 10;12(12):404. doi: 10.3390/dj12120404.
7
The Effects of Nicotine Pouches and E-Cigarettes on Oral Microbes: A Pilot Study.尼古丁袋和电子烟对口腔微生物的影响:一项初步研究。
Microorganisms. 2024 Jul 24;12(8):1514. doi: 10.3390/microorganisms12081514.
8
Effects of E-Liquids and Their Aerosols on Biofilm Formation and Growth of Oral Commensal Streptococcal Communities: Effect of Cinnamon and Menthol Flavors.电子烟液及其气溶胶对口腔共生链球菌群落生物膜形成和生长的影响:肉桂和薄荷味的影响
Dent J (Basel). 2024 Jul 23;12(8):232. doi: 10.3390/dj12080232.
9
The Effect of New Trend Electronic Cigarettes on Dental Caries in Relation to Glucosyltransferase B and Secretory Immunoglobulin A (A Case-control Study).新型潮流电子烟对葡糖基转移酶 B 和分泌型免疫球蛋白 A 相关龋齿的影响(病例对照研究)。
Cell Biochem Biophys. 2024 Sep;82(3):2865-2871. doi: 10.1007/s12013-024-01401-x. Epub 2024 Jul 28.
10
E-Cigarette Use, Cigarette Smoking, and Sex Are Associated With Nasal Microbiome Dysbiosis.电子烟使用、吸烟与性别与鼻腔微生物群失调有关。
Nicotine Tob Res. 2024 Dec 23;27(1):114-124. doi: 10.1093/ntr/ntae176.
无味与有味电子烟产生的气溶胶和电子烟液对口腔常见共生链球菌生长的影响
Front Physiol. 2020 Nov 23;11:585416. doi: 10.3389/fphys.2020.585416. eCollection 2020.
4
E-cigarette constituents propylene glycol and vegetable glycerin decrease glucose uptake and its metabolism in airway epithelial cells in vitro.电子烟成分丙二醇和植物甘油会降低气道上皮细胞对葡萄糖的摄取及其代谢。
Am J Physiol Lung Cell Mol Physiol. 2020 Dec 1;319(6):L957-L967. doi: 10.1152/ajplung.00123.2020. Epub 2020 Sep 30.
5
E-cigarette Use Among Middle and High School Students - United States, 2020.中学生使用电子烟情况——美国,2020 年。
MMWR Morb Mortal Wkly Rep. 2020 Sep 18;69(37):1310-1312. doi: 10.15585/mmwr.mm6937e1.
6
Competition and Caries on Enamel of a Dual-Species Biofilm Model with Streptococcus mutans and Streptococcus sanguinis.变形链球菌和中间普氏菌双菌生物膜模型对牙釉质的竞争和致龋性。
Appl Environ Microbiol. 2020 Oct 15;86(21). doi: 10.1128/AEM.01262-20.
7
Electronic cigarette vapor increases Streptococcus mutans growth, adhesion, biofilm formation, and expression of the biofilm-associated genes.电子烟烟雾会增加变形链球菌的生长、黏附、生物膜形成以及生物膜相关基因的表达。
Oral Dis. 2021 Apr;27(3):639-647. doi: 10.1111/odi.13564. Epub 2020 Aug 18.
8
Adverse effects of electronic cigarettes on the disease-naive oral microbiome.电子烟对未患病口腔微生物组的不良影响。
Sci Adv. 2020 May 27;6(22):eaaz0108. doi: 10.1126/sciadv.aaz0108. eCollection 2020 May.
9
Electronic Cigarette Aerosol Modulates the Oral Microbiome and Increases Risk of Infection.电子烟烟雾调节口腔微生物群并增加感染风险。
iScience. 2020 Mar 27;23(3):100884. doi: 10.1016/j.isci.2020.100884. Epub 2020 Feb 26.
10
The oral health impact of electronic cigarette use: a systematic review.电子烟使用对口腔健康的影响:系统评价。
Crit Rev Toxicol. 2020 Feb;50(2):97-127. doi: 10.1080/10408444.2020.1713726. Epub 2020 Feb 11.