• 文献检索
  • 文档翻译
  • 深度研究
  • 学术资讯
  • Suppr Zotero 插件Zotero 插件
  • 邀请有礼
  • 套餐&价格
  • 历史记录
应用&插件
Suppr Zotero 插件Zotero 插件浏览器插件Mac 客户端Windows 客户端微信小程序
定价
高级版会员购买积分包购买API积分包
服务
文献检索文档翻译深度研究API 文档MCP 服务
关于我们
关于 Suppr公司介绍联系我们用户协议隐私条款
关注我们

Suppr 超能文献

核心技术专利:CN118964589B侵权必究
粤ICP备2023148730 号-1Suppr @ 2026

文献检索

告别复杂PubMed语法,用中文像聊天一样搜索,搜遍4000万医学文献。AI智能推荐,让科研检索更轻松。

立即免费搜索

文件翻译

保留排版,准确专业,支持PDF/Word/PPT等文件格式,支持 12+语言互译。

免费翻译文档

深度研究

AI帮你快速写综述,25分钟生成高质量综述,智能提取关键信息,辅助科研写作。

立即免费体验

对慢性癌症相关疲劳患者使用基于智能手机的生态瞬时评估和个性化反馈:一项概念验证研究。

Using smartphone-based ecological momentary assessment and personalized feedback for patients with chronic cancer-related fatigue: A proof-of-concept study.

作者信息

Bootsma Tom I, Schellekens Melanie P J, van Woezik Rosalie A M, Slatman Jenny, van der Lee Marije L

机构信息

Helen Dowling Institute, Center for Psycho-Oncology, Scientific Research Department, Bilthoven, the Netherlands.

Tilburg University, School of Humanities and Digital Sciences, Department of Culture Studies, Tilburg, the Netherlands.

出版信息

Internet Interv. 2022 Aug 24;30:100568. doi: 10.1016/j.invent.2022.100568. eCollection 2022 Dec.

DOI:10.1016/j.invent.2022.100568
PMID:36072334
原文链接:https://pmc.ncbi.nlm.nih.gov/articles/PMC9441302/
Abstract

INTRODUCTION

Chronic cancer-related fatigue (CCRF) is a complex multidimensional problem warranting person-centered care. Providing patients and therapists personalized feedback based on network analysis applied to ecological momentary assessment (EMA) data could facilitate case conceptualization in psycho-oncological care. The aim was to explore patients' and therapists' experiences of using an EMA app and personalized feedback based on network theory to aid case conceptualization in psycho-oncological care.

METHODS

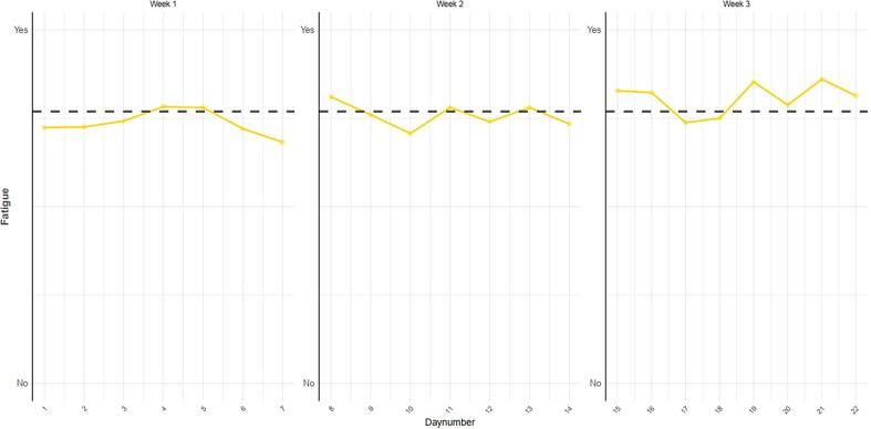
A n = 5 proof-of-concept study was implemented in routine psycho-oncological care. We purposively selected adult cancer patients suffering from severe CCRF who were on the waitlist for psycho-oncological care. During a 3-week period participants filled out the EMA app (fatigue, mood, activity, responding, and context) five times a day. Participants received a descriptive and network feedback report, which they reflected upon during the first therapy sessions. Thematic analysis was used to analyze user experiences.

RESULTS

Patients experienced that filling out the app, as well as receiving descriptive and network-based personalized feedback provided them with insight into their CCRF. Although therapists experienced the discussion of network feedback as challenging, it facilitated the case conceptualization.

DISCUSSION

Using EMA during waitlist for psychological care seemed feasible. Patients experienced beneficial effects from filling out the EMA app and talking over the personalized feedback reports, which in turn aided case conceptualization and personalized care. Based on this evaluation, an improved version of the app and a therapist training for providing network feedback is developed for implementation in psycho-oncological care.

摘要

引言

慢性癌症相关疲劳(CCRF)是一个复杂的多维度问题,需要以患者为中心的护理。基于应用于生态瞬时评估(EMA)数据的网络分析为患者和治疗师提供个性化反馈,有助于心理肿瘤护理中的病例概念化。目的是探索患者和治疗师使用EMA应用程序以及基于网络理论的个性化反馈以辅助心理肿瘤护理中病例概念化的体验。

方法

在常规心理肿瘤护理中实施了一项n = 5的概念验证研究。我们有目的地选择了患有严重CCRF且在心理肿瘤护理等候名单上的成年癌症患者。在为期3周的时间里,参与者每天填写5次EMA应用程序(疲劳、情绪、活动、反应和背景)。参与者收到一份描述性和基于网络的反馈报告,并在首次治疗会议期间对其进行反思。采用主题分析法分析用户体验。

结果

患者体验到填写应用程序以及收到描述性和基于网络的个性化反馈使他们对自己的CCRF有了深入了解。尽管治疗师认为讨论网络反馈具有挑战性,但它有助于病例概念化。

讨论

在心理护理等候名单期间使用EMA似乎是可行的。患者从填写EMA应用程序和讨论个性化反馈报告中体验到了有益效果,这反过来又有助于病例概念化和个性化护理。基于此评估,开发了该应用程序的改进版本以及用于提供网络反馈的治疗师培训,以便在心理肿瘤护理中实施。

https://cdn.ncbi.nlm.nih.gov/pmc/blobs/49ca/9441302/a919c0ad23ae/fx2.jpg
https://cdn.ncbi.nlm.nih.gov/pmc/blobs/49ca/9441302/83b254758d62/gr1.jpg
https://cdn.ncbi.nlm.nih.gov/pmc/blobs/49ca/9441302/2f6443e15762/gr2.jpg
https://cdn.ncbi.nlm.nih.gov/pmc/blobs/49ca/9441302/7af071589f2b/fx1.jpg
https://cdn.ncbi.nlm.nih.gov/pmc/blobs/49ca/9441302/a919c0ad23ae/fx2.jpg
https://cdn.ncbi.nlm.nih.gov/pmc/blobs/49ca/9441302/83b254758d62/gr1.jpg
https://cdn.ncbi.nlm.nih.gov/pmc/blobs/49ca/9441302/2f6443e15762/gr2.jpg
https://cdn.ncbi.nlm.nih.gov/pmc/blobs/49ca/9441302/7af071589f2b/fx1.jpg
https://cdn.ncbi.nlm.nih.gov/pmc/blobs/49ca/9441302/a919c0ad23ae/fx2.jpg

相似文献

1
Using smartphone-based ecological momentary assessment and personalized feedback for patients with chronic cancer-related fatigue: A proof-of-concept study.对慢性癌症相关疲劳患者使用基于智能手机的生态瞬时评估和个性化反馈:一项概念验证研究。
Internet Interv. 2022 Aug 24;30:100568. doi: 10.1016/j.invent.2022.100568. eCollection 2022 Dec.
2
Internet and smartphone-based ecological momentary assessment and personalized advice (PROfeel) in adolescents with chronic conditions: A feasibility study.针对患有慢性病的青少年的基于互联网和智能手机的生态瞬时评估与个性化建议(PROfeel):一项可行性研究。
Internet Interv. 2021 Apr 20;25:100395. doi: 10.1016/j.invent.2021.100395. eCollection 2021 Sep.
3
A Web-Based Application for Personalized Ecological Momentary Assessment in Psychiatric Care: User-Centered Development of the PETRA Application.一种用于精神科护理中个性化生态瞬时评估的基于网络的应用程序:PETRA应用程序的以用户为中心的开发。
JMIR Ment Health. 2022 Aug 9;9(8):e36430. doi: 10.2196/36430.
4
Effectiveness of Two Web-Based Interventions for Chronic Cancer-Related Fatigue Compared to an Active Control Condition: Results of the "Fitter na kanker" Randomized Controlled Trial.与积极对照条件相比,两种基于网络的干预措施对慢性癌症相关疲劳的有效性:“Fitter na kanker”随机对照试验的结果。
J Med Internet Res. 2017 Oct 19;19(10):e336. doi: 10.2196/jmir.7180.
5
Personalizing Psychological Care for Chronic Cancer-Related Fatigue: A Case Study on Symptom Dynamics.为慢性癌症相关疲劳提供个性化心理护理:症状动态的案例研究
J Pers Oriented Res. 2021 Aug 26;7(1):1-13. doi: 10.17505/jpor.2021.23447. eCollection 2021.
6
Integrating theory-based and data-driven methods to case conceptualization: A functional analysis approach with ecological momentary assessment.整合基于理论和数据驱动的方法进行个案概念化:一种具有生态瞬时评估的功能分析方法。
Psychother Res. 2022 Jan;32(1):65-77. doi: 10.1080/10503307.2021.1916639. Epub 2021 Apr 20.
7
Introducing FRED: Software for Generating Feedback Reports for Ecological Momentary Assessment Data.介绍 FRED:用于生成生态瞬时评估数据反馈报告的软件。
Adm Policy Ment Health. 2024 Jul;51(4):490-500. doi: 10.1007/s10488-023-01324-4. Epub 2024 Jan 10.
8
Characterizing Breakthrough Cancer Pain Using Ecological Momentary Assessment with a Smartphone App: Feasibility and Clinical Findings.使用智能手机应用程序进行生态瞬时评估来描述突破性癌痛:可行性和临床发现。
Int J Environ Res Public Health. 2021 Jun 3;18(11):5991. doi: 10.3390/ijerph18115991.
9
What web-based intervention for chronic cancer-related fatigue works best for whom? Explorative moderation analyses of a randomized controlled trial.基于网络的干预措施对慢性癌症相关疲劳最有效?一项随机对照试验的探索性调节分析。
Support Care Cancer. 2022 Oct;30(10):7885-7892. doi: 10.1007/s00520-022-07223-y. Epub 2022 Jun 21.
10
Smartphone-based Ecological Momentary Assessment to study "scanxiety" among Adolescent and Young Adult survivors of childhood cancer: A feasibility study.基于智能手机的生态瞬时评估研究青少年和青年癌症幸存者的“扫描焦虑”:一项可行性研究。
Psychooncology. 2022 Aug;31(8):1322-1330. doi: 10.1002/pon.5935. Epub 2022 Apr 25.

引用本文的文献

1
Experience Sampling to Assess Burnout in Emergency Medicine: An Acceptability and Feasibility Pilot.经验抽样法评估急诊医学领域的职业倦怠:一项可接受性和可行性试点研究
West J Emerg Med. 2025 Jul 18;26(4):1105-1111. doi: 10.5811/westjem.39651.
2
Blended therapy for adolescents with chronic health conditions to increase fatigue-related self-efficacy (Booster): protocol for a single-case multiple baseline study.针对患有慢性健康状况的青少年的混合疗法以提高与疲劳相关的自我效能(强化治疗):一项单病例多基线研究方案
Trials. 2025 Jul 24;26(1):255. doi: 10.1186/s13063-025-08960-1.
3
Resilience in advanced cancer patients who obtain a long-term response to immunotherapy or targeted therapy: an Ecological Momentary Assessment study.

本文引用的文献

1
Psychopathological networks: Theory, methods and practice.精神病理学网络:理论、方法与实践。
Behav Res Ther. 2022 Feb;149:104011. doi: 10.1016/j.brat.2021.104011. Epub 2021 Dec 1.
2
Personalizing Psychological Care for Chronic Cancer-Related Fatigue: A Case Study on Symptom Dynamics.为慢性癌症相关疲劳提供个性化心理护理:症状动态的案例研究
J Pers Oriented Res. 2021 Aug 26;7(1):1-13. doi: 10.17505/jpor.2021.23447. eCollection 2021.
3
Navigating severe chronic cancer-related fatigue: an interpretative phenomenological analysis.
对免疫疗法或靶向疗法获得长期反应的晚期癌症患者的复原力:一项生态瞬时评估研究。
Ann Behav Med. 2025 Jan 4;59(1). doi: 10.1093/abm/kaaf042.
4
Network structures of general, physical and psychological fatigue in patients with metastatic colorectal cancer: Implications for targeted coping strategies.转移性结直肠癌患者一般、身体和心理疲劳的网络结构:对靶向应对策略的启示。
Int J Clin Health Psychol. 2025 Apr-Jun;25(2):100590. doi: 10.1016/j.ijchp.2025.100590. Epub 2025 Jun 6.
5
Ecological Momentary Assessment in Eating Disorders Research: A Qualitative Examination of Participant Experience and Recommendations for Future Studies.饮食失调研究中的生态瞬时评估:对参与者体验的定性考察及对未来研究的建议
Int J Eat Disord. 2025 May 23. doi: 10.1002/eat.24473.
6
Network analysis used to investigate the interplay among somatic and psychological symptoms in patients with cancer and cancer survivors: a scoping review.用于研究癌症患者和癌症幸存者躯体与心理症状之间相互作用的网络分析:一项范围综述
J Cancer Surviv. 2024 Mar 26. doi: 10.1007/s11764-024-01543-0.
7
Feedback based on experience sampling data: Examples of current approaches and considerations for future research.基于经验抽样数据的反馈:当前方法示例及未来研究考量
Heliyon. 2023 Sep 12;9(9):e20084. doi: 10.1016/j.heliyon.2023.e20084. eCollection 2023 Sep.
8
Symptom networks in glioma patients: understanding the multidimensionality of symptoms and quality of life.胶质瘤患者的症状网络:了解症状和生活质量的多维性。
J Cancer Surviv. 2024 Jun;18(3):1032-1041. doi: 10.1007/s11764-023-01355-8. Epub 2023 Mar 16.
9
Cancer Care Team's Management of Clinical Alerts Generated by Electronically Collected Patient Reported Outcomes: We Could Do Better.癌症护理团队对电子采集的患者报告结局生成的临床警报的管理:我们可以做得更好。
Int J Environ Res Public Health. 2023 Jan 21;20(3):2001. doi: 10.3390/ijerph20032001.
应对严重的慢性癌症相关疲劳:一项诠释现象学分析
Psychol Health. 2023 Apr;38(4):494-517. doi: 10.1080/08870446.2021.1973468. Epub 2021 Sep 2.
4
Patients' experience of an ecological momentary intervention involving self-monitoring and personalized feedback for depression.患者对一项涉及抑郁症自我监测和个性化反馈的生态瞬时干预的体验。
Internet Interv. 2021 Jul 19;26:100436. doi: 10.1016/j.invent.2021.100436. eCollection 2021 Dec.
5
Personalizing cognitive behavioral therapy for cancer-related fatigue using ecological momentary assessments followed by automated individual time series analyses: A case report series.使用生态瞬时评估,随后进行自动个体时间序列分析,为癌症相关疲劳定制认知行为疗法:病例报告系列
Internet Interv. 2021 Jul 14;25:100430. doi: 10.1016/j.invent.2021.100430. eCollection 2021 Sep.
6
Symptom clusters in 1330 survivors of 7 cancer types from the PROFILES registry: A network analysis.1330 例 7 种癌症幸存者的症状群:网络分析。来自 PROFILES 登记处。
Cancer. 2021 Dec 15;127(24):4665-4674. doi: 10.1002/cncr.33852. Epub 2021 Aug 13.
7
Internet and smartphone-based ecological momentary assessment and personalized advice (PROfeel) in adolescents with chronic conditions: A feasibility study.针对患有慢性病的青少年的基于互联网和智能手机的生态瞬时评估与个性化建议(PROfeel):一项可行性研究。
Internet Interv. 2021 Apr 20;25:100395. doi: 10.1016/j.invent.2021.100395. eCollection 2021 Sep.
8
Forming new habits in the face of chronic cancer-related fatigue: An interpretative phenomenological study.面对慢性癌症相关疲劳形成新习惯:一种解释性现象学研究。
Support Care Cancer. 2021 Nov;29(11):6651-6659. doi: 10.1007/s00520-021-06252-3. Epub 2021 May 6.
9
Recommendations for the use of long-term experience sampling in bipolar disorder care: a qualitative study of patient and clinician experiences.双相情感障碍护理中使用长期经验抽样法的建议:一项关于患者和临床医生经历的定性研究。
Int J Bipolar Disord. 2020 Dec 1;8(1):38. doi: 10.1186/s40345-020-00201-5.
10
Using person-specific networks in psychotherapy: challenges, limitations, and how we could use them anyway.在心理治疗中使用个体化人际网络:挑战、限制,以及我们如何克服这些困难加以利用。
BMC Med. 2020 Nov 23;18(1):345. doi: 10.1186/s12916-020-01818-0.