• 文献检索
  • 文档翻译
  • 深度研究
  • 学术资讯
  • Suppr Zotero 插件Zotero 插件
  • 邀请有礼
  • 套餐&价格
  • 历史记录
应用&插件
Suppr Zotero 插件Zotero 插件浏览器插件Mac 客户端Windows 客户端微信小程序
定价
高级版会员购买积分包购买API积分包
服务
文献检索文档翻译深度研究API 文档MCP 服务
关于我们
关于 Suppr公司介绍联系我们用户协议隐私条款
关注我们

Suppr 超能文献

核心技术专利:CN118964589B侵权必究
粤ICP备2023148730 号-1Suppr @ 2026

文献检索

告别复杂PubMed语法,用中文像聊天一样搜索,搜遍4000万医学文献。AI智能推荐,让科研检索更轻松。

立即免费搜索

文件翻译

保留排版,准确专业,支持PDF/Word/PPT等文件格式,支持 12+语言互译。

免费翻译文档

深度研究

AI帮你快速写综述,25分钟生成高质量综述,智能提取关键信息,辅助科研写作。

立即免费体验

同一家系全基因组关联分析可减少直接遗传效应估计的偏差。

Within-sibship genome-wide association analyses decrease bias in estimates of direct genetic effects.

机构信息

Medical Research Council Integrative Epidemiology Unit at the University of Bristol, Bristol, UK.

Population Health Sciences, Bristol Medical School, University of Bristol, Bristol, UK.

出版信息

Nat Genet. 2022 May;54(5):581-592. doi: 10.1038/s41588-022-01062-7. Epub 2022 May 9.

DOI:10.1038/s41588-022-01062-7
PMID:35534559
原文链接:https://pmc.ncbi.nlm.nih.gov/articles/PMC9110300/
Abstract

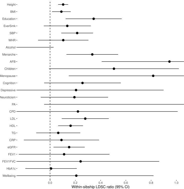
Estimates from genome-wide association studies (GWAS) of unrelated individuals capture effects of inherited variation (direct effects), demography (population stratification, assortative mating) and relatives (indirect genetic effects). Family-based GWAS designs can control for demographic and indirect genetic effects, but large-scale family datasets have been lacking. We combined data from 178,086 siblings from 19 cohorts to generate population (between-family) and within-sibship (within-family) GWAS estimates for 25 phenotypes. Within-sibship GWAS estimates were smaller than population estimates for height, educational attainment, age at first birth, number of children, cognitive ability, depressive symptoms and smoking. Some differences were observed in downstream SNP heritability, genetic correlations and Mendelian randomization analyses. For example, the within-sibship genetic correlation between educational attainment and body mass index attenuated towards zero. In contrast, analyses of most molecular phenotypes (for example, low-density lipoprotein-cholesterol) were generally consistent. We also found within-sibship evidence of polygenic adaptation on taller height. Here, we illustrate the importance of family-based GWAS data for phenotypes influenced by demographic and indirect genetic effects.

摘要

全基因组关联研究(GWAS)对无关联个体的估计捕获了遗传变异(直接效应)、人口统计学(群体分层、交配选择)和亲属(间接遗传效应)的影响。基于家庭的 GWAS 设计可以控制人口统计学和间接遗传效应,但缺乏大规模的家庭数据集。我们结合了来自 19 个队列的 178086 对兄弟姐妹的数据,为 25 种表型生成了群体(家系间)和家系内(家系内)GWAS 估计值。在家系内的 GWAS 估计值比身高、教育程度、首次生育年龄、子女数量、认知能力、抑郁症状和吸烟等表型的群体估计值小。在下游 SNP 遗传力、遗传相关性和孟德尔随机化分析中观察到一些差异。例如,教育程度和体重指数之间的家系内遗传相关性趋于零。相比之下,对大多数分子表型(例如,低密度脂蛋白胆固醇)的分析通常是一致的。我们还在家系内发现了更高身高的多基因适应的证据。在这里,我们说明了受人口统计学和间接遗传效应影响的表型的基于家庭的 GWAS 数据的重要性。

https://cdn.ncbi.nlm.nih.gov/pmc/blobs/fc0b/9110300/a7d22f3f32f4/41588_2022_1062_Fig16_ESM.jpg
https://cdn.ncbi.nlm.nih.gov/pmc/blobs/fc0b/9110300/baa1c87faafa/41588_2022_1062_Fig1_HTML.jpg
https://cdn.ncbi.nlm.nih.gov/pmc/blobs/fc0b/9110300/105e85363b8a/41588_2022_1062_Fig2_HTML.jpg
https://cdn.ncbi.nlm.nih.gov/pmc/blobs/fc0b/9110300/ca91efb81c81/41588_2022_1062_Fig3_HTML.jpg
https://cdn.ncbi.nlm.nih.gov/pmc/blobs/fc0b/9110300/4d9ba77a89a2/41588_2022_1062_Fig4_HTML.jpg
https://cdn.ncbi.nlm.nih.gov/pmc/blobs/fc0b/9110300/b49c788bff05/41588_2022_1062_Fig5_HTML.jpg
https://cdn.ncbi.nlm.nih.gov/pmc/blobs/fc0b/9110300/14911008e9b4/41588_2022_1062_Fig6_HTML.jpg
https://cdn.ncbi.nlm.nih.gov/pmc/blobs/fc0b/9110300/b01c6e17e0b5/41588_2022_1062_Fig7_HTML.jpg
https://cdn.ncbi.nlm.nih.gov/pmc/blobs/fc0b/9110300/14b147527581/41588_2022_1062_Fig8_ESM.jpg
https://cdn.ncbi.nlm.nih.gov/pmc/blobs/fc0b/9110300/6849a5b32f3c/41588_2022_1062_Fig9_ESM.jpg
https://cdn.ncbi.nlm.nih.gov/pmc/blobs/fc0b/9110300/50eb3a225b24/41588_2022_1062_Fig10_ESM.jpg
https://cdn.ncbi.nlm.nih.gov/pmc/blobs/fc0b/9110300/8ee7d0e3eda9/41588_2022_1062_Fig11_ESM.jpg
https://cdn.ncbi.nlm.nih.gov/pmc/blobs/fc0b/9110300/3b0476f21104/41588_2022_1062_Fig12_ESM.jpg
https://cdn.ncbi.nlm.nih.gov/pmc/blobs/fc0b/9110300/4d72327117e9/41588_2022_1062_Fig13_ESM.jpg
https://cdn.ncbi.nlm.nih.gov/pmc/blobs/fc0b/9110300/e15f8ffbcdca/41588_2022_1062_Fig14_ESM.jpg
https://cdn.ncbi.nlm.nih.gov/pmc/blobs/fc0b/9110300/916652fea0ba/41588_2022_1062_Fig15_ESM.jpg
https://cdn.ncbi.nlm.nih.gov/pmc/blobs/fc0b/9110300/a7d22f3f32f4/41588_2022_1062_Fig16_ESM.jpg
https://cdn.ncbi.nlm.nih.gov/pmc/blobs/fc0b/9110300/baa1c87faafa/41588_2022_1062_Fig1_HTML.jpg
https://cdn.ncbi.nlm.nih.gov/pmc/blobs/fc0b/9110300/105e85363b8a/41588_2022_1062_Fig2_HTML.jpg
https://cdn.ncbi.nlm.nih.gov/pmc/blobs/fc0b/9110300/ca91efb81c81/41588_2022_1062_Fig3_HTML.jpg
https://cdn.ncbi.nlm.nih.gov/pmc/blobs/fc0b/9110300/4d9ba77a89a2/41588_2022_1062_Fig4_HTML.jpg
https://cdn.ncbi.nlm.nih.gov/pmc/blobs/fc0b/9110300/b49c788bff05/41588_2022_1062_Fig5_HTML.jpg
https://cdn.ncbi.nlm.nih.gov/pmc/blobs/fc0b/9110300/14911008e9b4/41588_2022_1062_Fig6_HTML.jpg
https://cdn.ncbi.nlm.nih.gov/pmc/blobs/fc0b/9110300/b01c6e17e0b5/41588_2022_1062_Fig7_HTML.jpg
https://cdn.ncbi.nlm.nih.gov/pmc/blobs/fc0b/9110300/14b147527581/41588_2022_1062_Fig8_ESM.jpg
https://cdn.ncbi.nlm.nih.gov/pmc/blobs/fc0b/9110300/6849a5b32f3c/41588_2022_1062_Fig9_ESM.jpg
https://cdn.ncbi.nlm.nih.gov/pmc/blobs/fc0b/9110300/50eb3a225b24/41588_2022_1062_Fig10_ESM.jpg
https://cdn.ncbi.nlm.nih.gov/pmc/blobs/fc0b/9110300/8ee7d0e3eda9/41588_2022_1062_Fig11_ESM.jpg
https://cdn.ncbi.nlm.nih.gov/pmc/blobs/fc0b/9110300/3b0476f21104/41588_2022_1062_Fig12_ESM.jpg
https://cdn.ncbi.nlm.nih.gov/pmc/blobs/fc0b/9110300/4d72327117e9/41588_2022_1062_Fig13_ESM.jpg
https://cdn.ncbi.nlm.nih.gov/pmc/blobs/fc0b/9110300/e15f8ffbcdca/41588_2022_1062_Fig14_ESM.jpg
https://cdn.ncbi.nlm.nih.gov/pmc/blobs/fc0b/9110300/916652fea0ba/41588_2022_1062_Fig15_ESM.jpg
https://cdn.ncbi.nlm.nih.gov/pmc/blobs/fc0b/9110300/a7d22f3f32f4/41588_2022_1062_Fig16_ESM.jpg

相似文献

1
Within-sibship genome-wide association analyses decrease bias in estimates of direct genetic effects.同一家系全基因组关联分析可减少直接遗传效应估计的偏差。
Nat Genet. 2022 May;54(5):581-592. doi: 10.1038/s41588-022-01062-7. Epub 2022 May 9.
2
Educational attainment, health outcomes and mortality: a within-sibship Mendelian randomization study.教育程度、健康结果和死亡率:同卵双生子孟德尔随机化研究。
Int J Epidemiol. 2023 Oct 5;52(5):1579-1591. doi: 10.1093/ije/dyad079.
3
Taller height and risk of coronary heart disease and cancer: A within-sibship Mendelian randomization study.个子高与冠心病和癌症风险:一项基于同胞对的孟德尔随机化研究。
Elife. 2022 Mar 18;11:e72984. doi: 10.7554/eLife.72984.
4
Interpreting population- and family-based genome-wide association studies in the presence of confounding.在存在混杂的情况下解释基于人群和家庭的全基因组关联研究。
PLoS Biol. 2024 Apr 11;22(4):e3002511. doi: 10.1371/journal.pbio.3002511. eCollection 2024 Apr.
5
GWIS: Genome-Wide Inferred Statistics for Functions of Multiple Phenotypes.GWIS:多表型功能的全基因组推断统计量
Am J Hum Genet. 2016 Oct 6;99(4):917-927. doi: 10.1016/j.ajhg.2016.07.020. Epub 2016 Sep 8.
6
Avoiding dynastic, assortative mating, and population stratification biases in Mendelian randomization through within-family analyses.通过家系内分析避免孟德尔随机化中的家族性、选择性交配和群体分层偏倚。
Nat Commun. 2020 Jul 14;11(1):3519. doi: 10.1038/s41467-020-17117-4.
7
Estimating genetic nurture with summary statistics of multigenerational genome-wide association studies.利用多世代全基因组关联研究的汇总统计数据估计遗传教养。
Proc Natl Acad Sci U S A. 2021 Jun 22;118(25). doi: 10.1073/pnas.2023184118.
8
Examining socioeconomic differences in sepsis risk and mediation by modifiable factors: a Mendelian randomization study.探讨脓毒症风险中的社会经济差异以及可改变因素的中介作用:一项孟德尔随机化研究。
BMC Infect Dis. 2025 May 23;25(1):739. doi: 10.1186/s12879-025-11130-y.
9
GWAS meta-analysis reveals novel loci and genetic correlates for general cognitive function: a report from the COGENT consortium.全基因组关联研究荟萃分析揭示了一般认知功能的新基因座和遗传关联:COGENT联盟的报告
Mol Psychiatry. 2017 Mar;22(3):336-345. doi: 10.1038/mp.2016.244. Epub 2017 Jan 17.
10
Polygenic prediction of educational attainment within and between families from genome-wide association analyses in 3 million individuals.在 300 万人的全基因组关联分析中,对家庭内和家庭间的受教育程度进行多基因预测。
Nat Genet. 2022 Apr;54(4):437-449. doi: 10.1038/s41588-022-01016-z. Epub 2022 Mar 31.

引用本文的文献

1
Genetic nurture effects in depressive and anxiety disorders and symptoms, and in related traits.抑郁和焦虑症及症状以及相关特质中的遗传养育效应。
Mol Psychiatry. 2025 Sep 19. doi: 10.1038/s41380-025-03265-w.
2
Separating direct, indirect and parent-of-origin genetic effects in the human population.区分人类群体中的直接、间接和源自亲代的遗传效应。
bioRxiv. 2025 Aug 27:2025.04.28.650988. doi: 10.1101/2025.04.28.650988.
3
Recent findings and future directions for the intersection of genetic and environmental contributions to schizophrenia.

本文引用的文献

1
The HUNT study: A population-based cohort for genetic research.HUNT研究:一项基于人群的基因研究队列。
Cell Genom. 2022 Oct 12;2(10):100193. doi: 10.1016/j.xgen.2022.100193.
2
Phenotypic covariance across the entire spectrum of relatedness for 86 billion pairs of individuals.860 亿对个体间全相关谱的表型协方差。
Nat Commun. 2021 Feb 16;12(1):1050. doi: 10.1038/s41467-021-21283-4.
3
Estimation of Parental Effects Using Polygenic Scores.利用多基因分数估计父母效应。
遗传因素与环境因素共同作用于精神分裂症的最新研究发现及未来方向
Genom Psychiatry. 2025 May 1;1(3):17-21. doi: 10.61373/gp024v.0055. Epub 2024 Aug 7.
4
Association between Sarcopenia-related traits and depression: an observational and Mendelian randomization analysis.肌少症相关特征与抑郁症之间的关联:一项观察性和孟德尔随机化分析。
Eur Arch Psychiatry Clin Neurosci. 2025 Aug 14. doi: 10.1007/s00406-025-02091-z.
5
The association between parental BMI and offspring adiposity: A genetically informed analysis of trios.父母体重指数与后代肥胖之间的关联:对三人组的遗传信息分析。
PLoS Genet. 2025 Aug 5;21(8):e1011775. doi: 10.1371/journal.pgen.1011775. eCollection 2025 Aug.
6
Estimating effects of serum vitamin B12 levels on psychiatric disorders and cognitive impairment: a Mendelian randomization study.评估血清维生素B12水平对精神障碍和认知障碍的影响:一项孟德尔随机化研究。
Commun Med (Lond). 2025 Jul 30;5(1):316. doi: 10.1038/s43856-025-01043-x.
7
The causal association between insomnia and cognitive decline: A 2-sample, 2-step multivariable Mendelian randomization study.失眠与认知能力下降之间的因果关联:一项双样本、两步多变量孟德尔随机化研究。
Medicine (Baltimore). 2025 Jul 18;104(29):e43417. doi: 10.1097/MD.0000000000043417.
8
Lifespan investigation of brain volumetric changes associated with substance use disorders.与物质使用障碍相关的脑容量变化的寿命期研究。
Res Sq. 2025 Jun 26:rs.3.rs-6864753. doi: 10.21203/rs.3.rs-6864753/v1.
9
On the relationship between genes and environment.论基因与环境之间的关系。
Proc Natl Acad Sci U S A. 2025 Jul;122(26):e2510804122. doi: 10.1073/pnas.2510804122. Epub 2025 Jun 13.
10
Reply to Hirbo et al.: The need for large-scale family cohorts and robust analytical frameworks of postexome study.对希尔博等人的回复:外显子组研究需要大规模家系队列和强大的分析框架。
Proc Natl Acad Sci U S A. 2025 Jul;122(26):e2511041122. doi: 10.1073/pnas.2511041122. Epub 2025 Jun 13.
Behav Genet. 2021 May;51(3):264-278. doi: 10.1007/s10519-020-10032-w. Epub 2021 Jan 2.
4
Estimating indirect parental genetic effects on offspring phenotypes using virtual parental genotypes derived from sibling and half sibling pairs.利用来自同胞和半同胞对的虚拟亲本质型估计后代表型的间接父母遗传效应。
PLoS Genet. 2020 Oct 26;16(10):e1009154. doi: 10.1371/journal.pgen.1009154. eCollection 2020 Oct.
5
Genetic nurturing, missing heritability, and causal analysis in genetic statistics.遗传养育、遗传缺失与遗传统计中的因果分析。
Proc Natl Acad Sci U S A. 2020 Oct 13;117(41):25646-25654. doi: 10.1073/pnas.2015869117. Epub 2020 Sep 28.
6
Genetic and environmental variation in educational attainment: an individual-based analysis of 28 twin cohorts.教育程度的遗传和环境变异:28 个双胞胎队列的个体基础分析。
Sci Rep. 2020 Jul 29;10(1):12681. doi: 10.1038/s41598-020-69526-6.
7
Avoiding dynastic, assortative mating, and population stratification biases in Mendelian randomization through within-family analyses.通过家系内分析避免孟德尔随机化中的家族性、选择性交配和群体分层偏倚。
Nat Commun. 2020 Jul 14;11(1):3519. doi: 10.1038/s41467-020-17117-4.
8
Evidence of Polygenic Adaptation in Sardinia at Height-Associated Loci Ascertained from the Biobank Japan.生物银行日本对身高相关位点的多基因适应证据。
Am J Hum Genet. 2020 Jul 2;107(1):60-71. doi: 10.1016/j.ajhg.2020.05.014. Epub 2020 Jun 12.
9
Population phenomena inflate genetic associations of complex social traits.人口现象夸大了复杂社会特征的遗传关联。
Sci Adv. 2020 Apr 15;6(16):eaay0328. doi: 10.1126/sciadv.aay0328. eCollection 2020 Apr.
10
Variable prediction accuracy of polygenic scores within an ancestry group.群体内多基因评分的预测准确性存在差异。
Elife. 2020 Jan 30;9:e48376. doi: 10.7554/eLife.48376.