• 文献检索
  • 文档翻译
  • 深度研究
  • 学术资讯
  • Suppr Zotero 插件Zotero 插件
  • 邀请有礼
  • 套餐&价格
  • 历史记录
应用&插件
Suppr Zotero 插件Zotero 插件浏览器插件Mac 客户端Windows 客户端微信小程序
定价
高级版会员购买积分包购买API积分包
服务
文献检索文档翻译深度研究API 文档MCP 服务
关于我们
关于 Suppr公司介绍联系我们用户协议隐私条款
关注我们

Suppr 超能文献

核心技术专利:CN118964589B侵权必究
粤ICP备2023148730 号-1Suppr @ 2026

文献检索

告别复杂PubMed语法,用中文像聊天一样搜索,搜遍4000万医学文献。AI智能推荐,让科研检索更轻松。

立即免费搜索

文件翻译

保留排版,准确专业,支持PDF/Word/PPT等文件格式,支持 12+语言互译。

免费翻译文档

深度研究

AI帮你快速写综述,25分钟生成高质量综述,智能提取关键信息,辅助科研写作。

立即免费体验

心肺运动试验期间用于心率测量的商用智能手环的准确性和有效性

Accuracy and Validity of Commercial Smart Bands for Heart Rate Measurements During Cardiopulmonary Exercise Test.

作者信息

Kim Chul, Kim Seung Hyoun, Suh Mi Rim

机构信息

Department of Rehabilitation Medicine, Sanggye Paik Hospital, Inje University College of Medicine, Seoul, Korea.

Department of Rehabilitation Medicine, Sanggye Paik Hospital, Seoul, Korea.

出版信息

Ann Rehabil Med. 2022 Aug;46(4):209-218. doi: 10.5535/arm.22050. Epub 2022 Aug 31.

DOI:10.5535/arm.22050
PMID:36071003
原文链接:https://pmc.ncbi.nlm.nih.gov/articles/PMC9452288/
Abstract

OBJECTIVE

To assess the accuracies and validities of popular smart bands for heart rate (HR) measurement in cardiovascular disease (CVD) patients during a graded exercise test (GXT).

METHODS

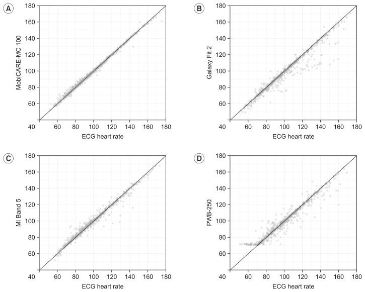
Seventy-eight patients were randomly assigned to wear two different smart bands out of three possible choices: Samsung Galaxy Fit 2, Xiaomi Mi Band 5, or Partron PWB-250 on each wrist. A 12-lead exercise electrocardiogram (ECG) and patch-type single-lead ECG were used to assess the comparative HR accuracy of the smart bands. The HR was recorded during the GXT using the modified Bruce protocol.

RESULTS

The concordance correlation coefficients (rc) were calculated to provide a measure of agreement between each device and the ECG. In all conditions, the Mi Band 5 and Galaxy Fit 2' correlations were rc>0.90, while the PWB-250 correlation was rc=0.58 at rest. When evaluating the accuracy according to the magnitude of HR, all smart bands performed well (rc>0.90) when the HR was below 100 but accuracy tended to decrease with higher HR values.

CONCLUSION

This study showed that the three smart bands had a high level of accuracy for HR measurements during low-intensity exercise. However, during moderate-intensity and high-intensity exercise, all the three smart bands performed less accurately. Further studies are needed to find a more optimal smart band for HR measurement that can be used for precise HR monitoring during formal cardiac rehabilitation exercise training, including at high and maximal intensity (Clinical Trial Registration No. cris.nih.go.kr/KCT0007036).

摘要

目的

评估在分级运动试验(GXT)期间,流行的智能手环用于测量心血管疾病(CVD)患者心率(HR)的准确性和有效性。

方法

78名患者被随机分配在每只手腕佩戴三种可能选择中的两种不同智能手环:三星Galaxy Fit 2、小米手环5或Partron PWB - 250。使用12导联运动心电图(ECG)和贴片式单导联ECG评估智能手环的比较HR准确性。在GXT期间使用改良的布鲁斯方案记录HR。

结果

计算一致性相关系数(rc)以衡量每个设备与ECG之间的一致性。在所有情况下,手环5和Galaxy Fit 2的相关性为rc>0.90,而PWB - 250在静息时的相关性为rc = 0.58。根据HR幅度评估准确性时,当HR低于100时,所有智能手环表现良好(rc>0.90),但随着HR值升高,准确性趋于下降。

结论

本研究表明,这三款智能手环在低强度运动期间测量HR具有较高的准确性。然而,在中等强度和高强度运动期间,这三款智能手环的表现均不太准确。需要进一步研究以找到更适合HR测量的智能手环,可用于正式心脏康复运动训练期间的精确HR监测,包括高强度和最大强度(临床试验注册号:cris.nih.go.kr/KCT0007036)。

https://cdn.ncbi.nlm.nih.gov/pmc/blobs/ecaa/9452288/6b9439df0df4/arm-22050f4.jpg
https://cdn.ncbi.nlm.nih.gov/pmc/blobs/ecaa/9452288/e4c68fb44339/arm-22050f1.jpg
https://cdn.ncbi.nlm.nih.gov/pmc/blobs/ecaa/9452288/9ba6efdfe221/arm-22050f2.jpg
https://cdn.ncbi.nlm.nih.gov/pmc/blobs/ecaa/9452288/3b9684935051/arm-22050f3.jpg
https://cdn.ncbi.nlm.nih.gov/pmc/blobs/ecaa/9452288/6b9439df0df4/arm-22050f4.jpg
https://cdn.ncbi.nlm.nih.gov/pmc/blobs/ecaa/9452288/e4c68fb44339/arm-22050f1.jpg
https://cdn.ncbi.nlm.nih.gov/pmc/blobs/ecaa/9452288/9ba6efdfe221/arm-22050f2.jpg
https://cdn.ncbi.nlm.nih.gov/pmc/blobs/ecaa/9452288/3b9684935051/arm-22050f3.jpg
https://cdn.ncbi.nlm.nih.gov/pmc/blobs/ecaa/9452288/6b9439df0df4/arm-22050f4.jpg

相似文献

1
Accuracy and Validity of Commercial Smart Bands for Heart Rate Measurements During Cardiopulmonary Exercise Test.心肺运动试验期间用于心率测量的商用智能手环的准确性和有效性
Ann Rehabil Med. 2022 Aug;46(4):209-218. doi: 10.5535/arm.22050. Epub 2022 Aug 31.
2
Wristbands in Home-Based Rehabilitation-Validation of Heart Rate Measurement.基于家庭康复的腕带-心率测量验证。
Sensors (Basel). 2021 Dec 23;22(1):60. doi: 10.3390/s22010060.
3
Variable Accuracy of Wearable Heart Rate Monitors during Aerobic Exercise.有氧运动期间可穿戴式心率监测器的准确性差异
Med Sci Sports Exerc. 2017 Aug;49(8):1697-1703. doi: 10.1249/MSS.0000000000001284.
4
Accuracy of Apple Watch Measurements for Heart Rate and Energy Expenditure in Patients With Cardiovascular Disease: Cross-Sectional Study.Apple Watch 在心血管疾病患者的心率和能量消耗测量中的准确性:横断面研究。
JMIR Mhealth Uhealth. 2019 Mar 19;7(3):e11889. doi: 10.2196/11889.
5
Validation of Wearable Digital Devices for Heart Rate Measurement During Exercise Test in Patients With Coronary Artery Disease.冠心病患者运动试验期间用于心率测量的可穿戴数字设备的验证
Ann Rehabil Med. 2023 Aug;47(4):261-271. doi: 10.5535/arm.23019. Epub 2023 Aug 4.
6
Assessing Accuracy of Wrist-Worn Wearable Devices in Measurement of Paroxysmal Supraventricular Tachycardia Heart Rate.评估腕戴式可穿戴设备测量阵发性室上性心动过速心率的准确性。
Korean Circ J. 2019 May;49(5):437-445. doi: 10.4070/kcj.2018.0323. Epub 2019 Feb 11.
7
Accuracy of wearable heart rate monitors in cardiac rehabilitation.可穿戴式心率监测器在心脏康复中的准确性。
Cardiovasc Diagn Ther. 2019 Jun;9(3):262-271. doi: 10.21037/cdt.2019.04.08.
8
Heart Rate Measurement Accuracy of Fitbit Charge 4 and Samsung Galaxy Watch Active2: Device Evaluation Study.Fitbit Charge 4和三星Galaxy Watch Active2的心率测量准确性:设备评估研究。
JMIR Form Res. 2022 Mar 1;6(3):e33635. doi: 10.2196/33635.
9
Heart rate measures from the Apple Watch, Fitbit Charge HR 2, and electrocardiogram across different exercise intensities.Apple Watch、Fitbit Charge HR 2 以及心电图在不同运动强度下的心率测量。
J Sports Sci. 2019 Jun;37(12):1411-1419. doi: 10.1080/02640414.2018.1560644. Epub 2019 Jan 18.
10
Comparing a Fitbit Wearable to an Electrocardiogram Gold Standard as a Measure of Heart Rate Under Psychological Stress: A Validation Study.将Fitbit可穿戴设备与心电图金标准进行比较,以此作为心理应激下心率测量方法的验证研究。
JMIR Form Res. 2022 Dec 21;6(12):e37885. doi: 10.2196/37885.

引用本文的文献

1
Validation of the Use of a Smart Band in Recording Spatiotemporal Gait Parameters in the 6-Minute Walk Test.智能手环在6分钟步行试验中记录时空步态参数的应用验证
Sensors (Basel). 2025 Apr 21;25(8):2621. doi: 10.3390/s25082621.
2
An Evaluation of the Effect of App-Based Exercise Prescription Using Reinforcement Learning on Satisfaction and Exercise Intensity: Randomized Crossover Trial.基于强化学习的应用程序运动处方对满意度和运动强度影响的评估:随机交叉试验
JMIR Mhealth Uhealth. 2024 Nov 26;12:e49443. doi: 10.2196/49443.
3
The Accessibility and Effect of Cardiac Rehabilitation in COVID-19 Pandemic Era.

本文引用的文献

1
COMPARISON OF WEARABLES FOR SELF-MONITORING OF HEART RATE IN CORONARY REHABILITATION PATIENTS.可穿戴设备在冠心病康复患者心率自我监测中的比较。
Georgian Med News. 2021 Jun(315):78-85.
2
Cardiac telerehabilitation as an alternative to centre-based cardiac rehabilitation.心脏远程康复作为基于中心的心脏康复的替代方案。
Neth Heart J. 2020 Sep;28(9):443-451. doi: 10.1007/s12471-020-01432-y.
3
Accuracy of Optical Heart Rate Sensing Technology in Wearable Fitness Trackers for Young and Older Adults: Validation and Comparison Study.
新冠疫情时代心脏康复的可及性与效果
Ann Rehabil Med. 2024 Aug;48(4):249-258. doi: 10.5535/arm.240021. Epub 2024 Jul 30.
4
Validation of Wearable Digital Devices for Heart Rate Measurement During Exercise Test in Patients With Coronary Artery Disease.冠心病患者运动试验期间用于心率测量的可穿戴数字设备的验证
Ann Rehabil Med. 2023 Aug;47(4):261-271. doi: 10.5535/arm.23019. Epub 2023 Aug 4.
5
Women's Involvement in Steady Exercise (WISE): Study Protocol for a Randomized Controlled Trial.女性参与稳定运动(WISE):一项随机对照试验的研究方案
Healthcare (Basel). 2023 Apr 29;11(9):1279. doi: 10.3390/healthcare11091279.
可穿戴健身追踪器中光学心率感应技术在年轻和老年成年人中的准确性:验证和比较研究。
JMIR Mhealth Uhealth. 2020 Apr 28;8(4):e14707. doi: 10.2196/14707.
4
Accuracy of commercially available heart rate monitors in athletes: a prospective study.商用心率监测仪在运动员中的准确性:一项前瞻性研究。
Cardiovasc Diagn Ther. 2019 Aug;9(4):379-385. doi: 10.21037/cdt.2019.06.05.
5
Accuracy of wearable heart rate monitors in cardiac rehabilitation.可穿戴式心率监测器在心脏康复中的准确性。
Cardiovasc Diagn Ther. 2019 Jun;9(3):262-271. doi: 10.21037/cdt.2019.04.08.
6
Accuracy of Apple Watch Measurements for Heart Rate and Energy Expenditure in Patients With Cardiovascular Disease: Cross-Sectional Study.Apple Watch 在心血管疾病患者的心率和能量消耗测量中的准确性:横断面研究。
JMIR Mhealth Uhealth. 2019 Mar 19;7(3):e11889. doi: 10.2196/11889.
7
Validity of wrist-worn consumer products to measure heart rate and energy expenditure.腕戴式消费产品用于测量心率和能量消耗的有效性。
Digit Health. 2018 Apr 13;4:2055207618770322. doi: 10.1177/2055207618770322. eCollection 2018 Jan-Dec.
8
Barriers to Outpatient Hospital-Based Cardiac Rehabilitation in Korean Patients With Acute Coronary Syndrome.韩国急性冠状动脉综合征患者基于医院门诊心脏康复的障碍
Ann Rehabil Med. 2018 Feb;42(1):154-165. doi: 10.5535/arm.2018.42.1.154. Epub 2018 Feb 28.
9
2017 ESC Guidelines for the management of acute myocardial infarction in patients presenting with ST-segment elevation: The Task Force for the management of acute myocardial infarction in patients presenting with ST-segment elevation of the European Society of Cardiology (ESC).2017年欧洲心脏病学会(ESC)ST段抬高型急性心肌梗死患者管理指南:欧洲心脏病学会(ESC)ST段抬高型急性心肌梗死患者管理工作组
Eur Heart J. 2018 Jan 7;39(2):119-177. doi: 10.1093/eurheartj/ehx393.
10
Variable Accuracy of Wearable Heart Rate Monitors during Aerobic Exercise.有氧运动期间可穿戴式心率监测器的准确性差异
Med Sci Sports Exerc. 2017 Aug;49(8):1697-1703. doi: 10.1249/MSS.0000000000001284.