Department of Molecular Biology and Biochemistry, Simon Fraser University, Burnaby, BC, Canada.
Institute of Microbiology, Lausanne University Hospital and University of Lausanne, 1011 Lausanne, Switzerland.
Microb Genom. 2022 May;8(5). doi: 10.1099/mgen.0.000818.
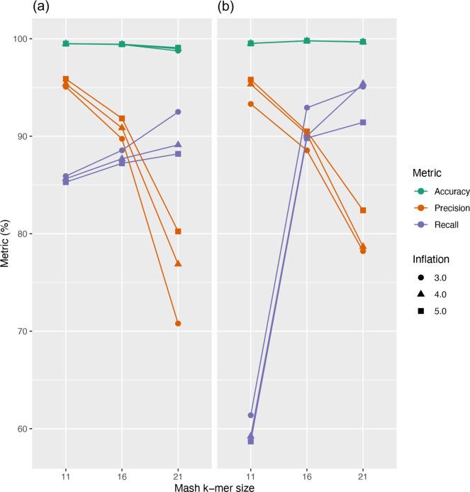
Outbreaks of virulent and/or drug-resistant bacteria have a significant impact on human health and major economic consequences. Genomic islands (GIs; defined as clusters of genes of probable horizontal origin) are of high interest because they disproportionately encode virulence factors, some antimicrobial-resistance (AMR) genes, and other adaptations of medical or environmental interest. While microbial genome sequencing has become rapid and inexpensive, current computational methods for GI analysis are not amenable for rapid, accurate, user-friendly and scalable comparative analysis of sets of related genomes. To help fill this gap, we have developed IslandCompare, an open-source computational pipeline for GI prediction and comparison across several to hundreds of bacterial genomes. A dynamic and interactive visualization strategy displays a bacterial core-genome phylogeny, with bacterial genomes linearly displayed at the phylogenetic tree leaves. Genomes are overlaid with GI predictions and AMR determinants from the Comprehensive Antibiotic Resistance Database (CARD), and regions of similarity between the genomes are also displayed. GI predictions are performed using Sigi-HMM and IslandPath-DIMOB, the two most precise GI prediction tools based on nucleotide composition biases, as well as a novel blast-based consistency step to improve cross-genome prediction consistency. GIs across genomes sharing sequence similarity are grouped into clusters, further aiding comparative analysis and visualization of acquisition and loss of mobile GIs in specific sub-clades. IslandCompare is an open-source software that is containerized for local use, plus available via a user-friendly, web-based interface to allow direct use by bioinformaticians, biologists and clinicians (at https://islandcompare.ca).
毒力强和/或耐药细菌的爆发对人类健康和重大经济后果有重大影响。基因组岛(GI;定义为可能具有水平起源的基因簇)非常有趣,因为它们不成比例地编码毒力因子、一些抗生素耐药(AMR)基因以及其他与医学或环境相关的适应性。虽然微生物基因组测序变得快速且廉价,但目前用于 GI 分析的计算方法不适合快速、准确、用户友好和可扩展地对多组相关基因组进行比较分析。为了帮助填补这一空白,我们开发了 IslandCompare,这是一个用于在数百个细菌基因组中进行 GI 预测和比较的开源计算管道。一种动态和交互式可视化策略显示了细菌核心基因组的系统发育,细菌基因组在线性显示在系统发育树的叶上。基因组上覆盖有来自全面抗生素耐药数据库(CARD)的 GI 预测和 AMR 决定因素,并且还显示了基因组之间的相似区域。使用 Sigi-HMM 和 IslandPath-DIMOB 进行 GI 预测,这是基于核苷酸组成偏差的两种最精确的 GI 预测工具,以及一种新颖的基于 Blast 的一致性步骤,以提高跨基因组预测的一致性。具有序列相似性的基因组之间的 GI 被分组到簇中,这进一步有助于比较分析和可视化特定亚群中移动 GI 的获得和丧失。IslandCompare 是一个开源软件,可用于本地容器化,并且可通过用户友好的基于 Web 的界面直接供生物信息学家、生物学家和临床医生使用(网址为 https://islandcompare.ca)。