He Teng, Qiao Yinbiao, Yang Qi, Chen Jie, Chen Yongyuan, Chen Xiaoke, Hao Zhixing, Lin Mingjie, Shao Zheyu, Wu Pin, Xu Feng
Department of Infectious Diseases, The Second Affiliated Hospital, Zhejiang University School of Medicine, Zhejiang University, Hangzhou, China.
Division of Hepatobiliary and Pancreatic Surgery, Department of Surgery, The First Affiliated Hospital, Zhejiang University School of Medicine, Zhejiang University, Hangzhou, China.
Front Pharmacol. 2022 Nov 23;13:1047463. doi: 10.3389/fphar.2022.1047463. eCollection 2022.
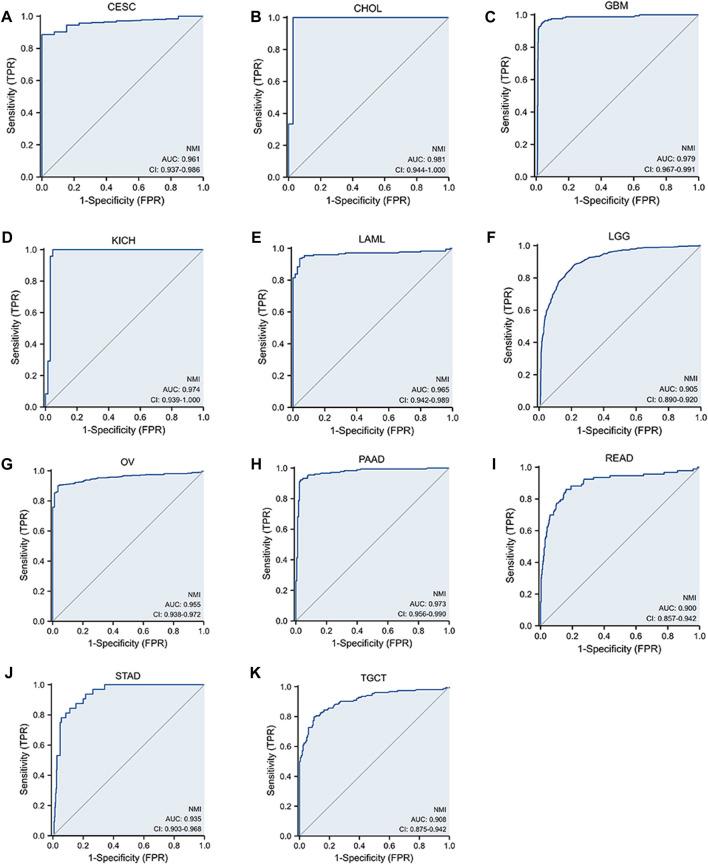
N-Myc and STAT Interactor protein (NMI) is an interferon inducible protein participating in various cellular activities, and is widely involved in the process of tumorigenesis and progression. Studies have shown that the loss of NMI expression in breast cancer can promote its progression by inducing epithelial-mesenchymal transition (EMT). However, the expression level of NMI in other tumors and its impact on immune cell infiltration, patient prognosis, and drug treatment are still unclear. Here, we analyzed the role of NMI in pan-cancer through multiple omics data. We found that NMI was abnormally expressed in a variety of tumor tissues. The expression of NMI was closely related to the unique molecular and immunotyping, diagnosis and prognosis of various tumor tissues. In addition, we identified the main proteins that interact with NMI, and focused on the relationship between the clinical parameters of lower grade glioma (LGG) and NMI expression. Subsequently, we found that the expression of NMI was correlated with the infiltration of multiple immune cells and the expression of immune checkpoints. Finally, we also found that the expression of NMI was correlated with the sensitivity to multiple antitumor drugs. In conclusion, our comprehensive pan-cancer analysis of NMI revealed that it is a potential molecular marker for tumor diagnosis and treatment, plays an important role in tumor immunity, and is a promising molecular target for cancer treatment.
N-Myc与信号转导和转录激活因子相互作用蛋白(NMI)是一种干扰素诱导蛋白,参与多种细胞活动,并广泛参与肿瘤发生和进展过程。研究表明,乳腺癌中NMI表达缺失可通过诱导上皮-间质转化(EMT)促进其进展。然而,NMI在其他肿瘤中的表达水平及其对免疫细胞浸润、患者预后和药物治疗的影响仍不清楚。在此,我们通过多组学数据分析了NMI在泛癌中的作用。我们发现NMI在多种肿瘤组织中异常表达。NMI的表达与各种肿瘤组织的独特分子和免疫分型、诊断及预后密切相关。此外,我们鉴定了与NMI相互作用的主要蛋白,并聚焦于低级别胶质瘤(LGG)临床参数与NMI表达之间的关系。随后,我们发现NMI的表达与多种免疫细胞浸润及免疫检查点的表达相关。最后,我们还发现NMI的表达与多种抗肿瘤药物的敏感性相关。总之,我们对NMI进行的全面泛癌分析表明,它是肿瘤诊断和治疗的潜在分子标志物,在肿瘤免疫中起重要作用,是癌症治疗中一个有前景的分子靶点。