• 文献检索
  • 文档翻译
  • 深度研究
  • 学术资讯
  • Suppr Zotero 插件Zotero 插件
  • 邀请有礼
  • 套餐&价格
  • 历史记录
应用&插件
Suppr Zotero 插件Zotero 插件浏览器插件Mac 客户端Windows 客户端微信小程序
定价
高级版会员购买积分包购买API积分包
服务
文献检索文档翻译深度研究API 文档MCP 服务
关于我们
关于 Suppr公司介绍联系我们用户协议隐私条款
关注我们

Suppr 超能文献

核心技术专利:CN118964589B侵权必究
粤ICP备2023148730 号-1Suppr @ 2026

文献检索

告别复杂PubMed语法,用中文像聊天一样搜索,搜遍4000万医学文献。AI智能推荐,让科研检索更轻松。

立即免费搜索

文件翻译

保留排版,准确专业,支持PDF/Word/PPT等文件格式,支持 12+语言互译。

免费翻译文档

深度研究

AI帮你快速写综述,25分钟生成高质量综述,智能提取关键信息,辅助科研写作。

立即免费体验

用富含血小板血浆和活性神经微组织填充的自体静脉移植物修复周围神经缺损,并通过新型多模态超声技术进行评估。

Peripheral nerve defects repaired with autogenous vein grafts filled with platelet-rich plasma and active nerve microtissues and evaluated by novel multimodal ultrasound techniques.

作者信息

Zhu Yaqiong, Peng Nan, Wang Jing, Jin Zhuang, Zhu Lianhua, Wang Yu, Chen Siming, Hu Yongqiang, Zhang Tieyuan, Song Qing, Xie Fang, Yan Lin, Li Yingying, Xiao Jing, Li Xinyang, Jiang Bo, Peng Jiang, Wang Yuexiang, Luo Yukun

机构信息

Departments of Ultrasound, The First Center of Chinese PLA General Hospital, Beijing, China.

Beijing Key Lab of Regenerative Medicine in Orthopedics, Chinese PLA General Hospital, Beijing, China.

出版信息

Biomater Res. 2022 Jun 11;26(1):24. doi: 10.1186/s40824-022-00264-8.

DOI:10.1186/s40824-022-00264-8
PMID:35690849
原文链接:https://pmc.ncbi.nlm.nih.gov/articles/PMC9188244/
Abstract

BACKGROUND

Developing biocompatible nerve conduits that accelerate peripheral nerve regeneration, lengthening and functional recovery remains a challenge. The combined application of nerve microtissues and platelet-rich plasma (PRP) provides abundant Schwann cells (SCs) and various natural growth factors and can compensate for the deficiency of SCs in the nerve bridge, as well as the limitations of applying a single type of growth factor. Multimodal ultrasound evaluation can provide additional information on the stiffness and microvascular flow perfusion of the tissue. This study was designed to investigate the effectiveness of a novel tissue-engineered nerve graft composed of an autogenous vein, nerve microtissues and PRP in reconstructing a 12-mm tibial nerve defect and to explore the value of multimodal ultrasound techniques in evaluating the prognosis of nerve repair.

METHODS

In vitro, nerve microtissue activity was first investigated, and the effects on SC proliferation, migration, factor secretion, and axonal regeneration of dorsal root ganglia (DRG) were evaluated by coculture with nerve microtissues and PRP. In vivo, seventy-five rabbits were equally and randomly divided into Hollow, PRP, Micro-T (Microtissues), Micro-T + PRP and Autograft groups. By analysing the neurological function, electrophysiological recovery, and the comparative results of multimodal ultrasound and histological evaluation, we investigated the effect of these new nerve grafts in repairing tibial nerve defects.

RESULTS

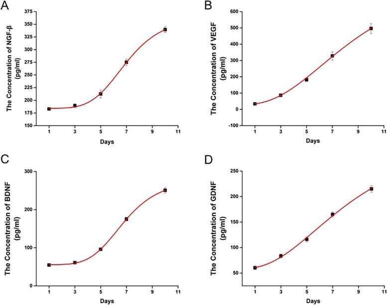
Our results showed that the combined application of nerve microtissues and PRP could significantly promote the proliferation, secretion and migration of SCs and the regeneration of axons in the early stage. The Micro-T + PRP group and Autograft groups exhibited the best nerve repair 12 weeks postoperatively. In addition, the changes in target tissue stiffness and microvascular perfusion on multimodal ultrasound (shear wave elastography; contrast-enhanced ultrasonography; Angio PlaneWave UltrasenSitive, AngioPLUS) were significantly correlated with the histological results, such as collagen area percentage and VEGF expression, respectively.

CONCLUSION

Our novel tissue-engineered nerve graft shows excellent efficacy in repairing 12-mm defects of the tibial nerve in rabbits. Moreover, multimodal ultrasound may provide a clinical reference for prognosis by quantitatively evaluating the stiffness and microvescular flow of nerve grafts and targeted muscles.

摘要

背景

开发能够加速周围神经再生、延长和功能恢复的生物相容性神经导管仍然是一项挑战。神经微组织与富血小板血浆(PRP)的联合应用可提供丰富的雪旺细胞(SCs)和多种天然生长因子,能够弥补神经桥中雪旺细胞的不足,以及单一类型生长因子应用的局限性。多模态超声评估可为组织的硬度和微血管血流灌注提供额外信息。本研究旨在探讨一种由自体静脉、神经微组织和PRP组成的新型组织工程神经移植物在修复12毫米胫神经缺损中的有效性,并探索多模态超声技术在评估神经修复预后中的价值。

方法

在体外,首先研究神经微组织活性,并通过与神经微组织和PRP共培养评估其对雪旺细胞增殖、迁移、因子分泌以及背根神经节(DRG)轴突再生的影响。在体内,将75只兔子平均随机分为空心组、PRP组、微组织组(Microtissues)、微组织+PRP组和自体移植组。通过分析神经功能、电生理恢复情况,以及多模态超声和组织学评估的对比结果,我们研究了这些新型神经移植物在修复胫神经缺损中的效果。

结果

我们的结果表明,神经微组织与PRP的联合应用可在早期显著促进雪旺细胞的增殖、分泌和迁移以及轴突再生。微组织+PRP组和自体移植组在术后12周表现出最佳的神经修复效果。此外,多模态超声(剪切波弹性成像;超声造影;血管平面波超声敏感成像,AngioPLUS)上目标组织硬度和微血管灌注的变化分别与组织学结果(如胶原面积百分比和VEGF表达)显著相关。

结论

我们的新型组织工程神经移植物在修复兔12毫米胫神经缺损方面显示出优异的疗效。此外,多模态超声可通过定量评估神经移植物和目标肌肉的硬度和微血管血流为预后提供临床参考。

https://cdn.ncbi.nlm.nih.gov/pmc/blobs/aa2f/9188244/302c1f57e88e/40824_2022_264_Fig18_HTML.jpg
https://cdn.ncbi.nlm.nih.gov/pmc/blobs/aa2f/9188244/5f0283979358/40824_2022_264_Fig1_HTML.jpg
https://cdn.ncbi.nlm.nih.gov/pmc/blobs/aa2f/9188244/191aae6bc8cd/40824_2022_264_Fig2_HTML.jpg
https://cdn.ncbi.nlm.nih.gov/pmc/blobs/aa2f/9188244/3abef5aad361/40824_2022_264_Fig3_HTML.jpg
https://cdn.ncbi.nlm.nih.gov/pmc/blobs/aa2f/9188244/51e436585160/40824_2022_264_Fig4_HTML.jpg
https://cdn.ncbi.nlm.nih.gov/pmc/blobs/aa2f/9188244/5e44a198b588/40824_2022_264_Fig5_HTML.jpg
https://cdn.ncbi.nlm.nih.gov/pmc/blobs/aa2f/9188244/26953ee4fc7b/40824_2022_264_Fig6_HTML.jpg
https://cdn.ncbi.nlm.nih.gov/pmc/blobs/aa2f/9188244/5892fd4cdd3d/40824_2022_264_Fig7_HTML.jpg
https://cdn.ncbi.nlm.nih.gov/pmc/blobs/aa2f/9188244/d78678c84d41/40824_2022_264_Fig8_HTML.jpg
https://cdn.ncbi.nlm.nih.gov/pmc/blobs/aa2f/9188244/5ae765a303ca/40824_2022_264_Fig9_HTML.jpg
https://cdn.ncbi.nlm.nih.gov/pmc/blobs/aa2f/9188244/8498429edef1/40824_2022_264_Fig10_HTML.jpg
https://cdn.ncbi.nlm.nih.gov/pmc/blobs/aa2f/9188244/51d176835054/40824_2022_264_Fig11_HTML.jpg
https://cdn.ncbi.nlm.nih.gov/pmc/blobs/aa2f/9188244/bd2f51f9230c/40824_2022_264_Fig12_HTML.jpg
https://cdn.ncbi.nlm.nih.gov/pmc/blobs/aa2f/9188244/0a6eee4170b2/40824_2022_264_Fig13_HTML.jpg
https://cdn.ncbi.nlm.nih.gov/pmc/blobs/aa2f/9188244/4ae478778fde/40824_2022_264_Fig14_HTML.jpg
https://cdn.ncbi.nlm.nih.gov/pmc/blobs/aa2f/9188244/df73bc5413ad/40824_2022_264_Fig15_HTML.jpg
https://cdn.ncbi.nlm.nih.gov/pmc/blobs/aa2f/9188244/97a0a834a8bb/40824_2022_264_Fig16_HTML.jpg
https://cdn.ncbi.nlm.nih.gov/pmc/blobs/aa2f/9188244/d3eec043b159/40824_2022_264_Fig17_HTML.jpg
https://cdn.ncbi.nlm.nih.gov/pmc/blobs/aa2f/9188244/302c1f57e88e/40824_2022_264_Fig18_HTML.jpg
https://cdn.ncbi.nlm.nih.gov/pmc/blobs/aa2f/9188244/5f0283979358/40824_2022_264_Fig1_HTML.jpg
https://cdn.ncbi.nlm.nih.gov/pmc/blobs/aa2f/9188244/191aae6bc8cd/40824_2022_264_Fig2_HTML.jpg
https://cdn.ncbi.nlm.nih.gov/pmc/blobs/aa2f/9188244/3abef5aad361/40824_2022_264_Fig3_HTML.jpg
https://cdn.ncbi.nlm.nih.gov/pmc/blobs/aa2f/9188244/51e436585160/40824_2022_264_Fig4_HTML.jpg
https://cdn.ncbi.nlm.nih.gov/pmc/blobs/aa2f/9188244/5e44a198b588/40824_2022_264_Fig5_HTML.jpg
https://cdn.ncbi.nlm.nih.gov/pmc/blobs/aa2f/9188244/26953ee4fc7b/40824_2022_264_Fig6_HTML.jpg
https://cdn.ncbi.nlm.nih.gov/pmc/blobs/aa2f/9188244/5892fd4cdd3d/40824_2022_264_Fig7_HTML.jpg
https://cdn.ncbi.nlm.nih.gov/pmc/blobs/aa2f/9188244/d78678c84d41/40824_2022_264_Fig8_HTML.jpg
https://cdn.ncbi.nlm.nih.gov/pmc/blobs/aa2f/9188244/5ae765a303ca/40824_2022_264_Fig9_HTML.jpg
https://cdn.ncbi.nlm.nih.gov/pmc/blobs/aa2f/9188244/8498429edef1/40824_2022_264_Fig10_HTML.jpg
https://cdn.ncbi.nlm.nih.gov/pmc/blobs/aa2f/9188244/51d176835054/40824_2022_264_Fig11_HTML.jpg
https://cdn.ncbi.nlm.nih.gov/pmc/blobs/aa2f/9188244/bd2f51f9230c/40824_2022_264_Fig12_HTML.jpg
https://cdn.ncbi.nlm.nih.gov/pmc/blobs/aa2f/9188244/0a6eee4170b2/40824_2022_264_Fig13_HTML.jpg
https://cdn.ncbi.nlm.nih.gov/pmc/blobs/aa2f/9188244/4ae478778fde/40824_2022_264_Fig14_HTML.jpg
https://cdn.ncbi.nlm.nih.gov/pmc/blobs/aa2f/9188244/df73bc5413ad/40824_2022_264_Fig15_HTML.jpg
https://cdn.ncbi.nlm.nih.gov/pmc/blobs/aa2f/9188244/97a0a834a8bb/40824_2022_264_Fig16_HTML.jpg
https://cdn.ncbi.nlm.nih.gov/pmc/blobs/aa2f/9188244/d3eec043b159/40824_2022_264_Fig17_HTML.jpg
https://cdn.ncbi.nlm.nih.gov/pmc/blobs/aa2f/9188244/302c1f57e88e/40824_2022_264_Fig18_HTML.jpg

相似文献

1
Peripheral nerve defects repaired with autogenous vein grafts filled with platelet-rich plasma and active nerve microtissues and evaluated by novel multimodal ultrasound techniques.用富含血小板血浆和活性神经微组织填充的自体静脉移植物修复周围神经缺损,并通过新型多模态超声技术进行评估。
Biomater Res. 2022 Jun 11;26(1):24. doi: 10.1186/s40824-022-00264-8.
2
Ultrasound-guided platelet-rich plasma injection and multimodality ultrasound examination of peripheral nerve crush injury.超声引导下富血小板血浆注射及周围神经挤压伤的多模态超声检查
NPJ Regen Med. 2020 Nov 20;5(1):21. doi: 10.1038/s41536-020-00101-3.
3
Platelet-Rich Plasma Combined with Low-Dose Ultrashort Wave Therapy Accelerates Peripheral Nerve Regeneration.富血小板血浆联合低剂量超短波疗法可加速周围神经再生。
Tissue Eng Part A. 2020 Feb;26(3-4):178-192. doi: 10.1089/ten.TEA.2019.0187. Epub 2019 Oct 18.
4
Combining chitin biological conduits with small autogenous nerves and platelet-rich plasma for the repair of sciatic nerve defects in rats.将几丁质生物导管与小自体神经和富含血小板的血浆相结合,用于修复大鼠坐骨神经缺损。
CNS Neurosci Ther. 2021 Jul;27(7):805-819. doi: 10.1111/cns.13640. Epub 2021 Apr 10.
5
Functional tissue-engineered microtissue formed by self-aggregation of cells for peripheral nerve regeneration.由细胞自聚集形成的用于周围神经再生的功能性组织工程微组织。
Stem Cell Res Ther. 2022 Jan 10;13(1):3. doi: 10.1186/s13287-021-02676-0.
6
Improved peripheral nerve regeneration using acellular nerve allografts loaded with platelet-rich plasma.使用负载富血小板血浆的脱细胞异体神经移植改善周围神经再生。
Tissue Eng Part A. 2014 Dec;20(23-24):3228-40. doi: 10.1089/ten.TEA.2013.0729.
7
An inside-out vein graft filled with platelet-rich plasma for repair of a short sciatic nerve defect in rats.富含血小板血浆的静脉内翻修复大鼠短坐骨神经缺损。
Neural Regen Res. 2014 Jul 15;9(14):1351-7. doi: 10.4103/1673-5374.137587.
8
Autogenous venous graft with one-stage prepared Schwann cells as a conduit for repair of long segmental nerve defects.自体静脉移植物联合一期制备的雪旺细胞作为修复长节段神经缺损的管道
J Reconstr Microsurg. 2002 May;18(4):295-300. doi: 10.1055/s-2002-30186.
9
Effect of platelet-rich plasma (PRP) concentration on proliferation, neurotrophic function and migration of Schwann cells in vitro.富血小板血浆(PRP)浓度对体外雪旺细胞增殖、神经营养功能及迁移的影响。
J Tissue Eng Regen Med. 2016 May;10(5):428-36. doi: 10.1002/term.1756. Epub 2013 May 31.
10
Ultrasound-Targeted Microbubble Destruction Assisted Delivery of Platelet-Rich Plasma-Derived Exosomes Promoting Peripheral Nerve Regeneration.超声靶向微泡破坏辅助递送富血小板血浆衍生外泌体促进周围神经再生
Tissue Eng Part A. 2023 Dec;29(23-24):645-662. doi: 10.1089/ten.TEA.2023.0133. Epub 2023 Oct 19.

引用本文的文献

1
Update on newer ultrasound systems to study the microvasculature.用于研究微血管系统的新型超声系统的最新进展。
Radiol Med. 2025 Jun 25. doi: 10.1007/s11547-025-02035-6.
2
Research progress on composite nerve guidance conduits with immune-regulatory functions.具有免疫调节功能的复合神经导管的研究进展
Front Immunol. 2025 Jun 10;16:1622508. doi: 10.3389/fimmu.2025.1622508. eCollection 2025.
3
Limitations to clinically restoring meaningful peripheral nerve function across gaps and overcoming them.临床修复跨越间隙的有意义的周围神经功能的局限性以及克服这些局限性的方法。

本文引用的文献

1
Nerve growth factor activates autophagy in Schwann cells to enhance myelin debris clearance and to expedite nerve regeneration.神经生长因子激活施万细胞中的自噬作用,以增强髓鞘碎片清除并加速神经再生。
Theranostics. 2020 Jan 1;10(4):1649-1677. doi: 10.7150/thno.40919. eCollection 2020.
2
Analysis of Schwann Cell Migration and Axon Regeneration Following Nerve Injury in the Sciatic Nerve Bridge.坐骨神经桥接神经损伤后雪旺细胞迁移和轴突再生的分析
Front Mol Neurosci. 2019 Dec 10;12:308. doi: 10.3389/fnmol.2019.00308. eCollection 2019.
3
Neuromuscular ultrasound in clinical practice: A review.
Exp Biol Med (Maywood). 2025 May 27;250:10566. doi: 10.3389/ebm.2025.10566. eCollection 2025.
4
Efficacy of Blood Products and Photobiomodulation Therapy for Neurosensory Recovery in Patients With Inferior Alveolar Nerve Injury Following Orthognathic Surgery: A Systematic Review Study.血液制品与光生物调节疗法对正颌外科手术后下牙槽神经损伤患者神经感觉恢复的疗效:一项系统评价研究
J Lasers Med Sci. 2025 Feb 19;16:e5. doi: 10.34172/jlms.2025.05. eCollection 2025.
5
Therapeutic interventions of platelet-rich plasma versus corticosteroid injections for lumbar radicular pain: a systematic review and meta-analysis.富血小板血浆与皮质类固醇注射治疗腰椎神经根性疼痛的疗效干预:一项系统评价和荟萃分析。
J Orthop Surg Res. 2025 Mar 25;20(1):306. doi: 10.1186/s13018-025-05725-z.
6
Ultrasound-Guided Thoracic Paravertebral Injection of Platelet-Rich Plasma for the Treatment of Thoracic Herpes Zoster-Related Pain: A Study Protocol.超声引导下胸椎旁注射富血小板血浆治疗胸段带状疱疹相关性疼痛:一项研究方案
Pain Ther. 2025 Feb;14(1):425-436. doi: 10.1007/s40122-024-00691-6. Epub 2024 Dec 12.
7
Advanced techniques and innovations in peripheral nerve repair: a comprehensive review for clinical and experimental reference.周围神经修复的先进技术与创新:临床及实验参考的全面综述
Rev Neurosci. 2024 Nov 19;36(3):243-265. doi: 10.1515/revneuro-2024-0101. Print 2025 Apr 28.
8
In-situ gelation of fibrin gel encapsulating platelet-rich plasma-derived exosomes promotes rotator cuff healing.包裹富血小板血浆衍生外泌体的纤维蛋白凝胶原位凝胶化促进肩袖愈合。
Commun Biol. 2024 Feb 20;7(1):205. doi: 10.1038/s42003-024-05882-7.
9
Prospects of Using Chitosan-Based Biopolymers in the Treatment of Peripheral Nerve Injuries.壳聚糖基生物聚合物在周围神经损伤治疗中的应用前景。
Int J Mol Sci. 2023 Aug 19;24(16):12956. doi: 10.3390/ijms241612956.
10
Nerve-on-a-Chip Derived Biomimicking Microfibers for Peripheral Nerve Regeneration.神经芯片衍生仿生微纤维促进周围神经再生。
Adv Sci (Weinh). 2023 Jul;10(20):e2207536. doi: 10.1002/advs.202207536. Epub 2023 Apr 29.
临床实践中的神经肌肉超声:综述
Clin Neurophysiol Pract. 2019 Jul 12;4:148-163. doi: 10.1016/j.cnp.2019.04.006. eCollection 2019.
4
Evaluation of the Crushed Sciatic Nerve and Denervated Muscle with Multimodality Ultrasound Techniques: An Animal Study.多模态超声技术评估挤压坐骨神经和去神经肌肉:动物研究。
Ultrasound Med Biol. 2020 Feb;46(2):377-392. doi: 10.1016/j.ultrasmedbio.2019.10.004. Epub 2019 Nov 4.
5
Peripheral nerve regeneration and intraneural revascularization.周围神经再生与神经内血管再生
Neural Regen Res. 2019 Jan;14(1):24-33. doi: 10.4103/1673-5374.243699.
6
An update-tissue engineered nerve grafts for the repair of peripheral nerve injuries.用于修复周围神经损伤的组织工程神经移植物的最新进展。
Neural Regen Res. 2018 May;13(5):764-774. doi: 10.4103/1673-5374.232458.
7
Comparison of the Diagnostic Performance of Power Doppler Ultrasound and a New Microvascular Doppler Ultrasound Technique (AngioPLUS) for Differentiating Benign and Malignant Breast Masses.能量多普勒超声与一种新型微血管多普勒超声技术(AngioPLUS)鉴别乳腺良恶性肿块的诊断性能比较。
J Ultrasound Med. 2018 Nov;37(11):2689-2698. doi: 10.1002/jum.14602. Epub 2018 Mar 12.
8
Effect of local administration of platelet-rich plasma (PRP) on peripheral nerve regeneration: An experimental study in the rabbit model.局部应用富血小板血浆(PRP)对周围神经再生的影响:兔模型的实验研究。
Microsurgery. 2018 Mar;38(3):300-309. doi: 10.1002/micr.30263. Epub 2017 Nov 2.
9
Platelet-rich plasma: combinational treatment modalities for musculoskeletal conditions.富血小板血浆:治疗肌肉骨骼疾病的联合治疗方法。
Front Med. 2018 Apr;12(2):139-152. doi: 10.1007/s11684-017-0551-6. Epub 2017 Oct 18.
10
Inside-out and standard vein grafts associated with platelet-rich plasma (PRP) in sciatic nerve repair. A histomorphometric study.坐骨神经修复中与富血小板血浆(PRP)相关的翻转式和标准静脉移植物。一项组织形态计量学研究。
Acta Cir Bras. 2017 Aug;32(8):617-625. doi: 10.1590/s0102-865020170080000003.