Suppr超能文献

老年营养风险指数与美国绝经后女性股骨骨密度及骨质疏松症的关联:来自美国国家健康与营养检查调查的数据

Associations of the Geriatric Nutritional Risk Index With Femur Bone Mineral Density and Osteoporosis in American Postmenopausal Women: Data From the National Health and Nutrition Examination Survey.

作者信息

Wang Jie, Xing Fei, Sheng Ning, Xiang Zhou

机构信息

Department of Orthopedics, Orthopedic Research Institute, West China Hospital, Sichuan University, Chengdu, China.

出版信息

Front Nutr. 2022 May 17;9:860693. doi: 10.3389/fnut.2022.860693. eCollection 2022.

Abstract

BACKGROUND

The geriatric nutritional risk index (GNRI) has been used as a significant tool to access the nutritional status of the elderly. However, the relationship between the GNRI and femur bone mineral density (BMD) and the risk of osteoporosis remains unclear in American postmenopausal women.

OBJECTIVES

We aimed to explore associations between the GNRI with femur BMD and the risk of osteoporosis in American postmenopausal women.

METHODS

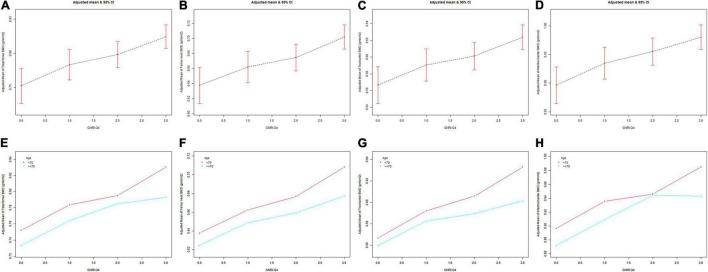
We merged the continuous National Health and Nutrition Examination Survey (NHANES) 2005-2006, 2007-2008, 2009-2010, 2013-2014, and 2017-2018 to ensure a large and representative sample, including 3,152 participants. The linear relationship between the GNRI and femur BMD was assessed a weighted multivariate linear regression model. The odds ratios (ORs) and 95% confidence intervals (95% CIs) for the association between the GNRI and the risk of osteoporosis were assessed by a weighted logistic regression model. Moreover, the nonlinear relationship was also characterized by smooth curve fitting (SCF) and a weighted generalized additive model (GAM).

RESULTS

After adjusting for all covariates, the weighted multivariable linear regression models demonstrated that the GNRI was positively correlated with femur BMD. The weighted logistic regression models demonstrated that each unit of increased GNRI value was associated with a decreased risk of osteoporosis of 4.13%. When categorizing GNRI based on quartiles, ORs between the risk of osteoporosis and the GNRI across quintiles 2, 3, and 4 compared with quintile 1 were 0.5565 (95% CI: 0.4791, 0.6463; < 0.000001), 0.5580 (95% CI: 0.4600, 0.6769; < 0.000001), and 0.3475 (95% CI: 0.2681, 0.4505; < 0.000001). The trends similar to the above were also observed in SCF and GAM.

CONCLUSION

This study indicated that nutritional status, represented by the GNRI, was positively associated with femur BMD and negatively associated with the risk of osteoporosis in American postmenopausal women. The GNRI may be a good tool to identify American postmenopausal women who need further bone health nutritional support.

摘要

背景

老年营养风险指数(GNRI)已成为评估老年人营养状况的重要工具。然而,在美国绝经后女性中,GNRI与股骨骨密度(BMD)及骨质疏松风险之间的关系仍不明确。

目的

我们旨在探究美国绝经后女性中GNRI与股骨BMD及骨质疏松风险之间的关联。

方法

我们合并了2005 - 2006年、2007 - 2008年、2009 - 2010年、2013 - 2014年及2017 - 2018年连续的国家健康与营养检查调查(NHANES),以确保获得一个大型且具有代表性的样本,包括3152名参与者。通过加权多元线性回归模型评估GNRI与股骨BMD之间的线性关系。通过加权逻辑回归模型评估GNRI与骨质疏松风险之间关联的比值比(OR)及95%置信区间(95%CI)。此外,还通过平滑曲线拟合(SCF)和加权广义相加模型(GAM)对非线性关系进行了表征。

结果

在对所有协变量进行调整后,加权多变量线性回归模型表明GNRI与股骨BMD呈正相关。加权逻辑回归模型表明,GNRI值每增加一个单位,骨质疏松风险降低4.13%。当根据四分位数对GNRI进行分类时,与第1五分位数相比,第2、3和4五分位数的骨质疏松风险与GNRI之间的OR分别为0.5565(95%CI:0.4791,0.6463;P < 0.000001)、0.5580(95%CI:0.4600,0.6769;P < 0.000001)和0.3475(95%CI:0.2681,0.4505;P < 0.000001)。在SCF和GAM中也观察到了与上述相似的趋势。

结论

本研究表明,在美国绝经后女性中,以GNRI表示的营养状况与股骨BMD呈正相关,与骨质疏松风险呈负相关。GNRI可能是识别需要进一步骨骼健康营养支持的美国绝经后女性患者的良好工具。

https://cdn.ncbi.nlm.nih.gov/pmc/blobs/8c21/9152150/a1ea85db5a81/fnut-09-860693-g001.jpg

文献检索

告别复杂PubMed语法,用中文像聊天一样搜索,搜遍4000万医学文献。AI智能推荐,让科研检索更轻松。

立即免费搜索

文件翻译

保留排版,准确专业,支持PDF/Word/PPT等文件格式,支持 12+语言互译。

免费翻译文档

深度研究

AI帮你快速写综述,25分钟生成高质量综述,智能提取关键信息,辅助科研写作。

立即免费体验