Suppr超能文献

新冠疫苗接种犹豫的全球流行率及潜在影响因素:一项荟萃分析

Global Prevalence and Potential Influencing Factors of COVID-19 Vaccination Hesitancy: A Meta-Analysis.

作者信息

Fajar Jonny Karunia, Sallam Malik, Soegiarto Gatot, Sugiri Yani Jane, Anshory Muhammad, Wulandari Laksmi, Kosasih Stephanie Astrid Puspitasari, Ilmawan Muhammad, Kusnaeni Kusnaeni, Fikri Muhammad, Putri Frilianty, Hamdi Baitul, Pranatasari Izza Dinalhaque, Aina Lily, Maghfiroh Lailatul, Ikhriandanti Fernanda Septi, Endiaverni Wa Ode, Nugraha Krisna Wahyu, Wiranudirja Ory, Edinov Sally, Hamdani Ujang, Rosyidah Lathifatul, Lubaba Hanny, Ariwibowo Rinto, Andistyani Riska, Fitriani Ria, Hasanah Miftahul, Nafis Fardha Ad Durrun, Tamara Fredo, Latamu Fitri Olga, Kusuma Hendrix Indra, Rabaan Ali A, Alhumaid Saad, Mutair Abbas Al, Garout Mohammed, Halwani Muhammad A, Alfaresi Mubarak, Al Azmi Reyouf, Alasiri Nada A, Alshukairi Abeer N, Dhama Kuldeep, Harapan Harapan

机构信息

Brawijaya Internal Medicine Research Center, Department of Internal Medicine, Faculty of Medicine, Universitas Brawijaya, Malang 65145, Indonesia.

Department of Pathology, Microbiology and Forensic Medicine, School of Medicine, The University of Jordan, Amman 11942, Jordan.

出版信息

Vaccines (Basel). 2022 Aug 19;10(8):1356. doi: 10.3390/vaccines10081356.

Abstract

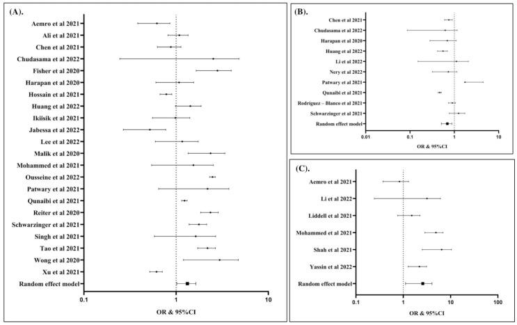
Countries worldwide have deployed mass COVID-19 vaccination drives, but there are people who are hesitant to receive the vaccine. Studies assessing the factors associated with COVID-19 vaccination hesitancy are inconclusive. This study aimed to assess the global prevalence of COVID-19 vaccination hesitancy and determine the potential factors associated with such hesitancy. We performed an organized search for relevant articles in PubMed, Scopus, and Web of Science. Extraction of the required information was performed for each study. A single-arm meta-analysis was performed to determine the global prevalence of COVID-19 vaccination hesitancy; the potential factors related to vaccine hesitancy were analyzed using a Z-test. A total of 56 articles were included in our analysis. We found that the global prevalence of COVID-19 vaccination hesitancy was 25%. Being a woman, being a 50-year-old or younger, being single, being unemployed, living in a household with five or more individuals, having an educational attainment lower than an undergraduate degree, having a non-healthcare-related job and considering COVID-19 vaccines to be unsafe were associated with a higher risk of vaccination hesitancy. In contrast, living with children at home, maintaining physical distancing norms, having ever tested for COVID-19, and having a history of influenza vaccination in the past few years were associated with a lower risk of hesitancy to COVID-19 vaccination. Our study provides valuable information on COVID-19 vaccination hesitancy, and we recommend special interventions in the sub-populations with increased risk to reduce COVID-19 vaccine hesitancy.

摘要

全球各国都开展了大规模的新冠疫苗接种活动,但仍有一些人对接种疫苗犹豫不决。评估与新冠疫苗接种犹豫相关因素的研究尚无定论。本研究旨在评估全球新冠疫苗接种犹豫的流行情况,并确定与此类犹豫相关的潜在因素。我们在PubMed、Scopus和Web of Science上有组织地搜索相关文章。对每项研究进行所需信息的提取。进行单臂荟萃分析以确定全球新冠疫苗接种犹豫的流行情况;使用Z检验分析与疫苗犹豫相关的潜在因素。我们的分析共纳入了56篇文章。我们发现,全球新冠疫苗接种犹豫的流行率为25%。女性、年龄在50岁及以下、单身、失业、生活在五口或五口以上的家庭、教育程度低于本科学历、从事与医疗保健无关的工作以及认为新冠疫苗不安全,这些因素与更高的接种犹豫风险相关。相比之下,家中有孩子、保持社交距离规范、曾接受过新冠病毒检测以及在过去几年中有流感疫苗接种史,这些因素与较低的新冠疫苗接种犹豫风险相关。我们的研究提供了关于新冠疫苗接种犹豫的宝贵信息,我们建议对风险增加的亚人群采取特殊干预措施,以减少新冠疫苗犹豫。

https://cdn.ncbi.nlm.nih.gov/pmc/blobs/51c2/9412456/b8aa5eceef7e/vaccines-10-01356-g001.jpg

文献AI研究员

20分钟写一篇综述,助力文献阅读效率提升50倍。

立即体验

用中文搜PubMed

大模型驱动的PubMed中文搜索引擎

马上搜索

文档翻译

学术文献翻译模型,支持多种主流文档格式。

立即体验