• 文献检索
  • 文档翻译
  • 深度研究
  • 学术资讯
  • Suppr Zotero 插件Zotero 插件
  • 邀请有礼
  • 套餐&价格
  • 历史记录
应用&插件
Suppr Zotero 插件Zotero 插件浏览器插件Mac 客户端Windows 客户端微信小程序
定价
高级版会员购买积分包购买API积分包
服务
文献检索文档翻译深度研究API 文档MCP 服务
关于我们
关于 Suppr公司介绍联系我们用户协议隐私条款
关注我们

Suppr 超能文献

核心技术专利:CN118964589B侵权必究
粤ICP备2023148730 号-1Suppr @ 2026

文献检索

告别复杂PubMed语法,用中文像聊天一样搜索,搜遍4000万医学文献。AI智能推荐,让科研检索更轻松。

立即免费搜索

文件翻译

保留排版,准确专业,支持PDF/Word/PPT等文件格式,支持 12+语言互译。

免费翻译文档

深度研究

AI帮你快速写综述,25分钟生成高质量综述,智能提取关键信息,辅助科研写作。

立即免费体验

通过拉曼光谱法监测用乙炔标记配体进行的细胞内金属离子络合。

Monitoring intracellular metal ion complexation with an acetylene-tagged ligand by Raman spectroscopy.

作者信息

Takemura Seiya, Watanabe Hikaru, Nishihara Tatsuya, Okamoto Akimitsu, Tanabe Kazuhito

机构信息

Department of Chemistry and Biological Science, College of Science and Engineering, Aoyama Gakuin University 5-10-1 Fuchinobe, Chuo-ku Sagamihara 252-5258 Japan

Research Center for Advanced Science and Technology, The University of Tokyo 4-6-1 Komaba, Meguro-ku Tokyo 153-8904 Japan.

出版信息

RSC Adv. 2020 Oct 1;10(59):36119-36123. doi: 10.1039/d0ra06329k. eCollection 2020 Sep 28.

DOI:10.1039/d0ra06329k
PMID:35517095
原文链接:https://pmc.ncbi.nlm.nih.gov/articles/PMC9056985/
Abstract

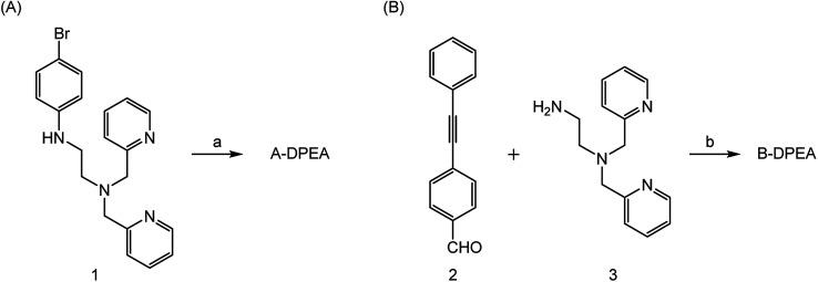
We propose to monitor molecular vibrations to identify metal ion-ligand complexation by means of Raman spectroscopy, which has been applied to track vibrational modes of molecules and to obtain a structural fingerprint. We prepared ligand molecules for Zn ion complexation with a dipycolylaminoethyl aniline (DPEA) skeleton and phenylacetylene unit as the Raman tag which showed a typical band around 2200 cm. Among the labeled ligands synthesized in this study, A-DPEA showed a strong band attributed to the acetylene unit at 2212 cm, while the addition of Zn ion resulted in a band shift to 2220 cm due to complex formation. The addition of other metal ions and titration experiments showed that A-DPEA bound with Zn selectively with a dissociation constant ( ) that was estimated to be 0.22 μM. We also conducted cellular experiments and found that complexation between A-DPEA and Zn also occurred in cells, with a shift in the Raman signal of the ligand from 2212 to 2215 cm. Thus, complex formation of the metal ion was identified by monitoring the Raman band shift.

摘要

我们建议通过拉曼光谱监测分子振动来识别金属离子-配体络合,拉曼光谱已被用于追踪分子的振动模式并获得结构指纹。我们制备了用于与锌离子络合的配体分子,其具有二吡啶基氨基乙基苯胺(DPEA)骨架和作为拉曼标签的苯乙炔单元,该单元在2200 cm附近显示出典型谱带。在本研究合成的标记配体中,A-DPEA在2212 cm处显示出归因于乙炔单元的强谱带,而加入锌离子后,由于络合物形成,谱带移至2220 cm。加入其他金属离子和滴定实验表明,A-DPEA与锌选择性结合,其解离常数()估计为0.22 μM。我们还进行了细胞实验,发现A-DPEA与锌在细胞中也发生络合,配体的拉曼信号从2212 cm移至2215 cm。因此,通过监测拉曼谱带位移识别了金属离子的络合物形成。

https://cdn.ncbi.nlm.nih.gov/pmc/blobs/a3a7/9056985/596614d17e2f/d0ra06329k-f4.jpg
https://cdn.ncbi.nlm.nih.gov/pmc/blobs/a3a7/9056985/c65a90b2fdd4/d0ra06329k-f1.jpg
https://cdn.ncbi.nlm.nih.gov/pmc/blobs/a3a7/9056985/253b2345cac7/d0ra06329k-s1.jpg
https://cdn.ncbi.nlm.nih.gov/pmc/blobs/a3a7/9056985/6ea73b637278/d0ra06329k-f2.jpg
https://cdn.ncbi.nlm.nih.gov/pmc/blobs/a3a7/9056985/b81c1719a19d/d0ra06329k-f3.jpg
https://cdn.ncbi.nlm.nih.gov/pmc/blobs/a3a7/9056985/596614d17e2f/d0ra06329k-f4.jpg
https://cdn.ncbi.nlm.nih.gov/pmc/blobs/a3a7/9056985/c65a90b2fdd4/d0ra06329k-f1.jpg
https://cdn.ncbi.nlm.nih.gov/pmc/blobs/a3a7/9056985/253b2345cac7/d0ra06329k-s1.jpg
https://cdn.ncbi.nlm.nih.gov/pmc/blobs/a3a7/9056985/6ea73b637278/d0ra06329k-f2.jpg
https://cdn.ncbi.nlm.nih.gov/pmc/blobs/a3a7/9056985/b81c1719a19d/d0ra06329k-f3.jpg
https://cdn.ncbi.nlm.nih.gov/pmc/blobs/a3a7/9056985/596614d17e2f/d0ra06329k-f4.jpg

相似文献

1
Monitoring intracellular metal ion complexation with an acetylene-tagged ligand by Raman spectroscopy.通过拉曼光谱法监测用乙炔标记配体进行的细胞内金属离子络合。
RSC Adv. 2020 Oct 1;10(59):36119-36123. doi: 10.1039/d0ra06329k. eCollection 2020 Sep 28.
2
Raman spectral titration method: an informative technique for studying the complexation of uranyl with uranyl(vi)-DPA/oxalate systems as examples.拉曼光谱滴定法:以铀酰与铀酰(VI)-二吡啶酰胺/草酸盐体系的络合研究为例的一种信息丰富的技术。
Dalton Trans. 2017 Oct 10;46(39):13180-13187. doi: 10.1039/c7dt01631j.
3
A structure-based analysis of the vibrational spectra of nitrosyl ligands in transition-metal coordination complexes and clusters.基于结构的分析过渡金属配位化合物和簇中硝酰配体的振动光谱。
Spectrochim Acta A Mol Biomol Spectrosc. 2011 Jan;78(1):7-28. doi: 10.1016/j.saa.2010.08.001. Epub 2010 Aug 17.
4
Complexation of metal ions, including alkali-earth and lanthanide(III) ions, in aqueous solution by the ligand 2,2',6',2''-terpyridyl.金属离子与配体 2,2',6',2''-三联吡啶在水溶液中的络合作用,包括碱土金属和镧系(III)离子。
Inorg Chem. 2011 Apr 4;50(7):2764-70. doi: 10.1021/ic101742x. Epub 2011 Mar 2.
5
Raman Spectroscopy as a Probe for Monitoring the Zinc Presence in Zn-Substituted Cobalt Ferrites.拉曼光谱法作为监测锌取代钴铁氧体中锌存在情况的探针
J Nanosci Nanotechnol. 2019 Aug 1;19(8):5043-5047. doi: 10.1166/jnn.2019.16792.
6
Probing the chemistries of the substrate and flavin ring system of p-hydroxybenzoate hydroxylase by raman difference spectroscopy.通过拉曼差光谱法探究对羟基苯甲酸羟化酶的底物和黄素环系统的化学性质。
Biochemistry. 1997 Oct 14;36(41):12560-6. doi: 10.1021/bi9715270.
7
Raman Spectroscopic Fingerprints of Atomically Precise Ligand Protected Noble Metal Clusters: Au (PET) and Au Ag (PET).原子精确配体保护的贵金属纳米簇的拉曼光谱指纹:Au(PET)和 AuAg(PET)。
Small. 2021 Oct;17(39):e2101855. doi: 10.1002/smll.202101855. Epub 2021 Aug 18.
8
A vibrational spectroscopic study of the phosphate mineral whiteite CaMn(++)Mg2Al2(PO4)4(OH)2·8(H2O).磷酸盐矿物白磷钙锰矿CaMn(++)Mg2Al2(PO4)4(OH)2·8(H2O)的振动光谱研究
Spectrochim Acta A Mol Biomol Spectrosc. 2014 Apr 24;124:243-8. doi: 10.1016/j.saa.2014.01.053. Epub 2014 Jan 21.
9
Terahertz Raman Spectroscopy of Ligand-Protected Au Clusters.配体保护金团簇的太赫兹拉曼光谱
J Phys Chem Lett. 2020 Oct 1;11(19):7996-8001. doi: 10.1021/acs.jpclett.0c02227. Epub 2020 Sep 10.
10
Enhanced metal ion selectivity of 2,9-di-(pyrid-2-yl)-1,10-phenanthroline and its use as a fluorescent sensor for cadmium(II).2,9-二(吡啶-2-基)-1,10-菲咯啉对金属离子选择性的增强及其作为镉(II)荧光传感器的应用。
J Am Chem Soc. 2008 Jan 30;130(4):1420-30. doi: 10.1021/ja077141m. Epub 2008 Jan 5.

引用本文的文献

1
Seeing is Believing: Developing Multimodal Metabolic Insights at the Molecular Level.眼见为实:在分子水平上开发多模态代谢见解。
ACS Cent Sci. 2024 Mar 21;10(4):758-774. doi: 10.1021/acscentsci.3c01438. eCollection 2024 Apr 24.
2
Biomedical applications, perspectives and tag design concepts in the cell - silent Raman window.细胞沉默拉曼窗口中的生物医学应用、前景及标签设计概念
RSC Chem Biol. 2024 Feb 12;5(4):273-292. doi: 10.1039/d3cb00217a. eCollection 2024 Apr 3.
3
Determination of Intracellular Esterase Activity Using Ratiometric Raman Sensing and Spectral Phasor Analysis.

本文引用的文献

1
Zn Complexes for Bioimaging and Correlated Applications.锌配合物用于生物成像及相关应用。
Chem Asian J. 2019 Feb 15;14(4):509-526. doi: 10.1002/asia.201801437. Epub 2019 Feb 4.
2
Ultrasensitive Detection of Metal Ions with DNA Nanostructure.基于DNA纳米结构的金属离子超灵敏检测
Methods Mol Biol. 2018;1811:137-149. doi: 10.1007/978-1-4939-8582-1_9.
3
Multifunctional Ln-MOF Luminescent Probe for Efficient Sensing of Fe, Ce, and Acetone.多功能 Ln-MOF 发光探针用于高效感测 Fe、Ce 和丙酮。
利用比率 Raman 传感和光谱相图分析测定细胞内酯酶活性。
Anal Chem. 2023 Mar 28;95(12):5369-5376. doi: 10.1021/acs.analchem.2c05708. Epub 2023 Mar 16.
4
Raman Spectroscopy for Chemical Biology Research.拉曼光谱在化学生物学研究中的应用。
J Am Chem Soc. 2022 Nov 2;144(43):19651-19667. doi: 10.1021/jacs.2c05359. Epub 2022 Oct 10.
5
Bringing Vibrational Imaging to Chemical Biology with Molecular Probes.利用分子探针将振动成像技术引入化学生物学。
ACS Chem Biol. 2022 Jul 15;17(7):1621-1637. doi: 10.1021/acschembio.2c00200. Epub 2022 Jun 30.
6
Miniaturized Chemical Tags for Optical Imaging.微型化化学标签用于光学成像。
Angew Chem Int Ed Engl. 2022 Aug 22;61(34):e202204788. doi: 10.1002/anie.202204788. Epub 2022 Jul 21.
ACS Appl Mater Interfaces. 2018 Jul 18;10(28):23976-23986. doi: 10.1021/acsami.8b06103. Epub 2018 Jul 2.
4
A Smart Sensing Method for Object Identification Using Circularly Polarized Luminescence from Coordination-Driven Self-Assembly.一种利用配位驱动自组装产生的圆偏振发光进行物体识别的智能传感方法。
Angew Chem Int Ed Engl. 2018 Jul 16;57(29):8973-8978. doi: 10.1002/anie.201803833. Epub 2018 Jun 19.
5
Multi-metal-dependent nucleic acid enzymes.多金属依赖性核酸酶。
Metallomics. 2018 Jan 24;10(1):30-48. doi: 10.1039/c7mt00268h.
6
Chemically-activatable alkyne-tagged probe for imaging microdomains in lipid bilayer membranes.用于在脂质双层膜中成像微区的化学激活炔基标记探针。
Sci Rep. 2017 Jan 24;7:41007. doi: 10.1038/srep41007.
7
Preparation of alkyne-labeled 2-nitroimidazoles for identification of tumor hypoxia by Raman spectroscopy.用于通过拉曼光谱法鉴定肿瘤缺氧的炔烃标记的2-硝基咪唑的制备。
Bioorg Med Chem Lett. 2016 Oct 15;26(20):4892-4894. doi: 10.1016/j.bmcl.2016.09.024. Epub 2016 Sep 9.
8
Development of Functional Fluorescent Molecular Probes for the Detection of Biological Substances.用于生物物质检测的功能荧光分子探针的开发。
Biosensors (Basel). 2015 Jun 18;5(2):337-63. doi: 10.3390/bios5020337.
9
Metal complex interactions with DNA.金属配合物与DNA的相互作用。
Dalton Trans. 2015 Feb 28;44(8):3505-26. doi: 10.1039/c4dt02700k.
10
Functional nucleic-acid-based sensors for environmental monitoring.用于环境监测的基于功能核酸的传感器。
Appl Biochem Biotechnol. 2014 Oct;174(3):1073-91. doi: 10.1007/s12010-014-0990-3. Epub 2014 Jun 6.