Suppr超能文献

膝关节骨关节炎首发诊断和进展风险的外部验证模型。

Externally validated models for first diagnosis and risk of progression of knee osteoarthritis.

机构信息

School of Computer Science and Mathematics, Liverpool John Moores University, Liverpool, England, United Kingdom.

Research Institute for Sport and Exercise Sciences, Liverpool John Moores University, Liverpool, England, United Kingdom.

出版信息

PLoS One. 2022 Jul 1;17(7):e0270652. doi: 10.1371/journal.pone.0270652. eCollection 2022.

Abstract

OBJECTIVE

We develop and externally validate two models for use with radiological knee osteoarthritis. They consist of a diagnostic model for KOA and a prognostic model of time to onset of KOA. Model development and optimisation used data from the Osteoarthritis initiative (OAI) and external validation for both models was by application to data from the Multicenter Osteoarthritis Study (MOST).

MATERIALS AND METHODS

The diagnostic model at first presentation comprises subjects in the OAI with and without KOA (n = 2006), modelling with multivariate logistic regression. The prognostic sample involves 5-year follow-up of subjects presenting without clinical KOA (n = 1155), with modelling with Cox regression. In both instances the models used training data sets of n = 1353 and 1002 subjects and optimisation used test data sets of n = 1354 and 1003. The external validation data sets for the diagnostic and prognostic models comprised n = 2006 and n = 1155 subjects respectively.

RESULTS

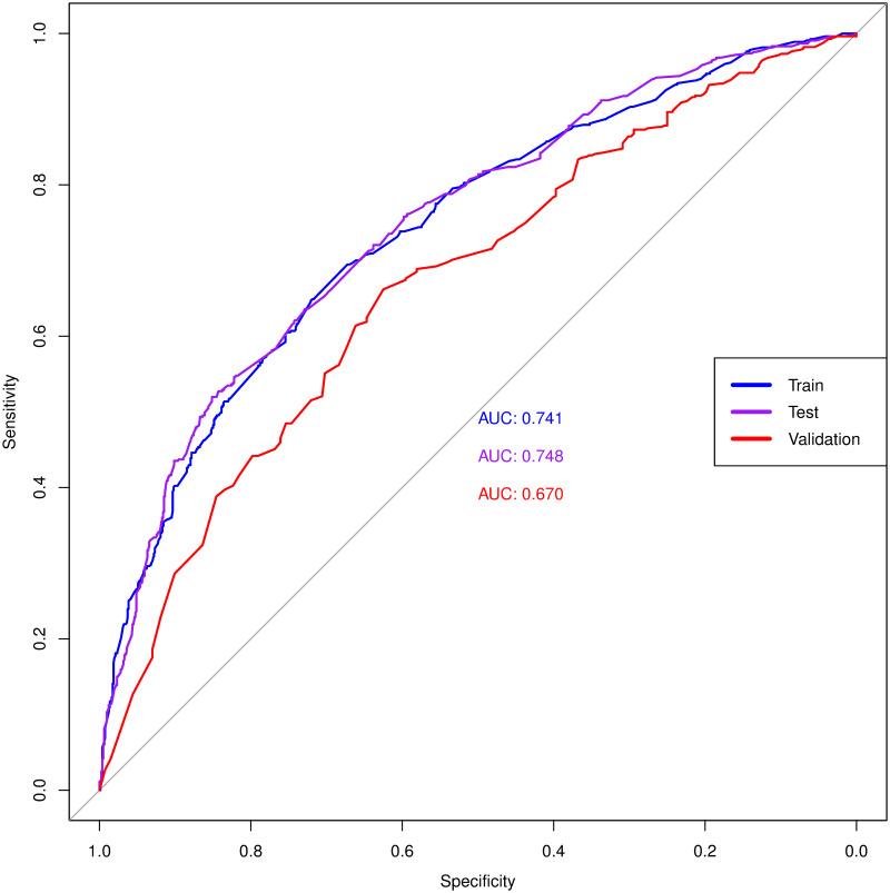
The classification performance of the diagnostic model on the test data has an AUC of 0.748 (0.721-0.774) and 0.670 (0.631-0.708) in external validation. The survival model has concordance scores for the OAI test set of 0.74 (0.7325-0.7439) and in external validation 0.72 (0.7190-0.7373). The survival approach stratified the population into two risk cohorts. The separation between the cohorts remains when the model is applied to the validation data.

DISCUSSION

The models produced are interpretable with app interfaces that implement nomograms. The apps may be used for stratification and for patient education over the impact of modifiable risk factors. The externally validated results, by application to data from a substantial prospective observational study, show the robustness of models for likelihood of presenting with KOA at an initial assessment based on risk factors identified by the OAI protocol and stratification of risk for developing KOA in the next five years.

CONCLUSION

Modelling clinical KOA from OAI data validates well for the MOST data set. Both risk models identified key factors for differentiation of the target population from commonly available variables. With this analysis there is potential to improve clinical management of patients.

摘要

目的

我们开发并验证了两种用于放射学膝关节骨关节炎的模型。它们包括一个用于 KOA 的诊断模型和一个用于 KOA 发病时间的预后模型。模型开发和优化使用了来自骨关节炎倡议(OAI)的数据,两个模型的外部验证都是通过应用于多中心骨关节炎研究(MOST)的数据来进行的。

材料和方法

首次就诊时的诊断模型包括 OAI 中有无 KOA 的患者(n=2006),采用多元逻辑回归建模。预测样本涉及无临床 KOA 的患者的 5 年随访(n=1155),采用 Cox 回归建模。在这两种情况下,模型都使用了 n=1353 和 1002 名患者的训练数据集,并使用了 n=1354 和 1003 名患者的测试数据集进行优化。诊断模型和预后模型的外部验证数据集分别包含 n=2006 和 n=1155 名患者。

结果

诊断模型在测试数据上的分类性能,在内部验证中的 AUC 为 0.748(0.721-0.774)和 0.670(0.631-0.708),外部验证中的 AUC 为 0.670(0.631-0.708)。OAI 测试集的生存模型的一致性得分为 0.74(0.7325-0.7439),外部验证的一致性得分为 0.72(0.7190-0.7373)。生存分析方法将人群分为两个风险队列。当将模型应用于验证数据时,队列之间的分离仍然存在。

讨论

所产生的模型可以通过实现列线图的应用程序接口进行解释。这些应用程序可以用于分层和对患者进行教育,了解可改变的危险因素对疾病的影响。通过将模型应用于来自一项大型前瞻性观察性研究的数据进行外部验证,结果显示,基于 OAI 方案确定的危险因素和未来五年内 KOA 发病风险的分层,基于危险因素对初诊时出现 KOA 的可能性进行建模的方法在 MOST 数据集中验证效果良好。两个风险模型都确定了区分目标人群的关键因素,这些因素来自于常用的变量。通过这种分析,有可能改善患者的临床管理。

https://cdn.ncbi.nlm.nih.gov/pmc/blobs/8d2d/9249202/2bd76c1b3fcf/pone.0270652.g001.jpg

文献AI研究员

20分钟写一篇综述,助力文献阅读效率提升50倍。

立即体验

用中文搜PubMed

大模型驱动的PubMed中文搜索引擎

马上搜索

文档翻译

学术文献翻译模型,支持多种主流文档格式。

立即体验