• 文献检索
  • 文档翻译
  • 深度研究
  • 学术资讯
  • Suppr Zotero 插件Zotero 插件
  • 邀请有礼
  • 套餐&价格
  • 历史记录
应用&插件
Suppr Zotero 插件Zotero 插件浏览器插件Mac 客户端Windows 客户端微信小程序
定价
高级版会员购买积分包购买API积分包
服务
文献检索文档翻译深度研究API 文档MCP 服务
关于我们
关于 Suppr公司介绍联系我们用户协议隐私条款
关注我们

Suppr 超能文献

核心技术专利:CN118964589B侵权必究
粤ICP备2023148730 号-1Suppr @ 2026

文献检索

告别复杂PubMed语法,用中文像聊天一样搜索,搜遍4000万医学文献。AI智能推荐,让科研检索更轻松。

立即免费搜索

文件翻译

保留排版,准确专业,支持PDF/Word/PPT等文件格式,支持 12+语言互译。

免费翻译文档

深度研究

AI帮你快速写综述,25分钟生成高质量综述,智能提取关键信息,辅助科研写作。

立即免费体验

响应面法优化超声辅助提取毛叶枣果肉中酚类物质含量及抗氧化活性

Optimization of ultrasound-assisted extraction of phenolic content & antioxidant activity of hog plum () pulp by response surface methodology.

作者信息

Ahmed Tanvir, Rana Md Rahmatuzzaman, Maisha Mahjabin Rahman, Sayem A S M, Rahman Mizanur, Ara Rowshon

机构信息

Department of Food Engineering and Tea Technology, Shahjalal University of Science and Technology, Sylhet, 3100, Bangladesh.

出版信息

Heliyon. 2022 Oct 14;8(10):e11109. doi: 10.1016/j.heliyon.2022.e11109. eCollection 2022 Oct.

DOI:10.1016/j.heliyon.2022.e11109
PMID:36281389
原文链接:https://pmc.ncbi.nlm.nih.gov/articles/PMC9587330/
Abstract

BACKGROUND

The pulp of hog plum () has been documented as a potential source of nutritional, physiological, and pharmacological purposes due to its phenolic content (TPC) and antioxidant activity. However, an optimal extraction condition for hog plum pulp remains elusive. Optimization of extraction process conditions using Ultrasound-assisted extraction (UAE) technique has recently attracted research interest.

OBJECTIVES

The present study focused on optimizing the UAE extraction conditions of TPC and antioxidant activities (DPPH and FRAP) from hog plum pulp by using response surface methodology (RSM).

METHODS

The RSM with a three-factor-three-level Box-Behnken design (BBD) was used to optimize the extraction conditions. The BBD was used to investigate the effects of three independent variables, X: ultrasonic temperature (40-60 °C), X: ultrasonic time (30-60 min), and X: ethanol concentration (40-80%) on TPC, DPPH and FRAP assays. Fifteen experimental trials have been carried out to optimize the UAE extraction conditions. A second-order polynomial model was used for predicting the responses. Statistically, the model was validated using an analysis of variance (ANOVA).

RESULTS

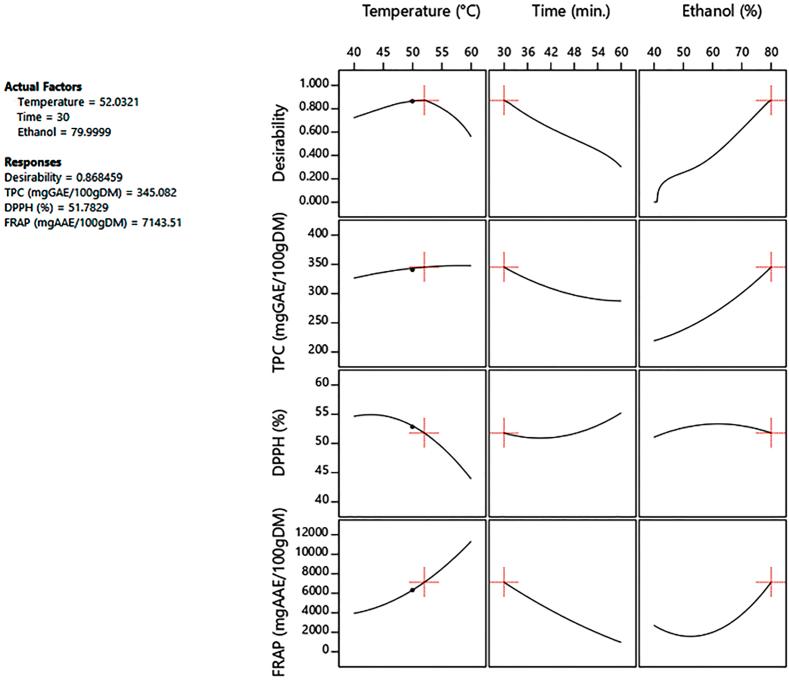
The ANOVA results revealed that UAE extraction temperature, time, and ethanol concentration had a significant ( < 0.01) influence on the TPC, DPPH, and FRAP, suggesting that all extraction parameters included in this investigation were crucial to the optimization process. For TPC, DPPH, and FRAP, the R values were 0.9976, 0.9943, and 0.9989, respectively, indicating that the models developed based on second-order polynomials were satisfactorily accurate for analyzing interactions between parameters (response and independent variables). RSM analysis showed that the optimal extraction parameters which maximized TPC, DPPH, and FRAP were 52.03 °C temperature, 30 min, time, and 79.99% ethanol. Under optimal conditions, experimental values for TPC, DPPH, and FRAP were 370 ± 26 mg GAE/100g DM, 57 ± 7%, and 7650 ± 460 mg AAE/100 g DM, respectively. The experimental values showed a good agreement with the predicted values with residual standard error values below 0.2% under optimum conditions. Pearson's correlation coefficients (r) demonstrate that the TPC showed a weak positive correlation with DPPH (r = 0.3508) and moderate correlation with FRAP (r = 0.3963).

CONCLUSION

The experimental results agreed with the predicted values, confirming the model's appropriateness and RSM's efficacy in optimizing the UAE extraction conditions. This optimized UAE extraction method may be effective in the industrial extraction process; moreover, further research should be conducted to determine the efficacy of these extracts when applied to food.

摘要

背景

由于其酚类含量(TPC)和抗氧化活性,野芒果()果肉已被证明是营养、生理和药理用途的潜在来源。然而,野芒果果肉的最佳提取条件仍然难以捉摸。最近,使用超声辅助提取(UAE)技术优化提取工艺条件引起了研究兴趣。

目的

本研究旨在通过响应面法(RSM)优化野芒果果肉中TPC和抗氧化活性(DPPH和FRAP)的UAE提取条件。

方法

采用三因素三水平的Box-Behnken设计(BBD)的RSM来优化提取条件。BBD用于研究三个自变量,X:超声温度(40-60°C),X:超声时间(30-60分钟)和X:乙醇浓度(40-80%)对TPC、DPPH和FRAP测定的影响。进行了15次实验试验以优化UAE提取条件。使用二阶多项式模型预测响应。从统计学角度,使用方差分析(ANOVA)对模型进行验证。

结果

ANOVA结果表明,UAE提取温度、时间和乙醇浓度对TPC、DPPH和FRAP有显著(<0.01)影响,表明本研究中包含的所有提取参数对优化过程至关重要。对于TPC、DPPH和FRAP,R值分别为0.9976、0.9943和0.9989,表明基于二阶多项式开发的模型在分析参数(响应和自变量)之间的相互作用方面具有令人满意的准确性。RSM分析表明,使TPC、DPPH和FRAP最大化的最佳提取参数为温度52.03°C、时间30分钟和乙醇浓度79.99%。在最佳条件下,TPC、DPPH和FRAP的实验值分别为370±26mg GAE/100g DM、57±7%和7650±460mg AAE/100g DM。实验值与预测值显示出良好的一致性,在最佳条件下残余标准误差值低于0.2%。Pearson相关系数(r)表明,TPC与DPPH呈弱正相关(r = 0.3508),与FRAP呈中等相关(r = 0.3963)。

结论

实验结果与预测值一致,证实了模型的适用性和RSM在优化UAE提取条件方面的有效性。这种优化的UAE提取方法可能在工业提取过程中有效;此外,应进行进一步研究以确定这些提取物应用于食品时的功效。

https://cdn.ncbi.nlm.nih.gov/pmc/blobs/89fc/9587330/6931b1a074bb/gr8.jpg
https://cdn.ncbi.nlm.nih.gov/pmc/blobs/89fc/9587330/639284be1bc0/gr1.jpg
https://cdn.ncbi.nlm.nih.gov/pmc/blobs/89fc/9587330/06be4203702b/gr2.jpg
https://cdn.ncbi.nlm.nih.gov/pmc/blobs/89fc/9587330/efd5164e10a4/gr3.jpg
https://cdn.ncbi.nlm.nih.gov/pmc/blobs/89fc/9587330/4f53aa009a79/gr4.jpg
https://cdn.ncbi.nlm.nih.gov/pmc/blobs/89fc/9587330/ccc9a1b24792/gr5.jpg
https://cdn.ncbi.nlm.nih.gov/pmc/blobs/89fc/9587330/fe013ab19453/gr6.jpg
https://cdn.ncbi.nlm.nih.gov/pmc/blobs/89fc/9587330/9028d942de92/gr7.jpg
https://cdn.ncbi.nlm.nih.gov/pmc/blobs/89fc/9587330/6931b1a074bb/gr8.jpg
https://cdn.ncbi.nlm.nih.gov/pmc/blobs/89fc/9587330/639284be1bc0/gr1.jpg
https://cdn.ncbi.nlm.nih.gov/pmc/blobs/89fc/9587330/06be4203702b/gr2.jpg
https://cdn.ncbi.nlm.nih.gov/pmc/blobs/89fc/9587330/efd5164e10a4/gr3.jpg
https://cdn.ncbi.nlm.nih.gov/pmc/blobs/89fc/9587330/4f53aa009a79/gr4.jpg
https://cdn.ncbi.nlm.nih.gov/pmc/blobs/89fc/9587330/ccc9a1b24792/gr5.jpg
https://cdn.ncbi.nlm.nih.gov/pmc/blobs/89fc/9587330/fe013ab19453/gr6.jpg
https://cdn.ncbi.nlm.nih.gov/pmc/blobs/89fc/9587330/9028d942de92/gr7.jpg
https://cdn.ncbi.nlm.nih.gov/pmc/blobs/89fc/9587330/6931b1a074bb/gr8.jpg

相似文献

1
Optimization of ultrasound-assisted extraction of phenolic content & antioxidant activity of hog plum () pulp by response surface methodology.响应面法优化超声辅助提取毛叶枣果肉中酚类物质含量及抗氧化活性
Heliyon. 2022 Oct 14;8(10):e11109. doi: 10.1016/j.heliyon.2022.e11109. eCollection 2022 Oct.
2
Screening genotypes and optimizing ultrasonic extraction of phenolic antioxidants from Rheum ribes using response surface methodology.利用响应面法筛选基因型并优化大黄中酚类抗氧化剂的超声提取。
Sci Rep. 2024 Sep 15;14(1):21544. doi: 10.1038/s41598-024-72214-4.
3
Ultrasound-assisted extraction of bioactive pigments from Spirulina platensis in natural deep eutectic solvents.天然低共熔溶剂中超声辅助提取钝顶螺旋藻生物活性色素
Bioresour Bioprocess. 2023 Dec 1;10(1):88. doi: 10.1186/s40643-023-00692-x.
4
Optimization of ultrasound-assisted extraction of bioactive compounds from coffee pulp using propylene glycol as a solvent and their antioxidant activities.采用丙二醇作为溶剂超声辅助提取咖啡渣中生物活性化合物及其抗氧化活性的优化。
Ultrason Sonochem. 2022 Sep;89:106127. doi: 10.1016/j.ultsonch.2022.106127. Epub 2022 Aug 18.
5
Optimization of ultrasound-assisted extraction of phenolic compounds and antioxidant activity from Argel ( Hayne) leaves using response surface methodology (RSM).采用响应面法(RSM)优化超声辅助从阿尔及利亚刺桐(Hayne)叶中提取酚类化合物及抗氧化活性的工艺
J Food Sci Technol. 2020 Aug;57(8):3071-3080. doi: 10.1007/s13197-020-04340-6. Epub 2020 Mar 14.
6
Optimization and kinetics modeling of phenolics extraction from coffee silverskin in deep eutectic solvent using ultrasound-assisted extraction.基于超声辅助萃取的深共熔溶剂中咖啡银皮酚类物质萃取的优化及动力学建模
Heliyon. 2023 Jul 4;9(7):e17942. doi: 10.1016/j.heliyon.2023.e17942. eCollection 2023 Jul.
7
Extraction and Yield Optimisation of Fucose, Glucans and Associated Antioxidant Activities from Laminaria digitata by Applying Response Surface Methodology to High Intensity Ultrasound-Assisted Extraction.应用响应面法于高强度超声辅助提取优化羊栖菜中岩藻糖、葡聚糖及相关抗氧化活性物质的提取与得率。
Mar Drugs. 2018 Jul 30;16(8):257. doi: 10.3390/md16080257.
8
Optimization of Surfactant-Mediated, Ultrasonic-assisted Extraction of Antioxidant Polyphenols from Rattan Tea () Using Response Surface Methodology.使用响应面法优化表面活性剂介导的超声辅助从藤茶中提取抗氧化多酚
Pharmacogn Mag. 2017 Jul-Sep;13(51):446-453. doi: 10.4103/pm.pm_159_16. Epub 2017 Jul 19.
9
Ultrasound-assisted extraction (UAE) of Jerusalem artichoke tuber bio-active ingredient using optimized conditions of Box-Behnken response surface methodology.采用Box-Behnken响应面法优化条件对菊芋块茎生物活性成分进行超声辅助提取(UAE)。
Heliyon. 2024 Feb 13;10(4):e25645. doi: 10.1016/j.heliyon.2024.e25645. eCollection 2024 Feb 29.
10
Optimization of the ultrasound-assisted extraction of flavonoids and the antioxidant activity of Ruby S apple peel using the response surface method.响应面法优化超声辅助提取红玉苹果皮中黄酮类化合物及其抗氧化活性
Food Sci Biotechnol. 2022 Sep 2;31(13):1667-1678. doi: 10.1007/s10068-022-01150-8. eCollection 2022 Dec.

引用本文的文献

1
Experimental investigation on the carob extraction using arrhenius approach and response surface.使用阿累尼乌斯方法和响应面法对角豆提取物的实验研究
Sci Rep. 2024 Dec 28;14(1):31440. doi: 10.1038/s41598-024-83290-x.
2
Optimization of ultrasonic-assisted debittering of using response surface methodology, characterization, and evaluation of antioxidant activity.采用响应面法优化超声辅助脱苦,对其进行特性分析和抗氧化活性评价。
PeerJ. 2024 Oct 14;12:e17943. doi: 10.7717/peerj.17943. eCollection 2024.
3
Ultrasound-assisted extraction of bioactive pigments from Spirulina platensis in natural deep eutectic solvents.

本文引用的文献

1
Simultaneous optimization of ultrasonic-assisted extraction of antioxidant and anticoagulation activities of compounds from Houtt. by response surface methodology.采用响应面法同时优化超声辅助提取鱼腥草中具有抗氧化和抗凝活性化合物的工艺。
RSC Adv. 2018 Dec 5;8(71):40748-40759. doi: 10.1039/c8ra07361a. eCollection 2018 Dec 4.
2
Optimization of substrate composition for pectinase production from Satkara () peel using -ATCC 1640 in solid-state fermentation.利用嗜热栖热放线菌(Thermoactinomyces sp. -ATCC 1640)在固态发酵中从萨特卡拉(Satkara)果皮生产果胶酶的底物组成优化。
Heliyon. 2021 Oct 5;7(10):e08133. doi: 10.1016/j.heliyon.2021.e08133. eCollection 2021 Oct.
3
天然低共熔溶剂中超声辅助提取钝顶螺旋藻生物活性色素
Bioresour Bioprocess. 2023 Dec 1;10(1):88. doi: 10.1186/s40643-023-00692-x.
Comparison of conventional extraction technique with ultrasound assisted extraction on recovery of phenolic compounds from lemon scented tea tree () leaves.
传统提取技术与超声辅助提取技术在从柠檬香茶树()叶片中回收酚类化合物方面的比较。
Heliyon. 2020 Apr 2;6(4):e03666. doi: 10.1016/j.heliyon.2020.e03666. eCollection 2020 Apr.
4
Effect of ultrasound treatment on the extraction of antioxidants from Kunth fruits and identification of phytochemicals by HPLC-ESI-MS.超声处理对昆特果中抗氧化剂提取及通过高效液相色谱-电喷雾电离质谱法鉴定植物化学物质的影响
Heliyon. 2019 Dec 18;5(12):e03058. doi: 10.1016/j.heliyon.2019.e03058. eCollection 2019 Dec.
5
Optimisation of ultrasonic-assisted extraction of bioactive compounds from chokeberry pomace using response surface methodology.采用响应面法优化超声辅助从黑果腺肋花楸果渣中提取生物活性化合物的工艺
Acta Sci Pol Technol Aliment. 2019 Jul-Sep;18(3):249-256. doi: 10.17306/J.AFS.0673.
6
Efficient Homogenization-Ultrasound-Assisted Extraction of Anthocyanins and Flavonols from Bog Bilberry ( L.) Marc with Carnosic Acid as an Antioxidant Additive.高效匀浆-超声辅助提取沼泽越橘(L.)果实中的花色苷和黄酮类化合物,其中熊果酸作为抗氧化添加剂。
Molecules. 2019 Jul 11;24(14):2537. doi: 10.3390/molecules24142537.
7
Valorisation of baobab (Adansonia digitata) seeds by ultrasound assisted extraction of polyphenolics. Optimisation and comparison with conventional methods.超声辅助提取猴面包树(Adansonia digitata)种子中的多酚类物质及其增值作用。优化及与常规方法的比较。
Ultrason Sonochem. 2019 Apr;52:257-267. doi: 10.1016/j.ultsonch.2018.11.023. Epub 2018 Nov 26.
8
Genus : A Phytochemical and Pharmacological Review.属:植物化学与药理学综述。
Evid Based Complement Alternat Med. 2018 Feb 12;2018:5382904. doi: 10.1155/2018/5382904. eCollection 2018.
9
Comparative analysis of Hibiscus sabdariffa (roselle) hot and cold extracts in respect to their potential for α-glucosidase inhibition.比较分析玫瑰茄(洛神花)热提取物和冷提取物在抑制α-葡萄糖苷酶方面的潜力。
Food Chem. 2018 Jun 1;250:236-244. doi: 10.1016/j.foodchem.2018.01.020. Epub 2018 Jan 3.
10
Inulin rich carbohydrates extraction from Jerusalem artichoke (Helianthus tuberosus L.) tubers and application of different drying methods.菊芋(Helianthus tuberosus L.)块茎中富含菊糖的碳水化合物的提取及不同干燥方法的应用。
Food Res Int. 2018 Jan;103:226-233. doi: 10.1016/j.foodres.2017.10.041. Epub 2017 Oct 23.