Suppr超能文献

基于超高效液相色谱-串联质谱-全球天然产物社会分子网络的荔枝化学成分研究及其对人黑色素瘤和卵巢癌细胞的细胞毒性评估。

UHPLC-MS/MS-GNPS based phytochemical investigation of L. And evaluation of cytotoxicity against human melanoma and ovarian cancer cells.

作者信息

Gurgul Aleksandra, Youn Isoo, Maldonado Amanda, Wahid Fazli, Che Chun-Tao, Khan Taous

机构信息

Department of Pharmacy, COMSATS University Islamabad, Abbottabad Campus 22060, Pakistan.

Department of Pharmaceutical Sciences, College of Pharmacy, University of Illinois at Chicago, Chicago, IL 60612, USA.

出版信息

Saudi J Biol Sci. 2022 Jun;29(6):103271. doi: 10.1016/j.sjbs.2022.03.021. Epub 2022 Mar 21.

Abstract

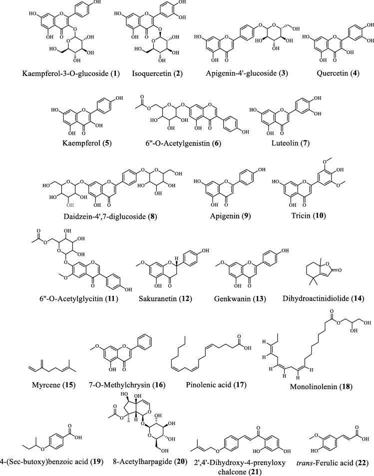
L. is widely used as a traditional medicine for the management of inflammation and cancer. In the present study, phyto-chemical analysis of was carried out and its cytotoxic potential against human melanoma (MDA-MB-435) and ovarian cancer cells (OVCAR3) was evaluated. Phyto-chemical profile of methanolic extract and its fractions was established employing UHPLC-MS/MS and Global Natural Product Social molecular networking. Cytotoxic activity was evaluated using absorbance assay (CellTiter-Blue® Cell Viability Assay). Overall, 22 compounds were identified in the crude extract and polarity-based fractions of Flavonoids, flavonoid-O-glycosides and phenolic acids were found to be the major classes of phyto-chemicals In addition, the crude extract of and its fractions were found active against the tested cell lines. The highest anti-cancer activity against OVCAR3 cells was exhibited by the -hexane fraction. These results indicated that is rich in flavonoids and might be used for the development of anti-cancer drugs against melanoma and ovarian cancers.

摘要

L. 作为一种传统药物被广泛用于炎症和癌症的治疗。在本研究中,对L. 进行了植物化学分析,并评估了其对人黑色素瘤(MDA-MB-435)和卵巢癌细胞(OVCAR3)的细胞毒性潜力。采用超高效液相色谱-串联质谱法(UHPLC-MS/MS)和全球天然产物社会分子网络技术确定了L. 甲醇提取物及其馏分的植物化学特征。使用吸光度测定法(CellTiter-Blue®细胞活力测定法)评估细胞毒性活性。总体而言,在粗提取物和基于极性的馏分中鉴定出22种化合物。黄酮类化合物、黄酮-O-糖苷和酚酸被发现是主要的植物化学类别。此外,L. 的粗提取物及其馏分对测试的细胞系具有活性。-己烷馏分对OVCAR3细胞表现出最高的抗癌活性。这些结果表明,L. 富含黄酮类化合物,可能用于开发抗黑色素瘤和卵巢癌的抗癌药物。

https://cdn.ncbi.nlm.nih.gov/pmc/blobs/d4df/8980334/ec254a7a321a/gr1.jpg

文献AI研究员

20分钟写一篇综述,助力文献阅读效率提升50倍。

立即体验

用中文搜PubMed

大模型驱动的PubMed中文搜索引擎

马上搜索

文档翻译

学术文献翻译模型,支持多种主流文档格式。

立即体验