Suppr超能文献

炎症、氧化应激和抗氧化微量营养素作为睡眠、胰岛素敏感性和糖化血红蛋白之间关系的中介。

Inflammation, Oxidative Stress, and Antioxidant Micronutrients as Mediators of the Relationship Between Sleep, Insulin Sensitivity, and Glycosylated Hemoglobin.

机构信息

School of Kinesiology and Health Science, York University, Toronto, ON, Canada.

出版信息

Front Public Health. 2022 Jun 9;10:888331. doi: 10.3389/fpubh.2022.888331. eCollection 2022.

Abstract

BACKGROUND

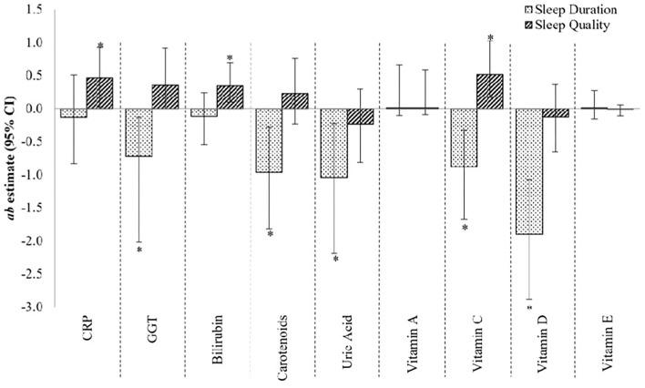
Sleep deprivation and poor sleep quality contribute to increases in oxidative stress, antioxidant imbalance, and a pro-inflammatory state which may predispose to a higher risk of diabetes. Our objective was to estimate the contributions of C-reactive protein (CRP), gamma glutamyl transferase (GGT), and micronutrient antioxidants (bilirubin, carotenoids, uric acid, vitamins A, C-E?) to the relationships between sleep-fasting insulin concentration and -glycosylated hemoglobin (HbA1c).

METHODS

Data from the 2005/06 US National Health and Nutritional Examination Survey were used ( = 1,946; 20 y+). Sleep quality and quantity was assessed by the Sleep Disorders Questionnaire, and fasting blood was collected to quantify CRP, GGT, antioxidant micronutrients, insulin concentration, and HbA1c. The bootstrap method was used to estimate the amount of mediation or contribution of these mediators to the sleep-insulin concentration and -HbA1c relationships, which were quantified as large (≥0.25) or moderate (≥0.09).

RESULTS

The sleep -fasting insulin relationship was mediated by GGT, carotenoids, uric acid, and vitamins C and D, whereas CRP and bilirubin were non-significant mediators of a moderate effect size. Similarly, the sleep -fasting insulin relationship was mediated by CRP, bilirubin and vitamin C, whereas GGT, carotenoids, uric acid, and vitamin D were non-significant large-to-moderate mediators. To a lesser degree, these micronutrients mediated for the relationship between sleep-HbA1c levels.

CONCLUSION

Several factors related to inflammation, oxidative stress, and antioxidant status were found to lie on the pathway of the sleep-insulin and -glycemic control relationships. Sleep hygiene, reduced systemic inflammation/oxidative stress, and optimal antioxidants intake are potentially beneficial targets for managing diabetes risk.

摘要

背景

睡眠剥夺和睡眠质量差会导致氧化应激增加、抗氧化失衡和促炎状态,从而增加患糖尿病的风险。我们的目的是评估 C 反应蛋白(CRP)、γ-谷氨酰转移酶(GGT)和微量营养素抗氧化剂(胆红素、类胡萝卜素、尿酸、维生素 A、C-E?)对睡眠-空腹胰岛素浓度与糖化血红蛋白(HbA1c)之间关系的贡献。

方法

使用 2005/06 年美国国家健康和营养调查的数据(=1946;20 岁及以上)。通过睡眠障碍问卷评估睡眠质量和数量,采集空腹血样以定量测定 CRP、GGT、抗氧化微量营养素、胰岛素浓度和 HbA1c。采用自举法估计这些介质对睡眠-胰岛素浓度和睡眠-HbA1c 关系的中介或贡献程度,这些关系的中介或贡献程度被量化为大(≥0.25)或中(≥0.09)。

结果

睡眠-空腹胰岛素关系由 GGT、类胡萝卜素、尿酸和维生素 C、D 介导,而 CRP 和胆红素是中等效应大小的非显著介导物。同样,睡眠-空腹胰岛素关系由 CRP、胆红素和维生素 C 介导,而 GGT、类胡萝卜素、尿酸和维生素 D 是无显著大-中效应大小的介导物。在较小程度上,这些微量营养素介导了睡眠-HbA1c 水平之间的关系。

结论

发现与炎症、氧化应激和抗氧化状态相关的几个因素位于睡眠-胰岛素和血糖控制关系的途径上。睡眠卫生、减少全身炎症/氧化应激和最佳抗氧化剂摄入可能是管理糖尿病风险的潜在目标。

https://cdn.ncbi.nlm.nih.gov/pmc/blobs/d3f1/9218604/df6fdfa6c6c0/fpubh-10-888331-g0001.jpg

文献检索

告别复杂PubMed语法,用中文像聊天一样搜索,搜遍4000万医学文献。AI智能推荐,让科研检索更轻松。

立即免费搜索

文件翻译

保留排版,准确专业,支持PDF/Word/PPT等文件格式,支持 12+语言互译。

免费翻译文档

深度研究

AI帮你快速写综述,25分钟生成高质量综述,智能提取关键信息,辅助科研写作。

立即免费体验