Suppr超能文献

猕猴桃基因家族的全基因组鉴定及其对叶绿素 a 含量的调控作用。

Genome-Wide Identification of the Gene Family in Kiwifruit and Regulatory Role of for Chlorophyll a Content.

机构信息

College of Life Science, Nanchang University, Nanchang 330031, China.

Lushan Botanical Garden, Chinese Academy of Sciences, Jiujiang 332900, China.

出版信息

Int J Mol Sci. 2022 Jun 10;23(12):6528. doi: 10.3390/ijms23126528.

Abstract

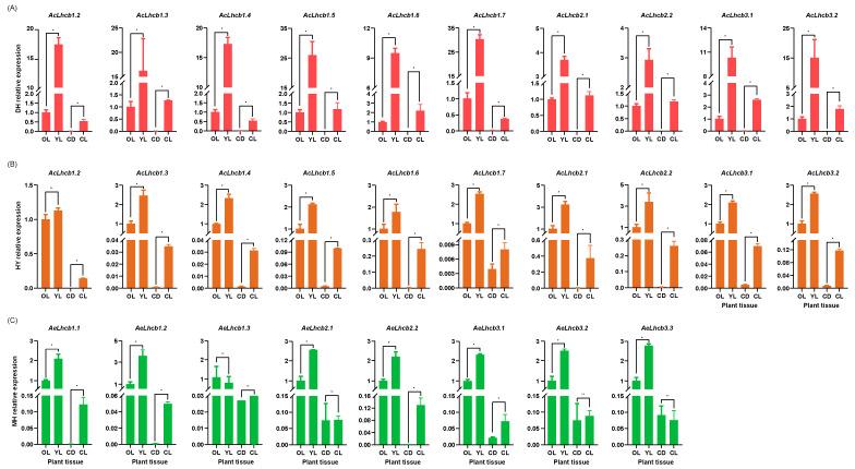
Light-harvesting chlorophyll a/b-binding (LHC) protein is a superfamily that plays a vital role in photosynthesis. However, the reported knowledge of LHCs in kiwifruit is inadequate and poorly understood. In this study, we identified 42 and 45 genes in (Ac) and (Ae) genomes. Phylogenetic analysis showed that the kiwifruit LHCs of both species were grouped into four subfamilies (Lhc, Lil, PsbS, and FCII). Expression profiles and qRT-PCR results revealed expression levels of genes closely related to the light, temperature fluctuations, color changes during fruit ripening, and kiwifruit responses to pv. (Psa). Subcellular localization analysis showed that AcLhcb1.5/3.1/3.2 were localized in the chloroplast while transient overexpression of AcLhcb3.1/3.2 in tobacco leaves confirmed a significantly increased content of chlorophyll a. Our findings provide evidence of the characters and evolution patterns of kiwifruit genes in kiwifruit and verify the genes controlling the chlorophyll a content.

摘要

捕光叶绿素 a/b 结合蛋白(LHC)是一个超家族,在光合作用中起着至关重要的作用。然而,猕猴桃中 LHC 的报道知识不足,理解也很差。在这项研究中,我们在 (Ac)和 (Ae)基因组中分别鉴定了 42 个和 45 个基因。系统发育分析表明,两种猕猴桃的 LHC 均分为四个亚家族(Lhc、Lil、PsbS 和 FCII)。表达谱和 qRT-PCR 结果显示,与光、温度波动、果实成熟过程中的颜色变化以及猕猴桃对 pv. (Psa)的反应密切相关的基因的表达水平。亚细胞定位分析表明,AcLhcb1.5/3.1/3.2 定位于叶绿体,而瞬时过表达烟草叶片中的 AcLhcb3.1/3.2 证实了叶绿素 a 含量的显著增加。我们的研究结果为猕猴桃 LHC 基因的特征和进化模式提供了证据,并验证了控制叶绿素 a 含量的基因。

https://cdn.ncbi.nlm.nih.gov/pmc/blobs/a4d2/9224368/218db3d8e565/ijms-23-06528-g001a.jpg

文献检索

告别复杂PubMed语法,用中文像聊天一样搜索,搜遍4000万医学文献。AI智能推荐,让科研检索更轻松。

立即免费搜索

文件翻译

保留排版,准确专业,支持PDF/Word/PPT等文件格式,支持 12+语言互译。

免费翻译文档

深度研究

AI帮你快速写综述,25分钟生成高质量综述,智能提取关键信息,辅助科研写作。

立即免费体验