Suppr超能文献

F17 攻击的羔羊空肠中长链非编码 RNA 和 mRNA 表达的研究

Insights Into Long Non-Coding RNA and mRNA Expression in the Jejunum of Lambs Challenged With F17.

作者信息

Chen Weihao, Lv Xiaoyang, Zhang Weibo, Hu Tingyan, Cao Xiukai, Ren Ziming, Getachew Tesfaye, Mwacharo Joram M, Haile Aynalem, Sun Wei

机构信息

College of Animal Science and Technology, Yangzhou University, Yangzhou, China.

International Centre for Agricultural Research in the Dry Areas, Addis Ababa, Ethiopia.

出版信息

Front Vet Sci. 2022 Apr 12;9:819917. doi: 10.3389/fvets.2022.819917. eCollection 2022.

Abstract

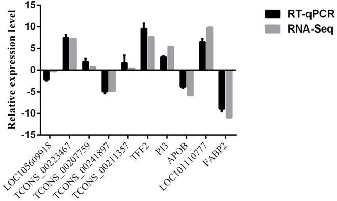
It has long been recognized that enterotoxigenic (ETEC) is the major pathogen responsible for vomiting and diarrhea. F17, a main subtype of ETEC, is characterized by high morbidity and mortality in young livestock. However, the transcriptomic basis underlying F17 infection has not been fully understood. In the present study, RNA sequencing was conducted to explore the expression profiles of mRNAs and long non-coding RNAs (lncRNAs) in the jejunum of lambs who were identified as resistant or sensitive to F17 that was obtained in a challenge experiment. A total of 772 differentially expressed (DE) mRNAs and 190 DE lncRNAs were detected between the F17-resistance and F17-sensitive lambs (i.e., , TCONS_00223467, and TCONS_00241897). Then, a two-step machine learning approach (RX) combination Random Forest and Extreme Gradient Boosting were performed, which identified 16 mRNAs and 17 lncRNAs as potential biomarkers, within which and TCONS_00182693 were prioritized as key biomarkers involved in F17 infection. Furthermore, functional enrichment analysis showed that peroxisome proliferator-activated receptor (PPAR) pathway was significantly enriched in response to F17 infection. Our finding will help to improve the knowledge of the mechanisms underlying F17 infection and may provide novel targets for future treatment of E. coli F17 infection.

摘要

长期以来,人们一直认识到产肠毒素大肠杆菌(ETEC)是导致呕吐和腹泻的主要病原体。F17是ETEC的主要亚型,其特点是在幼畜中发病率和死亡率高。然而,F17感染的转录组学基础尚未完全了解。在本研究中,进行了RNA测序,以探索在攻毒实验中对F17有抗性或敏感性的羔羊空肠中mRNA和长链非编码RNA(lncRNA)的表达谱。在F17抗性和F17敏感羔羊之间共检测到772个差异表达(DE)mRNA和190个DE lncRNA(即,TCONS_00223467和TCONS_00241897)。然后,采用两步机器学习方法(RX),结合随机森林和极端梯度提升,确定了16个mRNA和17个lncRNA作为潜在生物标志物,其中TCONS_00182693被优先列为参与F17感染的关键生物标志物。此外,功能富集分析表明,过氧化物酶体增殖物激活受体(PPAR)途径在对F17感染的反应中显著富集。我们的发现将有助于提高对F17感染机制的认识,并可能为未来大肠杆菌F17感染的治疗提供新的靶点。

https://cdn.ncbi.nlm.nih.gov/pmc/blobs/064b/9039264/4025a16cac10/fvets-09-819917-g0001.jpg

文献检索

告别复杂PubMed语法,用中文像聊天一样搜索,搜遍4000万医学文献。AI智能推荐,让科研检索更轻松。

立即免费搜索

文件翻译

保留排版,准确专业,支持PDF/Word/PPT等文件格式,支持 12+语言互译。

免费翻译文档

深度研究

AI帮你快速写综述,25分钟生成高质量综述,智能提取关键信息,辅助科研写作。

立即免费体验