• 文献检索
  • 文档翻译
  • 深度研究
  • 学术资讯
  • Suppr Zotero 插件Zotero 插件
  • 邀请有礼
  • 套餐&价格
  • 历史记录
应用&插件
Suppr Zotero 插件Zotero 插件浏览器插件Mac 客户端Windows 客户端微信小程序
定价
高级版会员购买积分包购买API积分包
服务
文献检索文档翻译深度研究API 文档MCP 服务
关于我们
关于 Suppr公司介绍联系我们用户协议隐私条款
关注我们

Suppr 超能文献

核心技术专利:CN118964589B侵权必究
粤ICP备2023148730 号-1Suppr @ 2026

文献检索

告别复杂PubMed语法,用中文像聊天一样搜索,搜遍4000万医学文献。AI智能推荐,让科研检索更轻松。

立即免费搜索

文件翻译

保留排版,准确专业,支持PDF/Word/PPT等文件格式,支持 12+语言互译。

免费翻译文档

深度研究

AI帮你快速写综述,25分钟生成高质量综述,智能提取关键信息,辅助科研写作。

立即免费体验

具有增强头孢他啶杀菌和去除残留能力的双功能纳米磷酸银。

Bifunctional nano-AgPO with capabilities of enhancing ceftazidime for sterilization and removing residues.

作者信息

Zhang Yahui, Zhang Xiaochen, Hu Ruiming, Yang Yang, Li Ping, Wu Qingsheng

机构信息

School of Chemical Science and Engineering, School of Life Science and Technology, Shanghai Key Laboratory of Chemical Assessment and Sustainability, Tongji University Shanghai 200092 China

Taiyuan Environmental Science Research Institute Taiyuan 030002 China.

出版信息

RSC Adv. 2019 Jun 6;9(31):17913-17920. doi: 10.1039/c9ra01969c. eCollection 2019 Jun 4.

DOI:10.1039/c9ra01969c
PMID:35520599
原文链接:https://pmc.ncbi.nlm.nih.gov/articles/PMC9064663/
Abstract

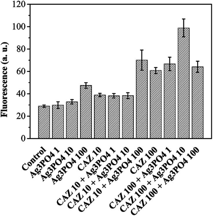
Since the efficacy of antibiotics towards bacteria is decreasing over time, the rising of antibiotic emission has become an increasingly grave issue. In this study, we proposed an integrated antibacterial nanotechnology without pollution residues, which synergistically enhances the antibacterial activity of ceftazidime by using the inorganic nano-AgPO, and subsequently removes drug residues by photocatalysis. AgPO were synthesized using a simple ion-exchange method without any reducing agent or protectant. The combined antibacterial activity of AgPO and 22 kinds of antibiotics against was first studied. The results showed that AgPO and ceftazidime exhibited the best synergistic effect. Next, the synergy mechanism was proposed, the non-chemical bond forces between AgPO and ceftazidime was determined by zeta potential analyzer, X-ray photoelectron spectroscopy (XPS) and infrared spectroscopy (IR). The interaction between antimicrobials and bacteria was further demonstrated by surface plasma resonance spectroscopy (SPR), scanning electron microscopy (SEM) and propidium iodide (PI) staining. In addition, the production of reactive oxygen species (ROS), the induction of oxidative stress and dissolution of silver ions in AgPO were studied and found out that only under light, could the ROS be generated. In conclusion, the synergistic effect of AgPO and ceftazidime is responsible for the joint destruction of cell wall.

摘要

由于抗生素对细菌的疗效会随着时间推移而降低,抗生素排放的增加已成为一个日益严峻的问题。在本研究中,我们提出了一种无污染物残留的综合抗菌纳米技术,该技术通过使用无机纳米AgPO协同增强头孢他啶的抗菌活性,随后通过光催化去除药物残留。AgPO采用简单的离子交换法合成,无需任何还原剂或保护剂。首先研究了AgPO与22种抗生素对[具体对象未提及]的联合抗菌活性。结果表明,AgPO与头孢他啶表现出最佳的协同效应。接下来,提出了协同机制,通过zeta电位分析仪、X射线光电子能谱(XPS)和红外光谱(IR)确定了AgPO与头孢他啶之间的非化学键力。通过表面等离子体共振光谱(SPR)、扫描电子显微镜(SEM)和碘化丙啶(PI)染色进一步证明了抗菌剂与细菌之间的相互作用。此外,研究了活性氧(ROS)的产生、氧化应激的诱导以及AgPO中银离子的溶解,发现只有在光照下才能产生ROS。总之,AgPO与头孢他啶的协同作用导致细胞壁的联合破坏。

https://cdn.ncbi.nlm.nih.gov/pmc/blobs/19d4/9064663/3ab0112f9afc/c9ra01969c-f12.jpg
https://cdn.ncbi.nlm.nih.gov/pmc/blobs/19d4/9064663/adb0b84843ed/c9ra01969c-f1.jpg
https://cdn.ncbi.nlm.nih.gov/pmc/blobs/19d4/9064663/8e3adbe80e02/c9ra01969c-f2.jpg
https://cdn.ncbi.nlm.nih.gov/pmc/blobs/19d4/9064663/fa57d6d087bc/c9ra01969c-f3.jpg
https://cdn.ncbi.nlm.nih.gov/pmc/blobs/19d4/9064663/9a4f1c0a3c11/c9ra01969c-f4.jpg
https://cdn.ncbi.nlm.nih.gov/pmc/blobs/19d4/9064663/4c9a4f0107f9/c9ra01969c-f5.jpg
https://cdn.ncbi.nlm.nih.gov/pmc/blobs/19d4/9064663/5d0fd0cac527/c9ra01969c-f6.jpg
https://cdn.ncbi.nlm.nih.gov/pmc/blobs/19d4/9064663/9b71f2787bdf/c9ra01969c-f7.jpg
https://cdn.ncbi.nlm.nih.gov/pmc/blobs/19d4/9064663/9d526da2f732/c9ra01969c-f8.jpg
https://cdn.ncbi.nlm.nih.gov/pmc/blobs/19d4/9064663/f412f78a7983/c9ra01969c-f9.jpg
https://cdn.ncbi.nlm.nih.gov/pmc/blobs/19d4/9064663/4dcc58b5d3de/c9ra01969c-f10.jpg
https://cdn.ncbi.nlm.nih.gov/pmc/blobs/19d4/9064663/85e5d782be77/c9ra01969c-f11.jpg
https://cdn.ncbi.nlm.nih.gov/pmc/blobs/19d4/9064663/3ab0112f9afc/c9ra01969c-f12.jpg
https://cdn.ncbi.nlm.nih.gov/pmc/blobs/19d4/9064663/adb0b84843ed/c9ra01969c-f1.jpg
https://cdn.ncbi.nlm.nih.gov/pmc/blobs/19d4/9064663/8e3adbe80e02/c9ra01969c-f2.jpg
https://cdn.ncbi.nlm.nih.gov/pmc/blobs/19d4/9064663/fa57d6d087bc/c9ra01969c-f3.jpg
https://cdn.ncbi.nlm.nih.gov/pmc/blobs/19d4/9064663/9a4f1c0a3c11/c9ra01969c-f4.jpg
https://cdn.ncbi.nlm.nih.gov/pmc/blobs/19d4/9064663/4c9a4f0107f9/c9ra01969c-f5.jpg
https://cdn.ncbi.nlm.nih.gov/pmc/blobs/19d4/9064663/5d0fd0cac527/c9ra01969c-f6.jpg
https://cdn.ncbi.nlm.nih.gov/pmc/blobs/19d4/9064663/9b71f2787bdf/c9ra01969c-f7.jpg
https://cdn.ncbi.nlm.nih.gov/pmc/blobs/19d4/9064663/9d526da2f732/c9ra01969c-f8.jpg
https://cdn.ncbi.nlm.nih.gov/pmc/blobs/19d4/9064663/f412f78a7983/c9ra01969c-f9.jpg
https://cdn.ncbi.nlm.nih.gov/pmc/blobs/19d4/9064663/4dcc58b5d3de/c9ra01969c-f10.jpg
https://cdn.ncbi.nlm.nih.gov/pmc/blobs/19d4/9064663/85e5d782be77/c9ra01969c-f11.jpg
https://cdn.ncbi.nlm.nih.gov/pmc/blobs/19d4/9064663/3ab0112f9afc/c9ra01969c-f12.jpg

相似文献

1
Bifunctional nano-AgPO with capabilities of enhancing ceftazidime for sterilization and removing residues.具有增强头孢他啶杀菌和去除残留能力的双功能纳米磷酸银。
RSC Adv. 2019 Jun 6;9(31):17913-17920. doi: 10.1039/c9ra01969c. eCollection 2019 Jun 4.
2
Highly flame-retardant materials of different divalent metal ions alginate/silver phosphate: Synthesis, characterizations, and synergistic phosphorus-polymetallic effects.不同二价金属离子藻酸盐/磷酸银的高阻燃材料:合成、表征及协同磷多金属效应。
Int J Biol Macromol. 2023 Aug 30;247:125834. doi: 10.1016/j.ijbiomac.2023.125834. Epub 2023 Jul 13.
3
Chloride ion-driven transformation from Ag3PO4 to AgCl on the hydroxyapatite support and its dual antibacterial effect against Escherichia coli under visible light irradiation.在羟基磷灰石载体上,氯离子驱动的 Ag3PO4 向 AgCl 的转化及其在可见光照射下对大肠杆菌的双重抗菌作用。
Environ Sci Pollut Res Int. 2016 Jul;23(13):13458-66. doi: 10.1007/s11356-016-6530-7. Epub 2016 Mar 30.
4
Antibacterial cotton fabrics via immobilizing silver phosphate nanoparticles onto the chitosan nanofiber coating.通过将磷酸银纳米颗粒固定在壳聚糖纳米纤维涂层上制备抗菌棉织物。
Int J Biol Macromol. 2020 May 3;158:282-289. doi: 10.1016/j.ijbiomac.2020.04.258.
5
Reactive-oxygen-species-mediated mechanism for photoinduced antibacterial and antiviral activities of AgPO.活性氧介导的AgPO光致抗菌和抗病毒活性机制
J Anal Sci Technol. 2020;11(1):21. doi: 10.1186/s40543-020-00220-y. Epub 2020 Jun 11.
6
New application of Z-scheme Ag3PO4/g-C3N4 composite in converting CO2 to fuel.Z 型 Ag3PO4/g-C3N4 复合材料在 CO2 转化为燃料中的新应用。
Environ Sci Technol. 2015 Jan 6;49(1):649-56. doi: 10.1021/es5046309. Epub 2014 Dec 17.
7
Fullerene-modified magnetic silver phosphate (AgPO/FeO/C) nanocomposites: hydrothermal synthesis, characterization and study of photocatalytic, catalytic and antibacterial activities.富勒烯修饰的磁性磷酸银(AgPO₄/Fe₃O₄/C)纳米复合材料:水热合成、表征及光催化、催化和抗菌活性研究
RSC Adv. 2018 Mar 13;8(18):10124-10140. doi: 10.1039/c8ra00069g. eCollection 2018 Mar 5.
8
Efficient photocatalytic degradation of tetracycline hydrochloride by Ag3PO4 under visible-light irradiation.可见光照射下Ag3PO4对盐酸四环素的高效光催化降解
Environ Sci Pollut Res Int. 2016 Jul;23(14):14422-30. doi: 10.1007/s11356-016-6588-2. Epub 2016 Apr 11.
9
Enhanced Antibacterial Property of Sulfate-Doped AgPO Nanoparticles Supported on PAN Electrospun Nanofibers.载于 PAN 静电纺纳米纤维上的硫酸根掺杂的 AgPO 纳米粒子增强的抗菌性能。
Molecules. 2020 Mar 19;25(6):1411. doi: 10.3390/molecules25061411.
10
Novel preparation of stable and highly photocatalytic Z-scheme CsPWO/AgPO photocatalysts for the photocatalytic degradation of organic contaminants in water.新型稳定高效 Z 型 CsPWO/AgPO 光催化剂的制备及其在水中光催化降解有机污染物的性能。
Water Sci Technol. 2022 Feb;85(3):887-899. doi: 10.2166/wst.2022.019.

引用本文的文献

1
Analyses of Experimental Dental Adhesives Based on Zirconia/Silver Phosphate Nanoparticles.基于氧化锆/磷酸银纳米颗粒的实验性牙科粘合剂分析
Polymers (Basel). 2023 Jun 8;15(12):2614. doi: 10.3390/polym15122614.
2
Synthesis of M-AgPO, (M = Se, Ag, Ta) Nanoparticles and Their Antibacterial and Cytotoxicity Study.硒、银、钽掺杂磷酸银纳米粒子的合成及其抗菌和细胞毒性研究。
Int J Mol Sci. 2022 Sep 27;23(19):11403. doi: 10.3390/ijms231911403.
3
A novel approach for the synthesis of nanostructured AgPO from phosphate rock: high catalytic and antibacterial activities.

本文引用的文献

1
Amidoxime-Functionalized Macroporous Carbon Self-Refreshed Electrode Materials for Rapid and High-Capacity Removal of Heavy Metal from Water.用于快速高容量去除水中重金属的偕胺肟功能化大孔碳自更新电极材料
ACS Cent Sci. 2019 Apr 24;5(4):719-726. doi: 10.1021/acscentsci.9b00130. Epub 2019 Mar 28.
2
Tuning the Bandgap of Photo-Sensitive Polydopamine/AgPO/Graphene Oxide Coating for Rapid, Noninvasive Disinfection of Implants.调节用于植入物快速、无创消毒的光敏聚多巴胺/磷酸银/氧化石墨烯涂层的带隙
ACS Cent Sci. 2018 Jun 27;4(6):724-738. doi: 10.1021/acscentsci.8b00177. Epub 2018 Jun 5.
3
Combined systems of different antibiotics with nano-CuO against Escherichia coli and the mechanisms involved.
一种从磷矿石合成纳米结构AgPO的新方法:高催化活性和抗菌活性。
BMC Chem. 2021 Jun 30;15(1):42. doi: 10.1186/s13065-021-00767-w.
4
Rational Design of W-Doped AgPO as an Efficient Antibacterial Agent and Photocatalyst for Organic Pollutant Degradation.W掺杂AgPO作为高效抗菌剂和光催化剂用于有机污染物降解的合理设计
ACS Omega. 2020 Sep 11;5(37):23808-23821. doi: 10.1021/acsomega.0c03019. eCollection 2020 Sep 22.
5
Electrochemical Preparation of Synergistic Nanoantimicrobials.协同纳米抗菌剂的电化学制备。
Molecules. 2019 Dec 22;25(1):49. doi: 10.3390/molecules25010049.
纳米氧化铜与不同抗生素联合系统对大肠杆菌的作用及机制。
Nanomedicine (Lond). 2018 Feb;13(3):339-351. doi: 10.2217/nnm-2017-0290. Epub 2018 Jan 17.
4
Review of antibiotic resistance in China and its environment.中国抗生素耐药性及其环境综述。
Environ Int. 2018 Jan;110:160-172. doi: 10.1016/j.envint.2017.10.016. Epub 2017 Oct 27.
5
Zinc oxide nanoparticles: a promising nanomaterial for biomedical applications.氧化锌纳米颗粒:一种有前途的用于生物医学应用的纳米材料。
Drug Discov Today. 2017 Dec;22(12):1825-1834. doi: 10.1016/j.drudis.2017.08.006. Epub 2017 Aug 25.
6
Synergistic antibacterial effect of silver and ebselen against multidrug-resistant Gram-negative bacterial infections.银和依布硒啉对多重耐药革兰氏阴性菌感染的协同抗菌作用。
EMBO Mol Med. 2017 Aug;9(8):1165-1178. doi: 10.15252/emmm.201707661.
7
Biomimetic synthesis of AgPO-NPs/Cu-NWs with visible-light-enhanced photocatalytic activity for degradation of the antibiotic ciprofloxacin.具有可见光增强光催化活性的 AgPO-NPs/Cu-NWs 的仿生合成及其用于降解抗生素环丙沙星。
Dalton Trans. 2017 May 16;46(19):6425-6432. doi: 10.1039/c6dt04656h.
8
The antimicrobial activity of nanoparticles: present situation and prospects for the future.纳米颗粒的抗菌活性:现状与未来展望。
Int J Nanomedicine. 2017 Feb 14;12:1227-1249. doi: 10.2147/IJN.S121956. eCollection 2017.
9
CMC stabilized nano silver synthesis, characterization and its antibacterial and synergistic effect with broad spectrum antibiotics.CMC 稳定纳米银的合成、表征及其与广谱抗生素的协同抗菌作用。
Carbohydr Polym. 2017 Feb 20;158:141-148. doi: 10.1016/j.carbpol.2016.11.083. Epub 2016 Nov 29.
10
Synergistic antibacterial effect of BiS nanospheres combined with ineffective antibiotic gentamicin against methicillin-resistant Staphylococcus aureus.BiS纳米球与无效抗生素庆大霉素联合对耐甲氧西林金黄色葡萄球菌的协同抗菌作用。
J Inorg Biochem. 2017 Mar;168:38-45. doi: 10.1016/j.jinorgbio.2016.12.005. Epub 2016 Dec 10.