Department of Nutritional Sciences, Faculty of Life Sciences and Research Platform of Active Ageing, University of Vienna, Althanstrasse 14, 1090, Vienna, Austria.
Department of Epidemiology and Preventive Medicine, University of Regensburg, Franz-Josef-Strauß-Allee 11, 93053, Regensburg, Germany.
Cardiovasc Diabetol. 2022 Apr 18;21(1):54. doi: 10.1186/s12933-022-01484-x.
Mildly elevated bilirubin, a by-product of hemoglobin breakdown, might mitigate cardiometabolic risk factors including adiposity, dyslipidemia, and high blood pressure (BP). We investigated the cross-sectional relationship between (total) bilirubin and baseline cardiometabolic risk factors in 467,519 UK Biobank study participants.
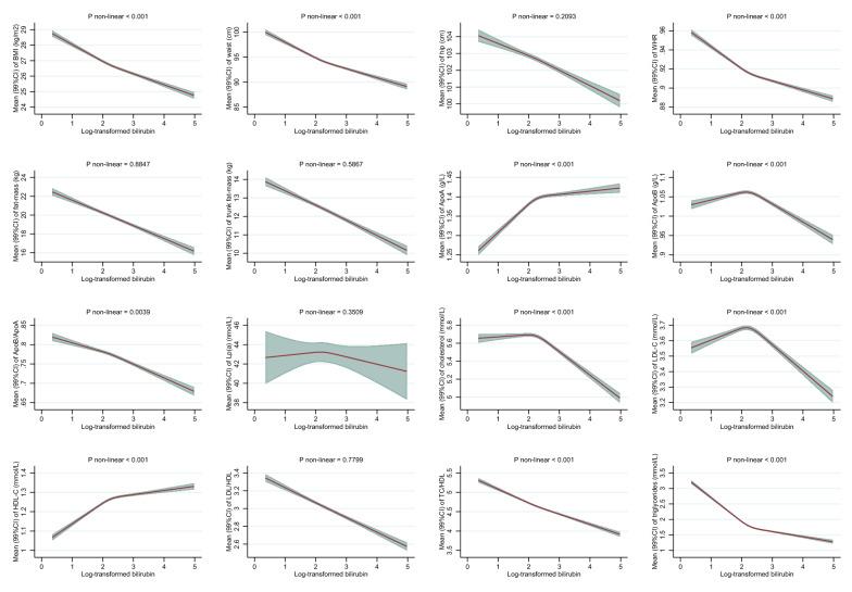
We used multivariable-adjusted linear regression to estimate associations between bilirubin levels and risk factors of cardiometabolic diseases including body mass index (BMI), waist and hip circumferences (WC, HC), waist-to-hip ratio (WHR), fat mass (FM), and trunk FM, and the blood lipids: apolipoprotein A-I (apoA-I), apolipoprotein B (apoB), apoB/apoA-I, lipoprotein (a), total cholesterol (TC), low-density lipoprotein cholesterol (LDL-C), high-density lipoprotein cholesterol (HDL-C), LDL/HDL, TC/HDL, triglycerides (TG). Log-transformed bilirubin was modelled with restricted cubic splines and predicted mean values with 99% confidence intervals (CI) for each risk marker were estimated, separately. Second, we applied principal component analysis (PCA) for dimension reduction to in turn six anthropometric traits (height, weight, BMI, WC, HC, and WHR) and all above lipids. Last, we estimated associations (99%CI) between bilirubin and three components of the metabolic syndrome, i.e. WC, TG, and BP using logistic regression.
After multivariable adjustments, higher levels of bilirubin were inversely associated with indicators of general adiposity (BMI and FM) and of body fat distribution (WC, HC, WHR, and trunk FM) in both men and women. For example, women with mildly elevated bilirubin (95 percentile equal to 15.0 µmol/L), compared to women with low bilirubin (5 percentile equal to 4.5 µmol/L), had on average a 2.0 kg/m (99% CI 1.9-2.1) lower BMI. Inverse associations were also observed with dyslipidemia among men and women. For example, mildly elevated bilirubin among men (95 percentile equal to 19.4 µmol/L) compared to low levels of bilirubin (5 percentile equal to 5.5 µmol/L) were associated with approx. 0.55 mmol/L (99% CI 0.53-0.56) lower TG levels, with similar inverse associations among women. Multiple-trait analyses using PCA confirmed single-trait analyses. Men and women with mildly elevated bilirubin levels ≥ 17.1 µmol/L, compared to low-normal bilirubin < 10 µmol/L had 13% (99% CI 8%-18%) and 11% (99% CI 4%-17%) lower odds of exceeding systolic BP levels of ≥ 130 mm Hg, respectively.
Higher levels of bilirubin were inversely associated with cardiometabolic risk factors including adiposity, dyslipidemia, and hypertension.
胆红素是血红蛋白分解的副产物,其轻度升高可能减轻肥胖、血脂异常和高血压(BP)等心血管代谢危险因素。我们在 467519 名英国生物库研究参与者中调查了(总)胆红素与基线心血管代谢危险因素之间的横断面关系。
我们使用多变量调整的线性回归来估计胆红素水平与心血管代谢疾病风险因素之间的关联,包括体重指数(BMI)、腰围和臀围(WC、HC)、腰臀比(WHR)、脂肪量(FM)和躯干 FM,以及血脂:载脂蛋白 A-I(apoA-I)、载脂蛋白 B(apoB)、apoB/apoA-I、脂蛋白(a)、总胆固醇(TC)、低密度脂蛋白胆固醇(LDL-C)、高密度脂蛋白胆固醇(HDL-C)、LDL/HDL、TC/HDL、甘油三酯(TG)。采用受限立方样条对数转换胆红素,并分别估计每个风险标志物的 99%置信区间(CI)的预测均值。其次,我们应用主成分分析(PCA)对六个人体测量特征(身高、体重、BMI、WC、HC 和 WHR)和所有上述脂质进行降维。最后,我们使用逻辑回归估计胆红素与代谢综合征的三个成分(WC、TG 和 BP)之间的关联(99%CI)。
经过多变量调整后,胆红素水平升高与男性和女性的一般肥胖指标(BMI 和 FM)和体脂分布指标(WC、HC、WHR 和躯干 FM)呈负相关。例如,与胆红素水平低的女性(5%分位,等于 4.5 μmol/L)相比,胆红素水平轻度升高(95%分位,等于 15.0 μmol/L)的女性 BMI 平均低 2.0kg/m(99%CI 1.9-2.1)。男性和女性的血脂异常也存在负相关。例如,与胆红素水平低的男性(5%分位,等于 5.5 μmol/L)相比,胆红素水平轻度升高(95%分位,等于 19.4 μmol/L)的男性 TG 水平平均低 0.55mmol/L(99%CI 0.53-0.56),女性也存在类似的负相关。使用 PCA 的多特征分析证实了单特征分析。与胆红素水平正常的男性(<10 μmol/L)相比,胆红素水平轻度升高(≥17.1 μmol/L)的男性发生收缩压水平≥130mmHg 的几率降低 13%(99%CI 8%-18%),与胆红素水平正常的女性(<10 μmol/L)相比,胆红素水平轻度升高(≥17.1 μmol/L)的女性发生收缩压水平≥130mmHg 的几率降低 11%(99%CI 4%-17%)。
胆红素水平升高与肥胖、血脂异常和高血压等心血管代谢危险因素呈负相关。