• 文献检索
  • 文档翻译
  • 深度研究
  • 学术资讯
  • Suppr Zotero 插件Zotero 插件
  • 邀请有礼
  • 套餐&价格
  • 历史记录
应用&插件
Suppr Zotero 插件Zotero 插件浏览器插件Mac 客户端Windows 客户端微信小程序
定价
高级版会员购买积分包购买API积分包
服务
文献检索文档翻译深度研究API 文档MCP 服务
关于我们
关于 Suppr公司介绍联系我们用户协议隐私条款
关注我们

Suppr 超能文献

核心技术专利:CN118964589B侵权必究
粤ICP备2023148730 号-1Suppr @ 2026

文献检索

告别复杂PubMed语法,用中文像聊天一样搜索,搜遍4000万医学文献。AI智能推荐,让科研检索更轻松。

立即免费搜索

文件翻译

保留排版,准确专业,支持PDF/Word/PPT等文件格式,支持 12+语言互译。

免费翻译文档

深度研究

AI帮你快速写综述,25分钟生成高质量综述,智能提取关键信息,辅助科研写作。

立即免费体验

使用 fragility 包在 R 中评估和可视化二项结果临床结果的脆弱性。

Assessing and visualizing fragility of clinical results with binary outcomes in R using the fragility package.

机构信息

Department of Statistics, Florida State University, Tallahassee, FL, United States of America.

Statistical Research and Innovation, Global Biometrics and Data Management, Pfizer Inc., New York, NY, United States of America.

出版信息

PLoS One. 2022 Jun 1;17(6):e0268754. doi: 10.1371/journal.pone.0268754. eCollection 2022.

DOI:10.1371/journal.pone.0268754
PMID:35648746
原文链接:https://pmc.ncbi.nlm.nih.gov/articles/PMC9159630/
Abstract

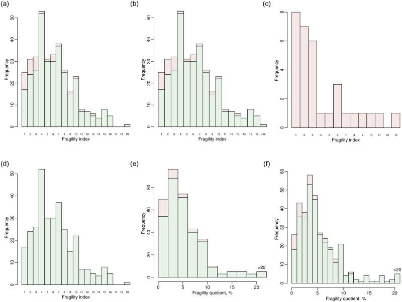
With the growing concerns about research reproducibility and replicability, the assessment of scientific results' fragility (or robustness) has been of increasing interest. The fragility index was proposed to quantify the robustness of statistical significance of clinical studies with binary outcomes. It is defined as the minimal event status modifications that can alter statistical significance. It helps clinicians evaluate the reliability of the conclusions. Many factors may affect the fragility index, including the treatment groups in which event status is modified, the statistical methods used for testing for the association between treatments and outcomes, and the pre-specified significance level. In addition to assessing the fragility of individual studies, the fragility index was recently extended to both conventional pairwise meta-analyses and network meta-analyses of multiple treatment comparisons. It is not straightforward for clinicians to calculate these measures and visualize the results. We have developed an R package called "fragility" to offer user-friendly functions for such purposes. This article provides an overview of methods for assessing and visualizing the fragility of individual studies as well as pairwise and network meta-analyses, introduces the usage of the "fragility" package, and illustrates the implementations with several worked examples.

摘要

随着人们对研究可重复性和可复制性的日益关注,对科学结果脆弱性(或稳健性)的评估越来越受到关注。脆弱指数被提出用于量化二分类结局的临床研究中统计显著性的稳健性。它定义为可以改变统计显著性的最小事件状态修改。它有助于临床医生评估结论的可靠性。许多因素可能会影响脆弱指数,包括修改事件状态的治疗组、用于检验治疗与结局之间关联的统计方法以及预先指定的显著性水平。除了评估单个研究的脆弱性外,脆弱指数最近还扩展到了多个治疗比较的常规成对荟萃分析和网络荟萃分析。对于临床医生来说,计算这些指标并可视化结果并不容易。我们开发了一个名为“fragility”的 R 包,为这些目的提供了用户友好的功能。本文概述了评估和可视化单个研究以及成对和网络荟萃分析脆弱性的方法,介绍了“fragility”包的用法,并通过几个示例说明了实现方法。

https://cdn.ncbi.nlm.nih.gov/pmc/blobs/0c20/9159630/1d98345b7992/pone.0268754.g012.jpg
https://cdn.ncbi.nlm.nih.gov/pmc/blobs/0c20/9159630/5ba18e8f6308/pone.0268754.g001.jpg
https://cdn.ncbi.nlm.nih.gov/pmc/blobs/0c20/9159630/bd39c493197c/pone.0268754.g002.jpg
https://cdn.ncbi.nlm.nih.gov/pmc/blobs/0c20/9159630/c0dc9a270b81/pone.0268754.g003.jpg
https://cdn.ncbi.nlm.nih.gov/pmc/blobs/0c20/9159630/b312b9819d52/pone.0268754.g004.jpg
https://cdn.ncbi.nlm.nih.gov/pmc/blobs/0c20/9159630/00b91ff7a188/pone.0268754.g005.jpg
https://cdn.ncbi.nlm.nih.gov/pmc/blobs/0c20/9159630/f7463d8ec203/pone.0268754.g006.jpg
https://cdn.ncbi.nlm.nih.gov/pmc/blobs/0c20/9159630/4ca501e45214/pone.0268754.g007.jpg
https://cdn.ncbi.nlm.nih.gov/pmc/blobs/0c20/9159630/081af67e3bc0/pone.0268754.g008.jpg
https://cdn.ncbi.nlm.nih.gov/pmc/blobs/0c20/9159630/c81b387e09cb/pone.0268754.g009.jpg
https://cdn.ncbi.nlm.nih.gov/pmc/blobs/0c20/9159630/b37a08466111/pone.0268754.g010.jpg
https://cdn.ncbi.nlm.nih.gov/pmc/blobs/0c20/9159630/7d5791152737/pone.0268754.g011.jpg
https://cdn.ncbi.nlm.nih.gov/pmc/blobs/0c20/9159630/1d98345b7992/pone.0268754.g012.jpg
https://cdn.ncbi.nlm.nih.gov/pmc/blobs/0c20/9159630/5ba18e8f6308/pone.0268754.g001.jpg
https://cdn.ncbi.nlm.nih.gov/pmc/blobs/0c20/9159630/bd39c493197c/pone.0268754.g002.jpg
https://cdn.ncbi.nlm.nih.gov/pmc/blobs/0c20/9159630/c0dc9a270b81/pone.0268754.g003.jpg
https://cdn.ncbi.nlm.nih.gov/pmc/blobs/0c20/9159630/b312b9819d52/pone.0268754.g004.jpg
https://cdn.ncbi.nlm.nih.gov/pmc/blobs/0c20/9159630/00b91ff7a188/pone.0268754.g005.jpg
https://cdn.ncbi.nlm.nih.gov/pmc/blobs/0c20/9159630/f7463d8ec203/pone.0268754.g006.jpg
https://cdn.ncbi.nlm.nih.gov/pmc/blobs/0c20/9159630/4ca501e45214/pone.0268754.g007.jpg
https://cdn.ncbi.nlm.nih.gov/pmc/blobs/0c20/9159630/081af67e3bc0/pone.0268754.g008.jpg
https://cdn.ncbi.nlm.nih.gov/pmc/blobs/0c20/9159630/c81b387e09cb/pone.0268754.g009.jpg
https://cdn.ncbi.nlm.nih.gov/pmc/blobs/0c20/9159630/b37a08466111/pone.0268754.g010.jpg
https://cdn.ncbi.nlm.nih.gov/pmc/blobs/0c20/9159630/7d5791152737/pone.0268754.g011.jpg
https://cdn.ncbi.nlm.nih.gov/pmc/blobs/0c20/9159630/1d98345b7992/pone.0268754.g012.jpg

相似文献

1
Assessing and visualizing fragility of clinical results with binary outcomes in R using the fragility package.使用 fragility 包在 R 中评估和可视化二项结果临床结果的脆弱性。
PLoS One. 2022 Jun 1;17(6):e0268754. doi: 10.1371/journal.pone.0268754. eCollection 2022.
2
Assessing the robustness of results from clinical trials and meta-analyses with the fragility index.评估临床试验和荟萃分析结果的稳健性:脆弱指数方法。
Am J Obstet Gynecol. 2023 Mar;228(3):276-282. doi: 10.1016/j.ajog.2022.08.053. Epub 2022 Sep 6.
3
Fragility index of network meta-analysis with application to smoking cessation data.网络荟萃分析的脆弱性指数及其在戒烟数据中的应用。
J Clin Epidemiol. 2020 Nov;127:29-39. doi: 10.1016/j.jclinepi.2020.07.003. Epub 2020 Jul 10.
4
Factors that impact fragility index and their visualizations.影响脆弱性指数的因素及其可视化。
J Eval Clin Pract. 2021 Apr;27(2):356-364. doi: 10.1111/jep.13428. Epub 2020 Jun 10.
5
Folic acid supplementation and malaria susceptibility and severity among people taking antifolate antimalarial drugs in endemic areas.在流行地区,服用抗叶酸抗疟药物的人群中,叶酸补充剂与疟疾易感性和严重程度的关系。
Cochrane Database Syst Rev. 2022 Feb 1;2(2022):CD014217. doi: 10.1002/14651858.CD014217.
6
The statistical significance of meta-analyses is frequently fragile: definition of a fragility index for meta-analyses.荟萃分析的统计学意义通常很脆弱:荟萃分析脆弱指数的定义。
J Clin Epidemiol. 2019 Jul;111:32-40. doi: 10.1016/j.jclinepi.2019.03.012. Epub 2019 Mar 30.
7
Empirical assessment of fragility index based on a large database of clinical studies in the Cochrane Library.基于 Cochrane 图书馆中大量临床研究数据库的脆性指数的实证评估。
J Eval Clin Pract. 2023 Mar;29(2):359-370. doi: 10.1111/jep.13787. Epub 2022 Nov 2.
8
The Robustness Index: Going Beyond Statistical Significance by Quantifying Fragility.稳健性指数:通过量化脆弱性超越统计显著性
Cureus. 2023 Aug 30;15(8):e44397. doi: 10.7759/cureus.44397. eCollection 2023 Aug.
9
Platelet-Rich Plasma Versus Alternative Injections for Osteoarthritis of the Knee: A Systematic Review and Statistical Fragility Index-Based Meta-analysis of Randomized Controlled Trials.富血小板血浆与膝关节骨关节炎其他注射治疗的比较:基于随机对照试验的系统评价和统计脆弱指数的荟萃分析。
Am J Sports Med. 2024 Oct;52(12):3147-3160. doi: 10.1177/03635465231224463. Epub 2024 Feb 29.
10
The future of Cochrane Neonatal.考克兰新生儿协作网的未来。
Early Hum Dev. 2020 Nov;150:105191. doi: 10.1016/j.earlhumdev.2020.105191. Epub 2020 Sep 12.

引用本文的文献

1
A scoping review on metrics to quantify reproducibility: a multitude of questions leads to a multitude of metrics.关于量化可重复性指标的范围综述:众多问题催生众多指标。
R Soc Open Sci. 2025 Jul 15;12(7):242076. doi: 10.1098/rsos.242076. eCollection 2025 Jul.
2
How Robust is the Evidence for Prehabilitation in Cancer Surgery?: A Systematic Review and Fragility Index Analysis.癌症手术术前康复的证据有多可靠?:一项系统评价与脆弱性指数分析
Ann Surg Oncol. 2025 Aug 21. doi: 10.1245/s10434-025-18138-3.
3
The Role of Double-Zero-Event Studies in Evidence Synthesis: Evaluating Robustness Using the Fragility Index.

本文引用的文献

1
A method for calculating the fragility index of continuous outcomes.一种计算连续结局脆弱指数的方法。
J Clin Epidemiol. 2021 Aug;136:20-25. doi: 10.1016/j.jclinepi.2021.02.023. Epub 2021 Mar 5.
2
Fragility index of network meta-analysis with application to smoking cessation data.网络荟萃分析的脆弱性指数及其在戒烟数据中的应用。
J Clin Epidemiol. 2020 Nov;127:29-39. doi: 10.1016/j.jclinepi.2020.07.003. Epub 2020 Jul 10.
3
Factors that impact fragility index and their visualizations.影响脆弱性指数的因素及其可视化。
双零事件研究在证据综合中的作用:使用脆弱性指数评估稳健性。
J Eval Clin Pract. 2025 Feb;31(1):e14301. doi: 10.1111/jep.14301.
4
Living alone predicts non-home discharge post elective hip arthroplasty: A matched-pair cohort study.独居预示着择期髋关节置换术后非居家出院:一项配对队列研究。
PLoS One. 2025 Jan 2;20(1):e0316024. doi: 10.1371/journal.pone.0316024. eCollection 2025.
5
Lupus nephritis randomised controlled trials: evidence gaps and under-represented groups.狼疮性肾炎随机对照试验:证据空白与代表性不足的群体
Lupus Sci Med. 2024 Dec 20;11(2):e001331. doi: 10.1136/lupus-2024-001331.
6
Robustness Assessment of Oncology Dose-Finding Trials Using the Modified Fragility Index.使用修正的脆弱性指数对肿瘤学剂量探索试验进行稳健性评估。
Cancers (Basel). 2024 Oct 17;16(20):3504. doi: 10.3390/cancers16203504.
7
Fragility analysis and systematic review of patellar resurfacing versus non-patellar resurfacing in total knee arthroplasty.全膝关节置换术中髌骨表面置换与非髌骨表面置换的脆弱性分析及系统评价
J Exp Orthop. 2024 Aug 6;11(3):e12113. doi: 10.1002/jeo2.12113. eCollection 2024 Jul.
8
Comprehensive analyses of mitophagy-related genes and mitophagy-related lncRNAs for patients with ovarian cancer.综合性分析卵巢癌患者的线粒体自噬相关基因和线粒体自噬相关长非编码 RNA。
BMC Womens Health. 2024 Jan 13;24(1):37. doi: 10.1186/s12905-023-02864-5.
9
Statistical Significance Versus Clinical Relevance: A Head-to-Head Comparison of the Fragility Index and Relative Risk Index.统计学显著性与临床相关性:脆弱性指数和相对风险指数的直接比较
Cureus. 2023 Oct 26;15(10):e47741. doi: 10.7759/cureus.47741. eCollection 2023 Oct.
10
Empirical assessment of fragility index based on a large database of clinical studies in the Cochrane Library.基于 Cochrane 图书馆中大量临床研究数据库的脆性指数的实证评估。
J Eval Clin Pract. 2023 Mar;29(2):359-370. doi: 10.1111/jep.13787. Epub 2022 Nov 2.
J Eval Clin Pract. 2021 Apr;27(2):356-364. doi: 10.1111/jep.13428. Epub 2020 Jun 10.
4
The fragility of trial results involves more than statistical significance alone.试验结果的脆弱性不仅仅涉及统计学意义。
J Clin Epidemiol. 2020 Aug;124:34-41. doi: 10.1016/j.jclinepi.2020.02.011. Epub 2020 Apr 13.
5
Discrepancies in meta-analyses answering the same clinical question were hard to explain: a meta-epidemiological study.Meta 分析对同一临床问题的回答存在差异:一项 meta 流行病学研究。
J Clin Epidemiol. 2020 Mar;119:47-56. doi: 10.1016/j.jclinepi.2019.11.015. Epub 2019 Nov 26.
6
Predictors of postoperative overall and severe complications after surgical treatment for endometrial cancer: The role of the fragility index.预测子宫内膜癌手术后总体和严重并发症的因素:脆弱指数的作用。
Int J Gynaecol Obstet. 2020 Feb;148(2):174-180. doi: 10.1002/ijgo.13020. Epub 2019 Nov 17.
7
A guide to prospective meta-analysis.前瞻性荟萃分析指南。
BMJ. 2019 Oct 9;367:l5342. doi: 10.1136/bmj.l5342.
8
A comparison of arm-based and contrast-based models for network meta-analysis.基于臂和基于对照的网络荟萃分析模型比较
Stat Med. 2019 Nov 30;38(27):5197-5213. doi: 10.1002/sim.8360. Epub 2019 Oct 3.
9
A critique of the fragility index.对脆弱性指数的批判。
Lancet Oncol. 2019 Oct;20(10):e553. doi: 10.1016/S1470-2045(19)30581-9. Epub 2019 Sep 30.
10
A critique of the fragility index.对脆弱性指数的批判。
Lancet Oncol. 2019 Oct;20(10):e552. doi: 10.1016/S1470-2045(19)30583-2. Epub 2019 Sep 30.