Suppr超能文献

运用人工智能模型诊断流感:开发与验证研究。

Examining the Use of an Artificial Intelligence Model to Diagnose Influenza: Development and Validation Study.

机构信息

Aillis, Inc, Tokyo, Japan.

Japanese Red Cross Medical Center, Tokyo, Japan.

出版信息

J Med Internet Res. 2022 Dec 23;24(12):e38751. doi: 10.2196/38751.

Abstract

BACKGROUND

The global burden of influenza is substantial. It is a major disease that causes annual epidemics and occasionally, pandemics. Given that influenza primarily infects the upper respiratory system, it may be possible to diagnose influenza infection by applying deep learning to pharyngeal images.

OBJECTIVE

We aimed to develop a deep learning model to diagnose influenza infection using pharyngeal images and clinical information.

METHODS

We recruited patients who visited clinics and hospitals because of influenza-like symptoms. In the training stage, we developed a diagnostic prediction artificial intelligence (AI) model based on deep learning to predict polymerase chain reaction (PCR)-confirmed influenza from pharyngeal images and clinical information. In the validation stage, we assessed the diagnostic performance of the AI model. In additional analysis, we compared the diagnostic performance of the AI model with that of 3 physicians and interpreted the AI model using importance heat maps.

RESULTS

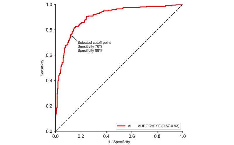
We enrolled a total of 7831 patients at 64 hospitals between November 1, 2019, and January 21, 2020, in the training stage and 659 patients (including 196 patients with PCR-confirmed influenza) at 11 hospitals between January 25, 2020, and March 13, 2020, in the validation stage. The area under the receiver operating characteristic curve for the AI model was 0.90 (95% CI 0.87-0.93), and its sensitivity and specificity were 76% (70%-82%) and 88% (85%-91%), respectively, outperforming 3 physicians. In the importance heat maps, the AI model often focused on follicles on the posterior pharyngeal wall.

CONCLUSIONS

We developed the first AI model that can accurately diagnose influenza from pharyngeal images, which has the potential to help physicians to make a timely diagnosis.

摘要

背景

流感的全球负担巨大。它是一种主要的疾病,会导致每年的流行,偶尔还会引发大流行。由于流感主要感染上呼吸道,因此通过应用深度学习对咽图像进行分析,有可能诊断流感感染。

目的

我们旨在开发一种使用咽图像和临床信息诊断流感感染的深度学习模型。

方法

我们招募了因流感样症状而就诊于诊所和医院的患者。在训练阶段,我们开发了一种基于深度学习的诊断预测人工智能(AI)模型,用于从咽图像和临床信息预测聚合酶链反应(PCR)确诊的流感。在验证阶段,我们评估了 AI 模型的诊断性能。在额外的分析中,我们比较了 AI 模型与 3 名医生的诊断性能,并使用重要性热图对 AI 模型进行解释。

结果

我们在训练阶段共纳入了 2019 年 11 月 1 日至 2020 年 1 月 21 日期间来自 64 家医院的 7831 名患者,在验证阶段纳入了 2020 年 1 月 25 日至 2020 年 3 月 13 日期间来自 11 家医院的 659 名患者(包括 196 名经 PCR 确诊的流感患者)。AI 模型的受试者工作特征曲线下面积为 0.90(95%CI 0.87-0.93),其灵敏度和特异性分别为 76%(70%-82%)和 88%(85%-91%),优于 3 名医生。在重要性热图中,AI 模型经常关注咽后壁的滤泡。

结论

我们开发了首个能够从咽图像准确诊断流感的 AI 模型,它有可能帮助医生做出及时诊断。

https://cdn.ncbi.nlm.nih.gov/pmc/blobs/364a/9823578/9448322bc23c/jmir_v24i12e38751_fig1.jpg

相似文献

2
Identifying sex from pharyngeal images using deep learning algorithm.
Sci Rep. 2024 Aug 2;14(1):17954. doi: 10.1038/s41598-024-68817-6.
4
Comparison of Chest Radiograph Interpretations by Artificial Intelligence Algorithm vs Radiology Residents.
JAMA Netw Open. 2020 Oct 1;3(10):e2022779. doi: 10.1001/jamanetworkopen.2020.22779.
5
Artificial Intelligence Model Assisting Thyroid Nodule Diagnosis and Management: A Multicenter Diagnostic Study.
J Clin Endocrinol Metab. 2024 Jan 18;109(2):527-535. doi: 10.1210/clinem/dgad503.
9
Urine cell image recognition using a deep-learning model for an automated slide evaluation system.
BJU Int. 2022 Aug;130(2):235-243. doi: 10.1111/bju.15518. Epub 2021 Jul 5.
10
A deep learning-based model improves diagnosis of early gastric cancer under narrow band imaging endoscopy.
Surg Endosc. 2022 Oct;36(10):7800-7810. doi: 10.1007/s00464-022-09319-2. Epub 2022 May 31.

引用本文的文献

2
The peculiar characteristics and advancement in diagnostic methodologies of influenza A virus.
Front Microbiol. 2025 Jan 7;15:1435384. doi: 10.3389/fmicb.2024.1435384. eCollection 2024.
3
High performance COVID-19 screening using machine learning.
Tunis Med. 2025 Jan 5;103(1):10-17. doi: 10.62438/tunismed.v103i1.5401.
4
Detection of hypertension from pharyngeal images using deep learning algorithm in primary care settings in Japan.
BMJ Health Care Inform. 2024 Oct 23;31(1):e100824. doi: 10.1136/bmjhci-2023-100824.
5
Identifying sex from pharyngeal images using deep learning algorithm.
Sci Rep. 2024 Aug 2;14(1):17954. doi: 10.1038/s41598-024-68817-6.

本文引用的文献

2
Deep learning to detect acute respiratory distress syndrome on chest radiographs: a retrospective study with external validation.
Lancet Digit Health. 2021 Jun;3(6):e340-e348. doi: 10.1016/S2589-7500(21)00056-X. Epub 2021 Apr 20.
5
Influenza Follicles.
Intern Med. 2019 Aug 1;58(15):2269. doi: 10.2169/internalmedicine.2573-18. Epub 2019 Apr 17.
9
Estimates of global seasonal influenza-associated respiratory mortality: a modelling study.
Lancet. 2018 Mar 31;391(10127):1285-1300. doi: 10.1016/S0140-6736(17)33293-2. Epub 2017 Dec 14.
10
Influenza follicles and their buds as early diagnostic markers of influenza: typical images.
Postgrad Med J. 2016 Sep;92(1091):560-1. doi: 10.1136/postgradmedj-2016-134271. Epub 2016 Jul 27.

文献AI研究员

20分钟写一篇综述,助力文献阅读效率提升50倍。

立即体验

用中文搜PubMed

大模型驱动的PubMed中文搜索引擎

马上搜索

文档翻译

学术文献翻译模型,支持多种主流文档格式。

立即体验