Shanghai Key Laboratory of Atmospheric Particle Pollution and Prevention (LAP3), Department of Environmental Science and Engineering, Fudan University, Shanghai 200433, China.
Shanghai Key Laboratory of Atmospheric Particle Pollution and Prevention (LAP3), Department of Environmental Science and Engineering, Fudan University, Shanghai 200433, China; IRDR ICoE on Risk Interconnectivity and Governance on Weather/Climate Extremes Impact and Public Health, Fudan University, Shanghai 200433, China; Institute of Eco-Chongming (IEC), Shanghai 202162, China.
J Environ Sci (China). 2022 Dec;122:115-127. doi: 10.1016/j.jes.2021.10.005. Epub 2021 Oct 18.
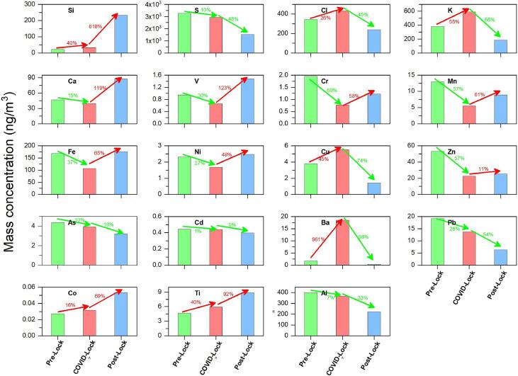
The coronavirus (COVID-19) pandemic is disrupting the world from many aspects. In this study, the impact of emission variations on PM-bound elemental species and health risks associated to inhalation exposure has been analyzed based on real-time measurements at a remote coastal site in Shanghai during the pandemic. Most trace elemental species decreased significantly and displayed almost no diel peaks during the lockdown. After the lockdown, they rebounded rapidly, of which V and Ni even exceeded the levels before the lockdown, suggesting the recovery of both inland and shipping activities. Five sources were identified based on receptor modeling. Coal combustion accounted for more than 70% of the measured elemental concentrations before and during the lockdown. Shipping emissions, fugitive/mineral dust, and waste incineration all showed elevated contributions after the lockdown. The total non-carcinogenic risk (HQ) for the target elements exceeded the risk threshold for both children and adults with chloride as the predominant species contributing to HQ. Whereas, the total carcinogenic risk (TR) for adults was above the acceptable level and much higher than that for children. Waste incineration was the largest contributor to HQ, while manufacture processing and coal combustion were the main sources of TR. Lockdown control measures were beneficial for lowering the carcinogenic risk while unexpectedly increased the non-carcinogenic risk. From the perspective of health effects, priorities of control measures should be given to waste incineration, manufacture processing, and coal combustion. A balanced way should be reached between both lowering the levels of air pollutants and their health risks.
冠状病毒(COVID-19)大流行正在从多个方面扰乱世界。在这项研究中,根据疫情期间上海偏远沿海地区的实时测量结果,分析了排放变化对 PM 结合态元素物种和与吸入暴露相关的健康风险的影响。大多数痕量元素物种在封锁期间显著下降,几乎没有日变化峰值。封锁解除后,它们迅速反弹,其中 V 和 Ni 甚至超过了封锁前的水平,这表明内陆和航运活动都在恢复。基于受体模型,确定了五个来源。在封锁前后,煤炭燃烧占测量元素浓度的 70%以上。封锁解除后,航运排放、扬尘和废物焚烧的贡献均有所增加。对于目标元素,非致癌风险(HQ)对于儿童和成人均超过风险阈值,其中氯是 HQ 的主要贡献物种。然而,对于成人,总致癌风险(TR)高于可接受水平,且远高于儿童。废物焚烧是 HQ 的最大贡献者,而制造加工和煤炭燃烧是 TR 的主要来源。封锁控制措施有利于降低致癌风险,但意外增加了非致癌风险。从健康影响的角度来看,应优先考虑废物焚烧、制造加工和煤炭燃烧。应在降低空气污染物水平及其健康风险之间找到平衡的方法。