Suppr超能文献

如果疫苗上市,新冠封锁是应该放宽还是加强?

Should the COVID-19 lockdown be relaxed or intensified in case a vaccine becomes available?

机构信息

Dipartimento di Matematica Tullio Levi-Civita, Università degli Studi di Padova, Padova, Italy.

International Institute for Applied Systems Analysis (IIASA), Laxenburg, Austria.

出版信息

PLoS One. 2022 Sep 2;17(9):e0273557. doi: 10.1371/journal.pone.0273557. eCollection 2022.

Abstract

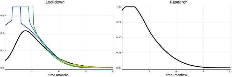
Immediately after the start of the COVID-19 pandemic in Early 2020, most affected countries reacted with strict lockdown to limit the spread of the virus. Since that time, the measures were adapted on a short time basis according to certain numbers (i.e., number of infected, utilization of intensive care units). Implementing a long-term optimal strategy was not possible since a forecast when R&D will succeed in developing an effective vaccination was not available. Our paper closes this gap by assuming a stochastic arrival rate of the COVID-19 vaccine with the corresponding change in the optimal policy regarding the accompanying optimal lockdown measures. The first finding is that the lockdown should be intensified after the vaccine approval if the pace of the vaccination campaign is rather slow. Secondly, the anticipation of the vaccination arrival also leads to a stricter lockdown in the period without vaccination. For both findings, an intuitive explanation is offered.

摘要

2020 年初 COVID-19 大流行开始后,大多数受影响的国家立即采取严格的封锁措施来限制病毒传播。从那时起,根据某些数字(即感染人数、重症监护病房的使用情况)在短时间内调整了这些措施。由于无法预测研发工作何时成功开发出有效的疫苗,因此无法实施长期的最佳策略。我们的论文通过假设 COVID-19 疫苗的随机到达率以及伴随的最佳封锁措施的相应变化,弥补了这一差距。第一个发现是,如果疫苗接种运动进展缓慢,那么在疫苗批准后应该加强封锁。其次,对疫苗到来的预期也会导致在没有接种疫苗的时期实行更严格的封锁。对于这两个发现,我们都给出了直观的解释。

https://cdn.ncbi.nlm.nih.gov/pmc/blobs/b5b4/9439227/638ac8b51b07/pone.0273557.g001.jpg

文献AI研究员

20分钟写一篇综述,助力文献阅读效率提升50倍。

立即体验

用中文搜PubMed

大模型驱动的PubMed中文搜索引擎

马上搜索

文档翻译

学术文献翻译模型,支持多种主流文档格式。

立即体验