• 文献检索
  • 文档翻译
  • 深度研究
  • 学术资讯
  • Suppr Zotero 插件Zotero 插件
  • 邀请有礼
  • 套餐&价格
  • 历史记录
应用&插件
Suppr Zotero 插件Zotero 插件浏览器插件Mac 客户端Windows 客户端微信小程序
定价
高级版会员购买积分包购买API积分包
服务
文献检索文档翻译深度研究API 文档MCP 服务
关于我们
关于 Suppr公司介绍联系我们用户协议隐私条款
关注我们

Suppr 超能文献

核心技术专利:CN118964589B侵权必究
粤ICP备2023148730 号-1Suppr @ 2026

文献检索

告别复杂PubMed语法,用中文像聊天一样搜索,搜遍4000万医学文献。AI智能推荐,让科研检索更轻松。

立即免费搜索

文件翻译

保留排版,准确专业,支持PDF/Word/PPT等文件格式,支持 12+语言互译。

免费翻译文档

深度研究

AI帮你快速写综述,25分钟生成高质量综述,智能提取关键信息,辅助科研写作。

立即免费体验

“充分缓解疼痛”作为癌症疼痛管理的实用基准:一项关于系列疼痛评分、患者自评疼痛缓解及镇痛药充分性感知的前瞻性研究

'Sufficient Pain relief ' as a Practical Benchmark in Cancer Pain Management: A Prospective Study of Serial Pain Scores, Patient-rated Pain Relief and Perceived Sufficiency of Analgesics.

作者信息

George Reena, Huang Tiffany, Kandasamy Ramu, Siromony Helen Grace, Kothandan Poornima

机构信息

Department of Continuing Medical Education, Christian Medical College, Vellore, Tamil Nadu, India.

Palliative Care Unit, Christian Medical College, Vellore, Tamil Nadu, India.

出版信息

Indian J Palliat Care. 2022 Apr-Jun;28(2):160-166. doi: 10.25259/IJPC_89_21. Epub 2022 Mar 29.

DOI:10.25259/IJPC_89_21
PMID:35673684
原文链接:https://pmc.ncbi.nlm.nih.gov/articles/PMC9168294/
Abstract

OBJECTIVES

Serial pain scores are used to guide pain management but there can be variability in what constitutes 'adequate' pain relief for an individual patient. We aimed to evaluate how patient-rated sufficiency of pain relief corresponded to pain scores, pain relief scores, and the felt need for increasing analgesics.

MATERIAL AND METHODS

Baseline and follow-up scores on the 11-point numerical rating scale (11-NRS) and verbal rating scale were obtained for116 patients with cancer pain. Patients used the pain relief sufficiency rating (PRSR) to rate pain relief as 'no reduction,' 'some reduction, but not enough,' 'sufficient reduction,' and 'very good reduction.' They also rated analgesics as 'sufficient' or 'insufficient.' Receiver-operating characteristic (ROC) curve analysis was used to compare PRSR responses with follow-up pain scores, patient rated percentage pain relief, and the perceived need for an increase in analgesics.

RESULTS

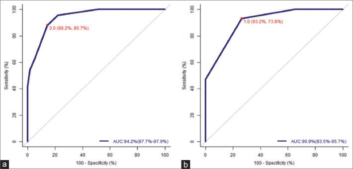
The 11-NRS had an area under the ROC curve of 94.2% against the PRSR. A pain score of three provided the best cutoff to identify adequate pain relief (88.2% sensitivity and 85.7% specificity). Follow-up verbal pain scores corresponded to PRSR categories (severe pain: no reduction; moderate pain: some reduction; mild pain: sufficient reduction and no pain: very good reduction). The PRSR identified 97.3% of patients who wanted analgesics increased and 85% of those who said pain medications were sufficient.

CONCLUSION

The PRSR is a brief, simple and intuitive measure to elicit patient perceptions on the sufficiency of pain relief. Our findings suggest that it might be a useful tool in pain and symptom management.

摘要

目的

连续疼痛评分用于指导疼痛管理,但对于个体患者而言,“充分”的疼痛缓解标准可能存在差异。我们旨在评估患者对疼痛缓解充分性的评分与疼痛评分、疼痛缓解评分以及增加镇痛药的实际需求之间的对应关系。

材料与方法

对116例癌症疼痛患者进行了11点数字评定量表(11-NRS)和言语评定量表的基线及随访评分。患者使用疼痛缓解充分性评分(PRSR)将疼痛缓解程度评定为“无缓解”“有所缓解,但仍不足”“充分缓解”和“非常好的缓解”。他们还对镇痛药的效果评定为“足够”或“不足”。采用受试者工作特征(ROC)曲线分析,将PRSR的反应与随访疼痛评分、患者自评的疼痛缓解百分比以及增加镇痛药的感知需求进行比较。

结果

11-NRS针对PRSR的ROC曲线下面积为94.2%。疼痛评分为3分时,能最好地界定充分的疼痛缓解(灵敏度为88.2%,特异度为85.7%)。随访言语疼痛评分与PRSR类别相对应(重度疼痛:无缓解;中度疼痛:有所缓解;轻度疼痛:充分缓解;无痛:非常好的缓解)。PRSR识别出97.3%希望增加镇痛药的患者以及85%认为止痛药足够的患者。

结论

PRSR是一种简短、简单且直观的方法,可用于了解患者对疼痛缓解充分性的看法。我们的研究结果表明,它可能是疼痛和症状管理中的一种有用工具。

https://cdn.ncbi.nlm.nih.gov/pmc/blobs/b806/9168294/d96fa57cf93f/IJPC-28-160-g004.jpg
https://cdn.ncbi.nlm.nih.gov/pmc/blobs/b806/9168294/ea6fd2ba117f/IJPC-28-160-g001.jpg
https://cdn.ncbi.nlm.nih.gov/pmc/blobs/b806/9168294/cca8486afe81/IJPC-28-160-g002.jpg
https://cdn.ncbi.nlm.nih.gov/pmc/blobs/b806/9168294/9346aa071ba7/IJPC-28-160-g003.jpg
https://cdn.ncbi.nlm.nih.gov/pmc/blobs/b806/9168294/d96fa57cf93f/IJPC-28-160-g004.jpg
https://cdn.ncbi.nlm.nih.gov/pmc/blobs/b806/9168294/ea6fd2ba117f/IJPC-28-160-g001.jpg
https://cdn.ncbi.nlm.nih.gov/pmc/blobs/b806/9168294/cca8486afe81/IJPC-28-160-g002.jpg
https://cdn.ncbi.nlm.nih.gov/pmc/blobs/b806/9168294/9346aa071ba7/IJPC-28-160-g003.jpg
https://cdn.ncbi.nlm.nih.gov/pmc/blobs/b806/9168294/d96fa57cf93f/IJPC-28-160-g004.jpg

相似文献

1
'Sufficient Pain relief ' as a Practical Benchmark in Cancer Pain Management: A Prospective Study of Serial Pain Scores, Patient-rated Pain Relief and Perceived Sufficiency of Analgesics.“充分缓解疼痛”作为癌症疼痛管理的实用基准:一项关于系列疼痛评分、患者自评疼痛缓解及镇痛药充分性感知的前瞻性研究
Indian J Palliat Care. 2022 Apr-Jun;28(2):160-166. doi: 10.25259/IJPC_89_21. Epub 2022 Mar 29.
2
3
Cut-off points between pain intensities of the postoperative pain using receiver operating characteristic (ROC) curves.使用受试者工作特征(ROC)曲线确定术后疼痛强度的临界点。
BMC Anesthesiol. 2021 Jan 25;21(1):29. doi: 10.1186/s12871-021-01245-5.
4
Responsiveness of efficacy endpoints in clinical trials with over the counter analgesics for headache.非处方类镇痛药治疗头痛的临床试验中疗效终点的反应性。
Cephalalgia. 2012 Oct;32(13):953-62. doi: 10.1177/0333102412452047. Epub 2012 Jul 4.
5
Transdermal buprenorphine patches applied in a 4-day regimen versus a 3-day regimen: a single-site, Phase III, randomized, open-label, crossover comparison.透皮丁丙诺啡贴剂4天给药方案与3天给药方案的比较:一项单中心、III期、随机、开放标签、交叉对照研究。
Clin Ther. 2007 Aug;29(8):1591-606. doi: 10.1016/j.clinthera.2007.08.001.
6
Evaluating acute pain intensity relief: challenges when using an 11-point numerical rating scale.评估急性疼痛强度缓解情况:使用11点数字评分量表时的挑战。
Pain. 2016 Feb;157(2):355-360. doi: 10.1097/j.pain.0000000000000382.
7
Minimal clinically important changes in chronic musculoskeletal pain intensity measured on a numerical rating scale.采用数字评定量表测量的慢性肌肉骨骼疼痛强度的最小临床重要变化。
Eur J Pain. 2004 Aug;8(4):283-91. doi: 10.1016/j.ejpain.2003.09.004.
8
Relationship between intensity and relief in patients with acute severe pain.
Am J Emerg Med. 2006 Mar;24(2):162-6. doi: 10.1016/j.ajem.2005.08.007.
9
Clinically important changes in acute pain outcome measures: a validation study.急性疼痛结局指标的临床重要变化:一项验证性研究
J Pain Symptom Manage. 2003 May;25(5):406-11. doi: 10.1016/s0885-3924(03)00162-3.
10
Percentage of pain intensity difference on an 11-point numerical rating scale underestimates acute pain resolution.11点数字评分量表上疼痛强度差异的百分比低估了急性疼痛的缓解情况。
Eur J Pain. 2014 Sep;18(8):1103-11. doi: 10.1002/j.1532-2149.2014.00452.x. Epub 2014 Jan 21.

引用本文的文献

1
Effect of Pericapsular Nerve Group Block with Wound Infiltration vs Modified Supra-Inguinal Fascia Iliaca Block on Postoperative Analgesia in Adult Patients Undergoing Total Hip Arthroplasty - A Randomized Clinical Trial.关节囊周围神经组阻滞联合伤口浸润与改良腹股沟上筋膜髂筋膜阻滞对全髋关节置换术成年患者术后镇痛的影响——一项随机临床试验
J Pain Res. 2025 May 24;18:2679-2688. doi: 10.2147/JPR.S517578. eCollection 2025.

本文引用的文献

1
Follow-up score, change score or percentage change score for determining clinical important outcome following surgery? An observational study from the Norwegian registry for Spine surgery evaluating patient reported outcome measures in lumbar spinal stenosis and lumbar degenerative spondylolisthesis.随访评分、变化评分或百分比变化评分用于确定手术后的临床重要结局?一项来自挪威脊柱外科登记处的观察性研究,评估了腰椎管狭窄症和腰椎退行性滑脱患者报告的结局测量指标。
BMC Musculoskelet Disord. 2019 Jan 18;20(1):31. doi: 10.1186/s12891-018-2386-y.
2
Minimum clinically important differences in chronic pain vary considerably by baseline pain and methodological factors: systematic review of empirical studies.慢性疼痛的最小临床重要差异因基线疼痛和方法学因素而异:系统评价实证研究。
J Clin Epidemiol. 2018 Sep;101:87-106.e2. doi: 10.1016/j.jclinepi.2018.05.007. Epub 2018 May 21.
3
Translation, cross-cultural adaptation and psychometric properties of the Nepali versions of numerical pain rating scale and global rating of change.数值疼痛评分量表和变化整体评分的尼泊尔文版本的翻译、跨文化调适和心理计量特性。
Health Qual Life Outcomes. 2017 Dec 4;15(1):236. doi: 10.1186/s12955-017-0812-8.
4
Update on Prevalence of Pain in Patients With Cancer: Systematic Review and Meta-Analysis.癌症患者疼痛患病率的最新情况:系统评价与荟萃分析
J Pain Symptom Manage. 2016 Jun;51(6):1070-1090.e9. doi: 10.1016/j.jpainsymman.2015.12.340. Epub 2016 Apr 23.
5
Minimal clinically important differences in the Edmonton Symptom Assessment Scale in cancer patients: A prospective, multicenter study.癌症患者埃德蒙顿症状评估量表的最小临床重要差异:一项前瞻性多中心研究。
Cancer. 2015 Sep 1;121(17):3027-35. doi: 10.1002/cncr.29437. Epub 2015 Jun 8.
6
Cut-off points for mild, moderate, and severe pain on the visual analogue scale for pain in patients with chronic musculoskeletal pain.慢性肌肉骨骼疼痛患者疼痛视觉模拟量表上轻度、中度和重度疼痛的截断点。
Pain. 2014 Dec;155(12):2545-2550. doi: 10.1016/j.pain.2014.09.014. Epub 2014 Sep 17.
7
Global rating of change scales: a review of strengths and weaknesses and considerations for design.整体变化评定量表:优势与劣势综述及设计考量
J Man Manip Ther. 2009;17(3):163-70. doi: 10.1179/jmt.2009.17.3.163.
8
Interpreting the clinical importance of group differences in chronic pain clinical trials: IMMPACT recommendations.解读慢性疼痛临床试验中组间差异的临床重要性:IMMPACT 建议。
Pain. 2009 Dec;146(3):238-244. doi: 10.1016/j.pain.2009.08.019.
9
The clinical importance of changes in the 0 to 10 numeric rating scale for worst, least, and average pain intensity: analyses of data from clinical trials of duloxetine in pain disorders.在疼痛障碍的度洛西汀临床试验数据中分析:0 到 10 数字评定量表最差、最轻和平均疼痛强度变化的临床意义。
J Pain. 2010 Feb;11(2):109-18. doi: 10.1016/j.jpain.2009.06.007. Epub 2009 Aug 8.
10
Defining substantial clinical benefit following lumbar spine arthrodesis.定义腰椎融合术后的显著临床获益。
J Bone Joint Surg Am. 2008 Sep;90(9):1839-47. doi: 10.2106/JBJS.G.01095.