• 文献检索
  • 文档翻译
  • 深度研究
  • 学术资讯
  • Suppr Zotero 插件Zotero 插件
  • 邀请有礼
  • 套餐&价格
  • 历史记录
应用&插件
Suppr Zotero 插件Zotero 插件浏览器插件Mac 客户端Windows 客户端微信小程序
定价
高级版会员购买积分包购买API积分包
服务
文献检索文档翻译深度研究API 文档MCP 服务
关于我们
关于 Suppr公司介绍联系我们用户协议隐私条款
关注我们

Suppr 超能文献

核心技术专利:CN118964589B侵权必究
粤ICP备2023148730 号-1Suppr @ 2026

文献检索

告别复杂PubMed语法,用中文像聊天一样搜索,搜遍4000万医学文献。AI智能推荐,让科研检索更轻松。

立即免费搜索

文件翻译

保留排版,准确专业,支持PDF/Word/PPT等文件格式,支持 12+语言互译。

免费翻译文档

深度研究

AI帮你快速写综述,25分钟生成高质量综述,智能提取关键信息,辅助科研写作。

立即免费体验

应用约束基建模技术研究东方伊萨酵母的有机酸生成潜力和生长偶联策略。

Examining organic acid production potential and growth-coupled strategies in Issatchenkia orientalis using constraint-based modeling.

机构信息

Department of Chemical Engineering, The Pennsylvania State University, University Park, Pennsylvania, USA.

Center for Advanced Bioenergy and Bioproducts Innovation, The Pennsylvania State University, University Park, Pennsylvania, USA.

出版信息

Biotechnol Prog. 2022 Sep;38(5):e3276. doi: 10.1002/btpr.3276. Epub 2022 Jun 28.

DOI:10.1002/btpr.3276
PMID:35603544
原文链接:https://pmc.ncbi.nlm.nih.gov/articles/PMC9786923/
Abstract

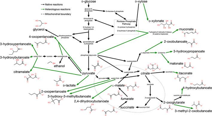
Growth-coupling product formation can facilitate strain stability by aligning industrial objectives with biological fitness. Organic acids make up many building block chemicals that can be produced from sugars obtainable from renewable biomass. Issatchenkia orientalis is a yeast strain tolerant to acidic conditions and is thus a promising host for industrial production of organic acids. Here, we use constraint-based methods to assess the potential of computationally designing growth-coupled production strains for I. orientalis that produce 22 different organic acids under aerobic or microaerobic conditions. We explore native and engineered pathways using glucose or xylose as the carbon substrates as proxy constituents of hydrolyzed biomass. We identified growth-coupled production strategies for 37 of the substrate-product pairs, with 15 pairs achieving production for any growth rate. We systematically assess the strain design solutions and categorize the underlying principles involved.

摘要

生长偶联产物的形成可以通过将工业目标与生物适应性相协调来促进菌株的稳定性。有机酸是许多构建块化学品的组成部分,可以从可再生生物质中获得的糖中生产出来。东方伊萨酵母(Issatchenkia orientalis)是一种耐受酸性条件的酵母菌株,因此是工业生产有机酸的有前途的宿主。在这里,我们使用基于约束的方法来评估在有氧或微氧条件下,通过计算设计生产 22 种不同有机酸的东方伊萨酵母的生长偶联生产菌株的潜力。我们使用葡萄糖或木糖作为碳底物来探索天然和工程化途径,作为水解生物质的代表性成分。我们确定了 37 对底物-产物对的生长偶联生产策略,其中 15 对在任何生长速率下都能实现生产。我们系统地评估了菌株设计方案,并对所涉及的基本原则进行了分类。

https://cdn.ncbi.nlm.nih.gov/pmc/blobs/47f1/9786923/121267d8aafa/BTPR-38-e3276-g001.jpg
https://cdn.ncbi.nlm.nih.gov/pmc/blobs/47f1/9786923/9433627f6d74/BTPR-38-e3276-g003.jpg
https://cdn.ncbi.nlm.nih.gov/pmc/blobs/47f1/9786923/ff6d00c3156e/BTPR-38-e3276-g002.jpg
https://cdn.ncbi.nlm.nih.gov/pmc/blobs/47f1/9786923/820d8b0d8d0f/BTPR-38-e3276-g004.jpg
https://cdn.ncbi.nlm.nih.gov/pmc/blobs/47f1/9786923/121267d8aafa/BTPR-38-e3276-g001.jpg
https://cdn.ncbi.nlm.nih.gov/pmc/blobs/47f1/9786923/9433627f6d74/BTPR-38-e3276-g003.jpg
https://cdn.ncbi.nlm.nih.gov/pmc/blobs/47f1/9786923/ff6d00c3156e/BTPR-38-e3276-g002.jpg
https://cdn.ncbi.nlm.nih.gov/pmc/blobs/47f1/9786923/820d8b0d8d0f/BTPR-38-e3276-g004.jpg
https://cdn.ncbi.nlm.nih.gov/pmc/blobs/47f1/9786923/121267d8aafa/BTPR-38-e3276-g001.jpg

相似文献

1
Examining organic acid production potential and growth-coupled strategies in Issatchenkia orientalis using constraint-based modeling.应用约束基建模技术研究东方伊萨酵母的有机酸生成潜力和生长偶联策略。
Biotechnol Prog. 2022 Sep;38(5):e3276. doi: 10.1002/btpr.3276. Epub 2022 Jun 28.
2
Self-Buffering system for Cost-Effective production of lactic acid from glucose and xylose using Acid-Tolerant Issatchenkia orientalis.利用耐酸东方伊萨酵母从葡萄糖和木糖高效生产乳酸的自缓冲系统。
Bioresour Technol. 2024 May;399:130641. doi: 10.1016/j.biortech.2024.130641. Epub 2024 Mar 27.
3
Cas9-Based Metabolic Engineering of for Enhanced Utilization of Cellulosic Hydrolysates.基于 Cas9 的代谢工程改造 以增强对纤维素水解物的利用。
J Agric Food Chem. 2022 Sep 28;70(38):12085-12094. doi: 10.1021/acs.jafc.2c04251. Epub 2022 Sep 14.
4
Genome-scale metabolic reconstruction of the non-model yeast SD108 and its application to organic acids production.非模式酵母SD108的基因组规模代谢重建及其在有机酸生产中的应用。
Metab Eng Commun. 2020 Oct 8;11:e00148. doi: 10.1016/j.mec.2020.e00148. eCollection 2020 Dec.
5
Evolutionary engineering of Saccharomyces cerevisiae for efficient aerobic xylose consumption.酿酒酵母有氧木糖消耗的进化工程。
FEMS Yeast Res. 2012 Aug;12(5):582-97. doi: 10.1111/j.1567-1364.2012.00808.x. Epub 2012 Apr 30.
6
Strain engineering of Saccharomyces cerevisiae for enhanced xylose metabolism.通过应变工程改造酿酒酵母以增强木糖代谢。
Biotechnol Adv. 2013 Nov;31(6):851-61. doi: 10.1016/j.biotechadv.2013.03.004. Epub 2013 Mar 21.
7
A genetic toolbox for metabolic engineering of Issatchenkia orientalis.用于东方伊萨酵母代谢工程的遗传工具包。
Metab Eng. 2020 May;59:87-97. doi: 10.1016/j.ymben.2020.01.005. Epub 2020 Jan 31.
8
In-situ muconic acid extraction reveals sugar consumption bottleneck in a xylose-utilizing Saccharomyces cerevisiae strain.原位黏康酸提取揭示了一株利用木糖的酿酒酵母菌株中糖消耗的瓶颈。
Microb Cell Fact. 2021 Jun 7;20(1):114. doi: 10.1186/s12934-021-01594-3.
9
Metabolic engineering of Saccharomyces cerevisiae to produce 1-hexadecanol from xylose.酿酒酵母的代谢工程改造以从木糖生产十六烷醇。
Microb Cell Fact. 2016 Feb 1;15:24. doi: 10.1186/s12934-016-0423-9.
10
L-Lactic acid production from glucose and xylose with engineered strains of Saccharomyces cerevisiae: aeration and carbon source influence yields and productivities.利用工程化酿酒酵母菌株从葡萄糖和木糖生产 L-乳酸:通气和碳源对产率和生产力的影响。
Microb Cell Fact. 2018 Apr 11;17(1):59. doi: 10.1186/s12934-018-0905-z.

引用本文的文献

1
Comparison of stress tolerance mechanisms between Saccharomyces cerevisiae and the multistress-tolerant Pichia kudriavzevii.酿酒酵母与多胁迫耐受型库德里阿兹毕赤酵母之间胁迫耐受机制的比较。
FEMS Yeast Res. 2025 Jan 30;25. doi: 10.1093/femsyr/foaf024.
2
Recent advances in genetic engineering and chemical production in yeast species.酵母物种在基因工程和化学生产方面的最新进展。
FEMS Yeast Res. 2025 Jan 30;25. doi: 10.1093/femsyr/foaf009.

本文引用的文献

1
Recent Advances in Lactic Acid Production by Lactic Acid Bacteria.近年来乳酸菌生产乳酸的研究进展。
Appl Biochem Biotechnol. 2021 Dec;193(12):4151-4171. doi: 10.1007/s12010-021-03672-z. Epub 2021 Sep 14.
2
Systematizing the different notions of growth-coupled product synthesis and a single framework for computing corresponding strain designs.将不同的与生长相关的产物合成概念系统化,并为计算相应的菌株设计提供一个单一的框架。
Biotechnol J. 2021 Dec;16(12):e2100236. doi: 10.1002/biot.202100236. Epub 2021 Oct 18.
3
A genome-scale metabolic model of Saccharomyces cerevisiae that integrates expression constraints and reaction thermodynamics.
酿酒酵母基于表达约束和反应热力学整合的基因组代谢模型
Nat Commun. 2021 Aug 9;12(1):4790. doi: 10.1038/s41467-021-25158-6.
4
Hypergraph models of biological networks to identify genes critical to pathogenic viral response.生物网络的超图模型,以鉴定对致病病毒反应至关重要的基因。
BMC Bioinformatics. 2021 May 29;22(1):287. doi: 10.1186/s12859-021-04197-2.
5
Recent advances in constraint and machine learning-based metabolic modeling by leveraging stoichiometric balances, thermodynamic feasibility and kinetic law formalisms.利用化学计量平衡、热力学可行性和动力学规律形式化,在约束和基于机器学习的代谢建模方面的最新进展。
Metab Eng. 2021 Jan;63:13-33. doi: 10.1016/j.ymben.2020.11.013. Epub 2020 Dec 10.
6
Genome-scale metabolic reconstruction of the non-model yeast SD108 and its application to organic acids production.非模式酵母SD108的基因组规模代谢重建及其在有机酸生产中的应用。
Metab Eng Commun. 2020 Oct 8;11:e00148. doi: 10.1016/j.mec.2020.e00148. eCollection 2020 Dec.
7
Evaluation of pyruvate decarboxylase-negative strains for the production of succinic acid.用于琥珀酸生产的丙酮酸脱羧酶阴性菌株的评估。
Eng Life Sci. 2019 Aug 29;19(10):711-720. doi: 10.1002/elsc.201900080. eCollection 2019 Oct.
8
A genetic toolbox for metabolic engineering of Issatchenkia orientalis.用于东方伊萨酵母代谢工程的遗传工具包。
Metab Eng. 2020 May;59:87-97. doi: 10.1016/j.ymben.2020.01.005. Epub 2020 Jan 31.
9
Pathway construction and metabolic engineering for fermentative production of β-alanine in Escherichia coli.在大肠杆菌中发酵生产β-丙氨酸的途径构建和代谢工程。
Appl Microbiol Biotechnol. 2020 Mar;104(6):2545-2559. doi: 10.1007/s00253-020-10359-8. Epub 2020 Jan 27.
10
BiGG Models 2020: multi-strain genome-scale models and expansion across the phylogenetic tree.BiGG Models 2020:多菌株基因组规模模型和系统发育树扩展。
Nucleic Acids Res. 2020 Jan 8;48(D1):D402-D406. doi: 10.1093/nar/gkz1054.