Suppr超能文献

用于 COVID-19 的天然产物的调查和潜在治疗方法:计算机辅助药物设计视角。

investigation and potential therapeutic approaches of natural products for COVID-19: Computer-aided drug design perspective.

机构信息

Department of Pharmacy, Faculty of Allied Health Sciences, Daffodil International University, Dhaka, Bangladesh.

Department of Pharmacy, BGC Trust University Bangladesh, Chittagong, Bangladesh.

出版信息

Front Cell Infect Microbiol. 2022 Aug 22;12:929430. doi: 10.3389/fcimb.2022.929430. eCollection 2022.

Abstract

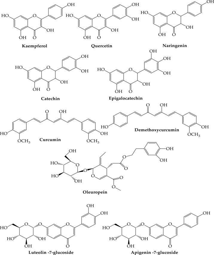
The severe acute respiratory syndrome coronavirus 2 (SARS-CoV-2) has caused a substantial number of deaths around the world, making it a serious and pressing public health hazard. Phytochemicals could thus provide a rich source of potent and safer anti-SARS-CoV-2 drugs. The absence of approved treatments or vaccinations continues to be an issue, forcing the creation of new medicines. Computer-aided drug design has helped to speed up the drug research and development process by decreasing costs and time. Natural compounds like terpenoids, alkaloids, polyphenols, and flavonoid derivatives have a perfect impact against viral replication and facilitate future studies in novel drug discovery. This would be more effective if collaboration took place between governments, researchers, clinicians, and traditional medicine practitioners' safe and effective therapeutic research. Through a computational approach, this study aims to contribute to the development of effective treatment methods by examining the mechanisms relating to the binding and subsequent inhibition of SARS-CoV-2 ribonucleic acid (RNA)-dependent RNA polymerase (RdRp). The method has also been employed to determine the most effective drug among the mentioned compound and their aquatic, nonaquatic, and pharmacokinetics' data have been analyzed. The highest binding energy has been reported -11.4 kcal/mol against SARS-CoV-2 main protease (7MBG) in L05. Besides, all the ligands are non-carcinogenic, excluding L04, and have good water solubility and no AMES toxicity. The discovery of preclinical drug candidate molecules and the structural elucidation of pharmacological therapeutic targets have expedited both structure-based and ligand-based drug design. This review article will assist physicians and researchers in realizing the enormous potential of computer-aided drug design in the design and discovery of therapeutic molecules, and hence in the treatment of deadly diseases.

摘要

严重急性呼吸综合征冠状病毒 2 (SARS-CoV-2) 在全球范围内造成了大量死亡,是一个严重且紧迫的公共卫生危害。植物化学物质因此可以为强效和更安全的抗 SARS-CoV-2 药物提供丰富的来源。缺乏经过批准的治疗方法或疫苗仍然是一个问题,迫使人们开发新的药物。计算机辅助药物设计通过降低成本和时间,有助于加快药物研究和开发过程。萜类化合物、生物碱、多酚和类黄酮衍生物等天然化合物对病毒复制具有很好的抑制作用,有助于未来进行新型药物发现的研究。如果政府、研究人员、临床医生和传统医学从业者之间能够合作,进行安全有效的治疗研究,这将更加有效。通过计算方法,本研究旨在通过研究与 SARS-CoV-2 核糖核酸 (RNA)-依赖性 RNA 聚合酶 (RdRp) 的结合和随后抑制相关的机制,为开发有效的治疗方法做出贡献。该方法还用于确定所提到的化合物中最有效的药物,分析了它们的水相、非水相和药代动力学数据。报告了最高的结合能为-11.4 kcal/mol,针对 SARS-CoV-2 主要蛋白酶 (7MBG) 在 L05 中。此外,所有配体均非致癌,除了 L04,并且具有良好的水溶性和无 AMES 毒性。临床前药物候选分子的发现和药理学治疗靶点的结构阐明,加速了基于结构和基于配体的药物设计。这篇综述文章将帮助医生和研究人员认识到计算机辅助药物设计在设计和发现治疗分子方面的巨大潜力,从而治疗致命疾病。

https://cdn.ncbi.nlm.nih.gov/pmc/blobs/6253/9441699/fdc80fed823a/fcimb-12-929430-g001.jpg

文献检索

告别复杂PubMed语法,用中文像聊天一样搜索,搜遍4000万医学文献。AI智能推荐,让科研检索更轻松。

立即免费搜索

文件翻译

保留排版,准确专业,支持PDF/Word/PPT等文件格式,支持 12+语言互译。

免费翻译文档

深度研究

AI帮你快速写综述,25分钟生成高质量综述,智能提取关键信息,辅助科研写作。

立即免费体验