• 文献检索
  • 文档翻译
  • 深度研究
  • 学术资讯
  • Suppr Zotero 插件Zotero 插件
  • 邀请有礼
  • 套餐&价格
  • 历史记录
应用&插件
Suppr Zotero 插件Zotero 插件浏览器插件Mac 客户端Windows 客户端微信小程序
定价
高级版会员购买积分包购买API积分包
服务
文献检索文档翻译深度研究API 文档MCP 服务
关于我们
关于 Suppr公司介绍联系我们用户协议隐私条款
关注我们

Suppr 超能文献

核心技术专利:CN118964589B侵权必究
粤ICP备2023148730 号-1Suppr @ 2026

文献检索

告别复杂PubMed语法,用中文像聊天一样搜索,搜遍4000万医学文献。AI智能推荐,让科研检索更轻松。

立即免费搜索

文件翻译

保留排版,准确专业,支持PDF/Word/PPT等文件格式,支持 12+语言互译。

免费翻译文档

深度研究

AI帮你快速写综述,25分钟生成高质量综述,智能提取关键信息,辅助科研写作。

立即免费体验

真实世界评估分子多重 IgE 检测方法在花粉相关食物过敏诊断中的应用。

Real-life evaluation of molecular multiplex IgE test methods in the diagnosis of pollen associated food allergy.

机构信息

Institute for Pathophysiology and Allergy Research, Center for Pathophysiology, Infectiology and Immunology, Medical University of Vienna, Vienna, Austria.

Ambulatorio di Allergologia, Clinica San Carlo, Paderno Dugnano (MI), Italy.

出版信息

Allergy. 2022 Oct;77(10):3028-3040. doi: 10.1111/all.15329. Epub 2022 May 9.

DOI:10.1111/all.15329
PMID:35485989
原文链接:https://pmc.ncbi.nlm.nih.gov/articles/PMC9790655/
Abstract

BACKGROUND

Diagnosis of food allergies is challenging, as combining information from specific IgE (sIgE)-sensitization pattern and skin prick tests (SPTs) with clinical history is necessary for a personalized management of allergic patients. The aim of this study was to compare two molecular tests, the ImmunoCAP ISAC (ISAC) and the Allergy Explorer, version 2 (ALEX ) in the context of pollen food syndrome (PFS) diagnosis in a real-life scenario, to assess the benefit of multiplex testing in PFS patients.

METHODS

Diagnosis of food allergy was performed in 53 patients. Allergen-sIgE concentrations were measured with ISAC and ALEX . Results for sIgE were statistically compared with each other, with SPT results and with clinical presentation of the patients.

RESULTS

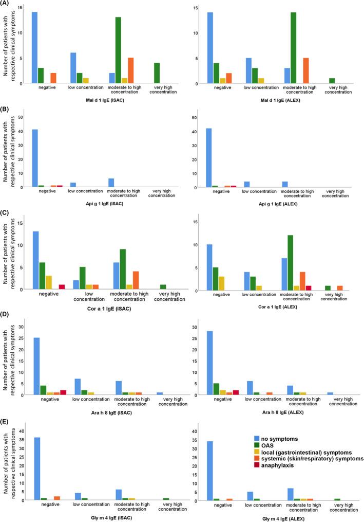
Using ISAC as reference test for sIgE measurements, the average sensitivity of ALEX for PR-10 allergens was 83.2% and the average specificity 88.0%. If only low sIgE concentrations were included, the sensitivity was 60.8% and the specificity 91.1%. Apple and hazelnut sensitizations were confirmed in most patients by concordance of sIgE and SPT results. Significant correlations were shown between clinical symptoms and Mal d 1- and Gly m 4-sIgE levels measured by both tests and for Cor a 1-sIgE levels measured by ALEX . In eight patients, profilin related symptoms were supported by Hev b 8-sensitization.

CONCLUSION

Multiplex testing is beneficial to understand patient-specific individual sensitization profiles and to providing personalized management recommendations. In the future, custom-designed test kits might enable reducing costs of multiplex testing for specific patient groups without compromising the diagnostic value.

摘要

背景

食物过敏的诊断具有挑战性,因为结合特异性 IgE(sIgE)致敏模式和皮肤点刺试验(SPTs)与临床病史对于过敏患者的个性化管理是必要的。本研究的目的是在现实情况下比较两种分子检测方法,即 ImmunoCAP ISAC(ISAC)和 Allergy Explorer,版本 2(ALEX),以评估在花粉食物综合征(PFS)患者中进行多重检测的益处。

方法

对 53 名患者进行了食物过敏诊断。使用 ISAC 和 ALEX 测量过敏原 sIgE 浓度。将 sIgE 的结果与彼此、SPT 结果和患者的临床表现进行统计学比较。

结果

使用 ISAC 作为 sIgE 测量的参考测试,ALEX 对 PR-10 过敏原的平均敏感性为 83.2%,平均特异性为 88.0%。如果仅包括低 sIgE 浓度,则敏感性为 60.8%,特异性为 91.1%。苹果和榛子致敏在大多数患者中通过 sIgE 和 SPT 结果的一致性得到确认。通过两种测试测量的 Mal d 1-和 Gly m 4-sIgE 水平以及通过 ALEX 测量的 Cor a 1-sIgE 水平显示出与临床症状之间存在显著相关性。在 8 名患者中,与过敏症状相关的前蛋白被 Hev b 8 致敏所支持。

结论

多重检测有助于了解患者特异性的个体致敏谱,并提供个性化的管理建议。未来,定制设计的检测试剂盒可能能够降低特定患者群体的多重检测成本,而不会影响诊断价值。

https://cdn.ncbi.nlm.nih.gov/pmc/blobs/3808/9790655/401f8e70ab6b/ALL-77-3028-g002.jpg
https://cdn.ncbi.nlm.nih.gov/pmc/blobs/3808/9790655/b413023f18c7/ALL-77-3028-g001.jpg
https://cdn.ncbi.nlm.nih.gov/pmc/blobs/3808/9790655/59b7c62eed67/ALL-77-3028-g004.jpg
https://cdn.ncbi.nlm.nih.gov/pmc/blobs/3808/9790655/401f8e70ab6b/ALL-77-3028-g002.jpg
https://cdn.ncbi.nlm.nih.gov/pmc/blobs/3808/9790655/b413023f18c7/ALL-77-3028-g001.jpg
https://cdn.ncbi.nlm.nih.gov/pmc/blobs/3808/9790655/59b7c62eed67/ALL-77-3028-g004.jpg
https://cdn.ncbi.nlm.nih.gov/pmc/blobs/3808/9790655/401f8e70ab6b/ALL-77-3028-g002.jpg

相似文献

1
Real-life evaluation of molecular multiplex IgE test methods in the diagnosis of pollen associated food allergy.真实世界评估分子多重 IgE 检测方法在花粉相关食物过敏诊断中的应用。
Allergy. 2022 Oct;77(10):3028-3040. doi: 10.1111/all.15329. Epub 2022 May 9.
2
Microarray Analysis Confirms ImmunoCAP-Fluorescence Enzyme Immunoassay Results on Specific IgE in Patients with Atopic Dermatitis and Suspected Birch Pollen-Related Food Allergy.微阵列分析证实了特应性皮炎和疑似桦树花粉相关食物过敏患者的特异性 IgE 免疫 CAP-荧光酶免疫分析结果。
Int Arch Allergy Immunol. 2022;183(8):814-823. doi: 10.1159/000522525. Epub 2022 Apr 4.
3
Diagnostic usefulness of component-resolved diagnosis by skin prick tests and specific IgE to single allergen components in children with allergy to fruits and vegetables.皮肤点刺试验和针对单一过敏原成分的特异性IgE对水果和蔬菜过敏儿童进行组分分辨诊断的诊断价值
Allergol Immunopathol (Madr). 2014 Mar-Apr;42(2):127-35. doi: 10.1016/j.aller.2012.09.001. Epub 2012 Dec 21.
4
Is Microarray Analysis Really Useful and Sufficient to Diagnose Nut Allergy in the Mediterranean Area?微阵列分析对于诊断地中海地区的坚果过敏真的有用吗且足够吗?
J Investig Allergol Clin Immunol. 2016;26(1):31-9.
5
A comprehensive comparison between ISAC and ALEX multiplex test systems.ISAC 与 ALEX 多重检测系统的全面比较。
Clin Chem Lab Med. 2022 Apr 27;60(7):1046-1052. doi: 10.1515/cclm-2022-0191. Print 2022 Jun 27.
6
Sensitization profiles in birch pollen-allergic patients with and without oral allergy syndrome to apple: lessons from multiplexed component-resolved allergy diagnosis.桦树花粉过敏患者与无口腔过敏综合征患者的过敏谱:多重成分分辨过敏诊断的经验教训。
Clin Exp Allergy. 2010 Feb;40(2):339-47. doi: 10.1111/j.1365-2222.2009.03345.x. Epub 2009 Aug 26.
7
Interference of sensitization in grass pollen allergy.花粉过敏致敏中的干扰作用。
Eur Ann Allergy Clin Immunol. 2021 Jul;53(4):185-190. doi: 10.23822/EurAnnACI.1764-1489.159. Epub 2020 Jun 17.
8
Profilin sensitization detected in the office by skin prick test: a study of prevalence and clinical relevance of profilin as a plant food allergen.通过皮肤点刺试验在门诊检测到的肌动蛋白结合蛋白致敏:关于肌动蛋白结合蛋白作为植物性食物过敏原的患病率及临床相关性的研究
Clin Exp Allergy. 2008 Jun;38(6):1033-7. doi: 10.1111/j.1365-2222.2008.02980.x. Epub 2008 Apr 13.
9
Determination of sIgE to rPhl p 1 is sufficient to diagnose grass pollen allergy.测定 sIgE 对 rPhl p 1 即可诊断草花粉过敏。
Allergy. 2013 Nov;68(11):1403-9. doi: 10.1111/all.12263. Epub 2013 Oct 11.
10
Skin prick test responses and allergen-specific IgE levels as predictors of peanut, egg, and sesame allergy in infants.皮肤点刺试验反应和过敏原特异性 IgE 水平可预测婴儿花生、鸡蛋和芝麻过敏。
J Allergy Clin Immunol. 2013 Oct;132(4):874-80. doi: 10.1016/j.jaci.2013.05.038. Epub 2013 Jul 24.

引用本文的文献

1
Current State of Celery Allergy: Is Discovering Api g 7 a Milestone in Diagnosing Celeriac-Allergic Patients?芹菜过敏的现状:发现Api g 7是诊断芹菜过敏患者的一个里程碑吗?
Int J Mol Sci. 2025 Jun 18;26(12):5840. doi: 10.3390/ijms26125840.
2
A Comparison of asIgE Levels Measured with ALEX and ImmunoCAP ISAC in Polish Children with Food Allergies.在波兰食物过敏儿童中,用ALEX和免疫CAP ISAC检测的特异性IgE水平比较。
Int J Mol Sci. 2025 Feb 20;26(5):1810. doi: 10.3390/ijms26051810.
3
LuLIPLEX: A Fast, Highly Sensitive, and Multiplexed Method for the Detection of IgE Against Major Allergens.

本文引用的文献

1
Pollen-food allergy syndrome and component sensitization in adolescents: A Japanese population-based study.青少年花粉-食物过敏综合征及成分致敏情况:一项基于日本人群的研究。
PLoS One. 2021 Apr 14;16(4):e0249649. doi: 10.1371/journal.pone.0249649. eCollection 2021.
2
Linking cross-reactivity clusters of food and respiratory allergens in PAMD@ to asthma and duration of allergy.将PAMD@中食物和呼吸道过敏原的交叉反应性簇与哮喘及过敏持续时间联系起来。
World Allergy Organ J. 2020 Nov 21;13(12):100483. doi: 10.1016/j.waojou.2020.100483. eCollection 2020 Dec.
3
Systemic allergic reactions induced by labile plant-food allergens: Seeking potential cofactors. A multicenter study.
LuLIPLEX:一种用于检测针对主要过敏原的IgE的快速、高灵敏度和多重检测方法。
Allergy. 2025 Mar;80(3):849-860. doi: 10.1111/all.16403. Epub 2024 Nov 27.
4
Agreement of Peru-Based Allergy Tests for Respiratory Allergens in Allergic Rhinitis Patients.秘鲁基于过敏测试的变应性鼻炎患者呼吸道变应原的一致性。
J Immunol Res. 2024 Aug 20;2024:8657483. doi: 10.1155/2024/8657483. eCollection 2024.
5
Cross-protection of allergen immunotherapy-induced antibodies to related allergens requires a high degree of structural identity.变应原免疫疗法诱导产生的针对相关变应原的抗体的交叉保护需要高度的结构一致性。
Allergy. 2025 Mar;80(3):785-794. doi: 10.1111/all.16323. Epub 2024 Sep 23.
6
Multiplex Assays in Allergy Diagnosis: Allergy Explorer 2 versus ImmunoCAP ISAC E112i.过敏诊断中的多重检测:Allergy Explorer 2与ImmunoCAP ISAC E112i对比
Diagnostics (Basel). 2024 May 8;14(10):976. doi: 10.3390/diagnostics14100976.
7
Allergen Stability in Food Allergy: A Clinician's Perspective.食物过敏中的过敏原稳定性:临床医生视角。
Curr Allergy Asthma Rep. 2023 Oct;23(10):601-612. doi: 10.1007/s11882-023-01107-9. Epub 2023 Sep 4.
8
Would the choice of multiplex platform impact the management of the allergic patient? A first approach focusing on LTPs.多重平台选择是否会影响过敏患者的管理?首先关注类胰蛋白酶。
J Clin Lab Anal. 2023 Aug;37(15-16):e24960. doi: 10.1002/jcla.24960. Epub 2023 Aug 28.
9
Selected Technical Aspects of Molecular Allergy Diagnostics.分子过敏诊断的选定技术方面
Curr Issues Mol Biol. 2023 Jun 29;45(7):5481-5493. doi: 10.3390/cimb45070347.
不稳定植物食物过敏原引起的全身性过敏反应:寻找潜在的共同作用因素。一项多中心研究。
Allergy. 2021 May;76(5):1473-1479. doi: 10.1111/all.14634. Epub 2020 Nov 1.
4
Biomarkers of diagnosis and resolution of food allergy.食物过敏诊断和缓解的生物标志物。
Pediatr Allergy Immunol. 2021 Feb;32(2):223-233. doi: 10.1111/pai.13389. Epub 2020 Oct 31.
5
Diagnosing, managing and preventing anaphylaxis: Systematic review.诊断、管理和预防过敏反应:系统评价。
Allergy. 2021 May;76(5):1493-1506. doi: 10.1111/all.14580. Epub 2020 Sep 29.
6
Modeling the conversion between specific IgE test platforms for nut allergens in children and adolescents.儿童和青少年坚果过敏原特异性IgE检测平台之间转换的建模
Allergy. 2021 Mar;76(3):831-841. doi: 10.1111/all.14529. Epub 2020 Aug 16.
7
Advances in IgE Testing for Diagnosis of Allergic Disease.用于过敏性疾病诊断的IgE检测进展
J Allergy Clin Immunol Pract. 2020 Sep;8(8):2495-2504. doi: 10.1016/j.jaip.2020.07.021. Epub 2020 Jul 24.
8
Update on pollen-food allergy syndrome.花粉-食物过敏综合征更新。
Expert Rev Clin Immunol. 2020 Jun;16(6):561-578. doi: 10.1080/1744666X.2020.1774366.
9
Molecular approach to a patient's tailored diagnosis of the oral allergy syndrome.针对患者口腔过敏综合征定制诊断的分子方法。
Clin Transl Allergy. 2020 Jun 17;10:22. doi: 10.1186/s13601-020-00329-8. eCollection 2020.
10
Prevalence of Food Sensitization and Food Allergy in Children Across Europe.欧洲儿童食物致敏和食物过敏的患病率
J Allergy Clin Immunol Pract. 2020 Sep;8(8):2736-2746.e9. doi: 10.1016/j.jaip.2020.04.020. Epub 2020 Apr 21.