• 文献检索
  • 文档翻译
  • 深度研究
  • 学术资讯
  • Suppr Zotero 插件Zotero 插件
  • 邀请有礼
  • 套餐&价格
  • 历史记录
应用&插件
Suppr Zotero 插件Zotero 插件浏览器插件Mac 客户端Windows 客户端微信小程序
定价
高级版会员购买积分包购买API积分包
服务
文献检索文档翻译深度研究API 文档MCP 服务
关于我们
关于 Suppr公司介绍联系我们用户协议隐私条款
关注我们

Suppr 超能文献

核心技术专利:CN118964589B侵权必究
粤ICP备2023148730 号-1Suppr @ 2026

文献检索

告别复杂PubMed语法,用中文像聊天一样搜索,搜遍4000万医学文献。AI智能推荐,让科研检索更轻松。

立即免费搜索

文件翻译

保留排版,准确专业,支持PDF/Word/PPT等文件格式,支持 12+语言互译。

免费翻译文档

深度研究

AI帮你快速写综述,25分钟生成高质量综述,智能提取关键信息,辅助科研写作。

立即免费体验

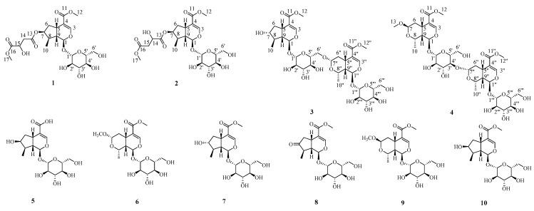
新桃叶珊瑚苷 A-D,四种来自 和果实的新裂环环烯醚萜糖苷及其抗糖尿病活性。

Neocornuside A-D, Four Novel Iridoid Glycosides from Fruits of and Their Antidiabetic Activity.

机构信息

School of Pharmacy, Henan University of Chinese Medicine, Zhengzhou 450046, China.

The Engineering and Technology Center for Chinese Medicine Development of Henan Province China, Zhengzhou 450046, China.

出版信息

Molecules. 2022 Jul 24;27(15):4732. doi: 10.3390/molecules27154732.

DOI:10.3390/molecules27154732
PMID:35897906
原文链接:https://pmc.ncbi.nlm.nih.gov/articles/PMC9331380/
Abstract

Four previously undescribed iridoid glycosides neocornuside A-D (), along with six known ones (), were isolated from fruit. Their structures were elucidated by extensive spectroscopic (NMR, UV, IR, and MS) analysis and comparison with data reported in the literature. All isolates were assessed for their antidiabetic activity on the relative glucose consumption in insulin-induced insulin-resistant HepG2 cells. The results showed that compounds , , and exhibited significant antidiabetic activities with EC values of 0.582, 1.275, and 0.742 μM, respectively. Moreover, compounds , , and could improve the ability of 2-NBDG uptake of insulin-induced HepG2 cells.

摘要

从 果实中分离得到了 4 个以前未描述的裂环环烯醚萜糖苷 neo 玉米素 A-D (),以及 6 个已知的糖苷 ()。通过广泛的光谱 (NMR、UV、IR 和 MS) 分析和与文献报道的数据进行比较,阐明了它们的结构。所有分离物均评估了它们在胰岛素诱导的胰岛素抵抗 HepG2 细胞中相对葡萄糖消耗方面的抗糖尿病活性。结果表明,化合物 、 、 和 表现出显著的抗糖尿病活性,EC 值分别为 0.582、1.275 和 0.742 μM。此外,化合物 、 、 和 可以提高胰岛素诱导的 HepG2 细胞摄取 2-NBDG 的能力。

https://cdn.ncbi.nlm.nih.gov/pmc/blobs/357b/9331380/05003fa23ffc/molecules-27-04732-g007.jpg
https://cdn.ncbi.nlm.nih.gov/pmc/blobs/357b/9331380/dccd12e3cd8e/molecules-27-04732-g001.jpg
https://cdn.ncbi.nlm.nih.gov/pmc/blobs/357b/9331380/dc2491d66bf6/molecules-27-04732-g002.jpg
https://cdn.ncbi.nlm.nih.gov/pmc/blobs/357b/9331380/f03a95b80fd3/molecules-27-04732-g003.jpg
https://cdn.ncbi.nlm.nih.gov/pmc/blobs/357b/9331380/b052825db432/molecules-27-04732-g004.jpg
https://cdn.ncbi.nlm.nih.gov/pmc/blobs/357b/9331380/3d7d32e0e74e/molecules-27-04732-g005.jpg
https://cdn.ncbi.nlm.nih.gov/pmc/blobs/357b/9331380/12efe3562aa9/molecules-27-04732-g006.jpg
https://cdn.ncbi.nlm.nih.gov/pmc/blobs/357b/9331380/05003fa23ffc/molecules-27-04732-g007.jpg
https://cdn.ncbi.nlm.nih.gov/pmc/blobs/357b/9331380/dccd12e3cd8e/molecules-27-04732-g001.jpg
https://cdn.ncbi.nlm.nih.gov/pmc/blobs/357b/9331380/dc2491d66bf6/molecules-27-04732-g002.jpg
https://cdn.ncbi.nlm.nih.gov/pmc/blobs/357b/9331380/f03a95b80fd3/molecules-27-04732-g003.jpg
https://cdn.ncbi.nlm.nih.gov/pmc/blobs/357b/9331380/b052825db432/molecules-27-04732-g004.jpg
https://cdn.ncbi.nlm.nih.gov/pmc/blobs/357b/9331380/3d7d32e0e74e/molecules-27-04732-g005.jpg
https://cdn.ncbi.nlm.nih.gov/pmc/blobs/357b/9331380/12efe3562aa9/molecules-27-04732-g006.jpg
https://cdn.ncbi.nlm.nih.gov/pmc/blobs/357b/9331380/05003fa23ffc/molecules-27-04732-g007.jpg

相似文献

1
Neocornuside A-D, Four Novel Iridoid Glycosides from Fruits of and Their Antidiabetic Activity.新桃叶珊瑚苷 A-D,四种来自 和果实的新裂环环烯醚萜糖苷及其抗糖尿病活性。
Molecules. 2022 Jul 24;27(15):4732. doi: 10.3390/molecules27154732.
2
Four undescribed iridoid glycosides with antidiabetic activity from fruits of Cornus officinalis Sieb. Et Zucc.四种具有降血糖活性的未描述环烯醚萜糖苷类化合物,来自山茱萸科山茱萸的果实。
Fitoterapia. 2023 Mar;165:105393. doi: 10.1016/j.fitote.2022.105393. Epub 2022 Dec 14.
3
Iridoid glycosides from the fruits of Cornus officinalis.山茱萸果实中的环烯醚萜苷
J Asian Nat Prod Res. 2018 Oct;20(10):934-942. doi: 10.1080/10286020.2018.1497609. Epub 2018 Nov 8.
4
Minor iridoid glycosides from the fruits of Cornus officinalis Sieb. et Zucc. and their anti-diabetic bioactivities.山茱萸果实中的微量环烯醚萜苷及其抗糖尿病生物活性。
Phytochemistry. 2023 Jan;205:113505. doi: 10.1016/j.phytochem.2022.113505. Epub 2022 Nov 5.
5
Two unusual novel iridoid glycosides from fruit and their biological activities.从果实中分离得到两个新颖的裂环环烯醚萜糖苷及其生物活性。
J Asian Nat Prod Res. 2023 Sep;25(9):860-866. doi: 10.1080/10286020.2022.2156341. Epub 2022 Dec 15.
6
Secoiridoid glycosides from the fruits of .水飞蓟果实中的环烯醚萜苷类化合物。
Nat Prod Res. 2022 May;36(9):2329-2335. doi: 10.1080/14786419.2020.1834547. Epub 2020 Oct 14.
7
[Chemical constituents from ripe fruit of Cornus officinalis].山茱萸成熟果实的化学成分
Zhongguo Zhong Yao Za Zhi. 2016 Dec;41(24):4605-4609. doi: 10.4268/cjcmm20162419.
8
Cornusides A-O, Bioactive Iridoid Glucoside Dimers from the Fruit of Cornus officinalis.山茱萸 A-O,来自山茱萸果实的生物活性裂环环烯醚萜葡萄糖苷二聚体。
J Nat Prod. 2017 Dec 22;80(12):3103-3111. doi: 10.1021/acs.jnatprod.6b01127. Epub 2017 Nov 15.
9
Unusual cadinane-type sesquiterpene glycosides with α-glucosidase inhibitory activities from the fruit of Cornus officinalis Sieb. et Zuuc.山茱萸果中具有α-葡萄糖苷酶抑制活性的非寻常卡丹烷型倍半萜糖苷
Bioorg Chem. 2019 Feb;82:1-5. doi: 10.1016/j.bioorg.2018.09.026. Epub 2018 Sep 20.
10
Four new iridoid glucosides containing the furan ring from the fruit of Cornus officinalis.从山茱萸果实中分离得到四种含呋喃环的新环烯醚萜苷。
Fitoterapia. 2017 Jul;120:136-141. doi: 10.1016/j.fitote.2017.06.003. Epub 2017 Jun 15.

引用本文的文献

1
7-α-O-Methylmorroniside ameliorated brain injury in 5×FAD mice by regulating the gut microbiome and NMDAR2B.7-α-O-甲基莫诺苷通过调节肠道微生物群和NMDAR2B改善5×FAD小鼠的脑损伤。
Front Pharmacol. 2025 May 30;16:1545566. doi: 10.3389/fphar.2025.1545566. eCollection 2025.
2
-Iridoids: Occurrence, Chemophenetic Evaluation and Biological Activities-A Review.-环烯醚萜类化合物:分布、化学分类学评价及生物活性——综述
Molecules. 2024 Nov 28;29(23):5646. doi: 10.3390/molecules29235646.

本文引用的文献

1
Cornuside ameliorates cognitive impairments in scopolamine induced AD mice: Involvement of neurotransmitter and oxidative stress.山茱萸苷改善东莨菪碱诱导的AD小鼠的认知障碍:神经递质和氧化应激的作用
J Ethnopharmacol. 2022 Jul 15;293:115252. doi: 10.1016/j.jep.2022.115252. Epub 2022 Apr 9.
2
Potential for Prebiotic Stabilized L. Lyophilized Extract in the Prophylaxis of Diabetes Mellitus in Streptozotocin Diabetic Rats.益生元稳定化的嗜酸乳杆菌冻干提取物在链脲佐菌素诱导的糖尿病大鼠中预防糖尿病的潜力。
Antioxidants (Basel). 2022 Feb 14;11(2):380. doi: 10.3390/antiox11020380.
3
Antioxidant, Anti-Inflammatory, and Anti-Diabetic Activity of Phenolic Acids Fractions Obtained from (L.) Juss.
从 (L.)Juss. 中获得的酚酸类化合物的抗氧化、抗炎和抗糖尿病活性。
Molecules. 2021 Jun 8;26(12):3486. doi: 10.3390/molecules26123486.
4
A chromosome-level Camptotheca acuminata genome assembly provides insights into the evolutionary origin of camptothecin biosynthesis.一个染色体级别的喜树基因组组装为喜树碱生物合成的进化起源提供了新见解。
Nat Commun. 2021 Jun 10;12(1):3531. doi: 10.1038/s41467-021-23872-9.
5
Iridoids, Flavonoids, and Antioxidant Capacity of , and × Fruits.瓜蒌、苦瓜和丝瓜果实中环烯醚萜、黄酮和抗氧化能力的比较。
Biomolecules. 2021 May 21;11(6):776. doi: 10.3390/biom11060776.
6
Potential valorization of Cornelian cherry (Cornus mas L.) stones: Roasting and extraction of bioactive and volatile compounds.Cornelian cherry (Cornus mas L.) 石的潜在增值:生物活性和挥发性化合物的烘焙和提取。
Food Chem. 2021 Oct 1;358:129802. doi: 10.1016/j.foodchem.2021.129802. Epub 2021 Apr 20.
7
Secoiridoid glycosides from the fruits of .水飞蓟果实中的环烯醚萜苷类化合物。
Nat Prod Res. 2022 May;36(9):2329-2335. doi: 10.1080/14786419.2020.1834547. Epub 2020 Oct 14.
8
Active Components and Pharmacological Effects of : Literature Review.《[具体内容]的活性成分与药理作用:文献综述》 (这里因为原文冒号前不完整,所以译文补充完整的话需要加上具体是什么的综述,你可根据实际情况修改)
Front Pharmacol. 2021 Apr 12;12:633447. doi: 10.3389/fphar.2021.633447. eCollection 2021.
9
Structural elucidation and antidiabetic activity of fucosylated chondroitin sulfate from sea cucumber Stichopus japonicas.从海参中提取的岩藻糖基硫酸软骨素的结构阐明和抗糖尿病活性。
Carbohydr Polym. 2021 Jun 15;262:117969. doi: 10.1016/j.carbpol.2021.117969. Epub 2021 Mar 20.
10
Loganic Acid, an Iridoid Glycoside Extracted from L. Fruits, Reduces of Carbonyl/Oxidative Stress Biomarkers in Plasma and Restores Antioxidant Balance in Leukocytes of Rats with Streptozotocin-Induced Diabetes Mellitus.马钱子酸,一种从马钱子果实中提取的环烯醚萜苷,可降低链脲佐菌素诱导的糖尿病大鼠血浆中的羰基/氧化应激生物标志物,并恢复白细胞中的抗氧化平衡。
Life (Basel). 2020 Dec 15;10(12):349. doi: 10.3390/life10120349.