• 文献检索
  • 文档翻译
  • 深度研究
  • 学术资讯
  • Suppr Zotero 插件Zotero 插件
  • 邀请有礼
  • 套餐&价格
  • 历史记录
应用&插件
Suppr Zotero 插件Zotero 插件浏览器插件Mac 客户端Windows 客户端微信小程序
定价
高级版会员购买积分包购买API积分包
服务
文献检索文档翻译深度研究API 文档MCP 服务
关于我们
关于 Suppr公司介绍联系我们用户协议隐私条款
关注我们

Suppr 超能文献

核心技术专利:CN118964589B侵权必究
粤ICP备2023148730 号-1Suppr @ 2026

文献检索

告别复杂PubMed语法,用中文像聊天一样搜索,搜遍4000万医学文献。AI智能推荐,让科研检索更轻松。

立即免费搜索

文件翻译

保留排版,准确专业,支持PDF/Word/PPT等文件格式,支持 12+语言互译。

免费翻译文档

深度研究

AI帮你快速写综述,25分钟生成高质量综述,智能提取关键信息,辅助科研写作。

立即免费体验

基于MRI的影像组学列线图用于预测处于前列腺特异性抗原灰色区域水平的前列腺癌,以减少不必要的活检。

MRI-Based Radiomics Nomogram for Predicting Prostate Cancer with Gray-Zone Prostate-Specific Antigen Levels to Reduce Unnecessary Biopsies.

作者信息

Zhang Li, Zhang Jing, Tang Min, Lei Xiao-Yan, Li Long-Chao

机构信息

Department of MRI, Shaanxi Provincial People's Hospital, Xi'an 710068, China.

Institute of Medical Research, Northwestern Polytechnical University, Xi'an 710068, China.

出版信息

Diagnostics (Basel). 2022 Dec 1;12(12):3005. doi: 10.3390/diagnostics12123005.

DOI:10.3390/diagnostics12123005
PMID:36553012
原文链接:https://pmc.ncbi.nlm.nih.gov/articles/PMC9776817/
Abstract

OBJECTIVE

The aim of this study was to establish a predictive nomogram for predicting prostate cancer (PCa) in patients with gray-zone prostate-specific antigen (PSA) levels (4-10.0 ng/mL) based on radiomics and other traditional clinical parameters.

METHODS

In all, 274 patients with gray-zone PSA levels were included in this retrospective study. They were randomly divided into training and validation sets (n = 191 and 83, respectively). Data on the clinical risk factors related to PCa with gray-zone PSA levels (such as Prostate Imaging Reporting and Data System, version 2.1 [PI-RADS V2.1] category, age, prostate volume, and serum PSA level) were collected for all patients. Lesion volumes of interest (VOI) from T2-weighted imaging (T2WI) and apparent diffusion coefficient (ADC) imaging were annotated by two radiologists. The radiomics model, clinical model, and combined prediction model, which was presented on a nomogram by incorporating the radiomics signature and clinical and radiological risk factors for PCa, were developed using logistic regression. The area under the receiver operator characteristic (AUC-ROC) and decision, calibration curve were used to compare the three models for the diagnosis of PCa with gray-zone PSA levels.

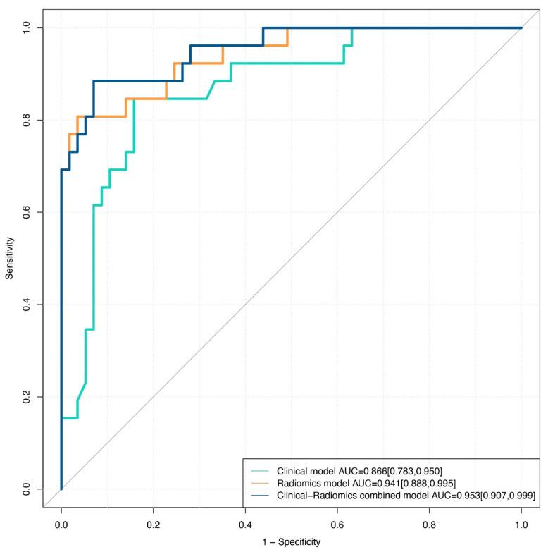
RESULTS

The predictive nomogram (AUC: 0.953) incorporating the radiomics score and PI-RADS V2.1 category, age, and the radiomics model (AUC: 0.941) afforded much higher diagnostic efficacy than the clinical model (AUC: 0.866). The addition of the rad score could improve the discriminatory performance of the clinical model. The decision curve analysis indicated that the radiomics or combined model could be more beneficial compared to the clinical model for the prediction of PCa. The nomogram showed good agreement for detecting PCa with gray-zone PSA levels between prediction and histopathologic confirmation.

CONCLUSION

The nomogram, which combined the radiomics score and PI-RADS V2.1 category and age, is an effective and non-invasive method for predicting PCa. Furthermore, as well as good calibration and is clinically useful, which could reduce unnecessary prostate biopsies in patients having PCa with gray-zone PSA levels.

摘要

目的

本研究旨在基于影像组学和其他传统临床参数,建立一种预测模型,用于预测前列腺特异性抗原(PSA)处于灰色区域水平(4 - 10.0 ng/mL)的患者患前列腺癌(PCa)的风险。

方法

本回顾性研究共纳入274例PSA处于灰色区域水平的患者。他们被随机分为训练集和验证集(分别为n = 191和83)。收集了所有患者与PSA处于灰色区域水平的PCa相关的临床危险因素数据(如前列腺影像报告和数据系统,第2.1版[PI-RADS V2.1]分类、年龄、前列腺体积和血清PSA水平)。两名放射科医生对T2加权成像(T2WI)和表观扩散系数(ADC)成像中的感兴趣病变体积(VOI)进行标注。使用逻辑回归开发了影像组学模型、临床模型以及通过整合影像组学特征与PCa的临床和放射学危险因素在列线图上呈现的联合预测模型。采用受试者操作特征曲线下面积(AUC-ROC)和决策、校准曲线来比较这三种模型对PSA处于灰色区域水平的PCa的诊断效能。

结果

纳入影像组学评分、PI-RADS V2.1分类、年龄的预测列线图(AUC:0.953)和影像组学模型(AUC:0.941)的诊断效能远高于临床模型(AUC:0.866)。加入rad评分可提高临床模型的鉴别性能。决策曲线分析表明,与临床模型相比,影像组学或联合模型在预测PCa方面可能更具优势。列线图显示在预测和组织病理学证实之间,对于检测PSA处于灰色区域水平的PCa具有良好的一致性。

结论

结合影像组学评分、PI-RADS V2.1分类和年龄的列线图是预测PCa的一种有效且非侵入性的方法。此外,其校准良好且具有临床实用性,可减少PSA处于灰色区域水平的PCa患者不必要的前列腺活检。

https://cdn.ncbi.nlm.nih.gov/pmc/blobs/2113/9776817/6b443056e41c/diagnostics-12-03005-g007.jpg
https://cdn.ncbi.nlm.nih.gov/pmc/blobs/2113/9776817/185323599b6c/diagnostics-12-03005-g001.jpg
https://cdn.ncbi.nlm.nih.gov/pmc/blobs/2113/9776817/e83a6833df7b/diagnostics-12-03005-g002.jpg
https://cdn.ncbi.nlm.nih.gov/pmc/blobs/2113/9776817/3f7e59268f18/diagnostics-12-03005-g003.jpg
https://cdn.ncbi.nlm.nih.gov/pmc/blobs/2113/9776817/78dfaf1c3bb6/diagnostics-12-03005-g004.jpg
https://cdn.ncbi.nlm.nih.gov/pmc/blobs/2113/9776817/ea2b5f085449/diagnostics-12-03005-g005.jpg
https://cdn.ncbi.nlm.nih.gov/pmc/blobs/2113/9776817/df98ee57c409/diagnostics-12-03005-g006.jpg
https://cdn.ncbi.nlm.nih.gov/pmc/blobs/2113/9776817/6b443056e41c/diagnostics-12-03005-g007.jpg
https://cdn.ncbi.nlm.nih.gov/pmc/blobs/2113/9776817/185323599b6c/diagnostics-12-03005-g001.jpg
https://cdn.ncbi.nlm.nih.gov/pmc/blobs/2113/9776817/e83a6833df7b/diagnostics-12-03005-g002.jpg
https://cdn.ncbi.nlm.nih.gov/pmc/blobs/2113/9776817/3f7e59268f18/diagnostics-12-03005-g003.jpg
https://cdn.ncbi.nlm.nih.gov/pmc/blobs/2113/9776817/78dfaf1c3bb6/diagnostics-12-03005-g004.jpg
https://cdn.ncbi.nlm.nih.gov/pmc/blobs/2113/9776817/ea2b5f085449/diagnostics-12-03005-g005.jpg
https://cdn.ncbi.nlm.nih.gov/pmc/blobs/2113/9776817/df98ee57c409/diagnostics-12-03005-g006.jpg
https://cdn.ncbi.nlm.nih.gov/pmc/blobs/2113/9776817/6b443056e41c/diagnostics-12-03005-g007.jpg

相似文献

1
MRI-Based Radiomics Nomogram for Predicting Prostate Cancer with Gray-Zone Prostate-Specific Antigen Levels to Reduce Unnecessary Biopsies.基于MRI的影像组学列线图用于预测处于前列腺特异性抗原灰色区域水平的前列腺癌,以减少不必要的活检。
Diagnostics (Basel). 2022 Dec 1;12(12):3005. doi: 10.3390/diagnostics12123005.
2
Predicting prostate cancer in men with PSA levels of 4-10 ng/mL: MRI-based radiomics can help junior radiologists improve the diagnostic performance.预测 PSA 水平在 4-10ng/mL 之间的男性前列腺癌:基于 MRI 的放射组学有助于初级放射科医生提高诊断性能。
Sci Rep. 2023 Mar 24;13(1):4846. doi: 10.1038/s41598-023-31869-1.
3
The potential of a nomogram combined PI-RADS v2.1 and contrast-enhanced ultrasound (CEUS) to reduce unnecessary biopsies in prostate cancer diagnostics.列线图联合 PI-RADS v2.1 评分与超声造影在前列腺癌诊断中减少不必要活检的潜力。
Br J Radiol. 2022 Sep 1;95(1138):20220209. doi: 10.1259/bjr.20220209. Epub 2022 Aug 17.
4
Development and Validation of a Radiomics Nomogram for Predicting Clinically Significant Prostate Cancer in PI-RADS 3 Lesions.用于预测PI-RADS 3类病变中具有临床意义的前列腺癌的影像组学列线图的开发与验证
Front Oncol. 2022 Jan 26;11:825429. doi: 10.3389/fonc.2021.825429. eCollection 2021.
5
Biparametric MRI-based radiomics classifiers for the detection of prostate cancer in patients with PSA serum levels of 4∼10 ng/mL.基于双参数MRI的影像组学分类器用于检测血清前列腺特异抗原(PSA)水平为4至10 ng/mL的前列腺癌患者。
Front Oncol. 2022 Dec 5;12:1020317. doi: 10.3389/fonc.2022.1020317. eCollection 2022.
6
Multiparametric MRI-Based Radiomics for Prostate Cancer Screening With PSA in 4-10 ng/mL to Reduce Unnecessary Biopsies.基于多参数磁共振成像的影像组学用于血清前列腺特异抗原水平在4至10 ng/mL之间的前列腺癌筛查以减少不必要的活检
J Magn Reson Imaging. 2020 Jun;51(6):1890-1899. doi: 10.1002/jmri.27008. Epub 2019 Dec 6.
7
Developing a nomogram based on multiparametric magnetic resonance imaging for forecasting high-grade prostate cancer to reduce unnecessary biopsies within the prostate-specific antigen gray zone.基于多参数磁共振成像开发一种列线图,用于预测高级别前列腺癌,以减少前列腺特异性抗原灰色区域内不必要的活检。
BMC Med Imaging. 2017 Feb 1;17(1):11. doi: 10.1186/s12880-017-0184-x.
8
A nomogram based on PI-RADS v2.1 and clinical indicators for predicting clinically significant prostate cancer in the transition zone.基于PI-RADS v2.1和临床指标的列线图,用于预测移行区临床显著前列腺癌。
Transl Androl Urol. 2021 Jun;10(6):2435-2446. doi: 10.21037/tau-21-49.
9
Use of Radiomics to Improve Diagnostic Performance of PI-RADS v2.1 in Prostate Cancer.利用影像组学提高PI-RADS v2.1在前列腺癌中的诊断性能
Front Oncol. 2021 Feb 17;10:631831. doi: 10.3389/fonc.2020.631831. eCollection 2020.
10
Prostate Cancer Differentiation and Aggressiveness: Assessment With a Radiomic-Based Model vs. PI-RADS v2.前列腺癌分化与侵袭性:基于放射组学模型与 PI-RADS v2 评估的比较
J Magn Reson Imaging. 2019 Mar;49(3):875-884. doi: 10.1002/jmri.26243. Epub 2018 Sep 19.

引用本文的文献

1
Machine learning based on automated 3D radiomics features to classify prostate cancer in patients with prostate-specific antigen levels of 4-10 ng/mL.基于自动三维影像组学特征的机器学习用于对前列腺特异性抗原水平为4 - 10 ng/mL的患者的前列腺癌进行分类。
Transl Androl Urol. 2025 Apr 30;14(4):1025-1035. doi: 10.21037/tau-2024-731. Epub 2025 Apr 27.
2
Comparison in prostate cancer diagnosis with PSA 4-10 ng/mL: radiomics-based model VS. PI-RADS v2.1.在 PSA 4-10ng/mL 范围内的前列腺癌诊断中比较:基于放射组学的模型与 PI-RADS v2.1。
BMC Urol. 2024 Oct 23;24(1):233. doi: 10.1186/s12894-024-01625-2.
3
Comparisons of the diagnostic accuracy across prostate health index, prostate health index density, and percentage free prostate-specific antigen for clinically significant prostate cancer: a prospective diagnostic study.

本文引用的文献

1
[Influence of prostatic calculi on the results of prostate biopsy in patients with a PSA level of 4-10 μg/L].[前列腺结石对前列腺特异性抗原水平为4-10μg/L患者前列腺活检结果的影响]
Zhonghua Nan Ke Xue. 2021 Aug;27(8):718-724.
2
The Role of PSA Density among PI-RADS v2.1 Categories to Avoid an Unnecessary Transition Zone Biopsy in Patients with PSA 4-20 ng/mL.前列腺特异性抗原密度在PI-RADS v2.1分类中对避免血清前列腺特异性抗原水平为4-20 ng/mL患者进行不必要的移行带活检的作用。
Biomed Res Int. 2021 Oct 11;2021:3995789. doi: 10.1155/2021/3995789. eCollection 2021.
3
A Nomogram Based on a Multiparametric Ultrasound Radiomics Model for Discrimination Between Malignant and Benign Prostate Lesions.
前列腺健康指数、前列腺健康指数密度和游离前列腺特异性抗原百分比对临床显著性前列腺癌的诊断准确性比较:一项前瞻性诊断研究。
Transl Androl Urol. 2023 Mar 31;12(3):425-432. doi: 10.21037/tau-23-80. Epub 2023 Mar 28.
4
Predicting prostate cancer in men with PSA levels of 4-10 ng/mL: MRI-based radiomics can help junior radiologists improve the diagnostic performance.预测 PSA 水平在 4-10ng/mL 之间的男性前列腺癌:基于 MRI 的放射组学有助于初级放射科医生提高诊断性能。
Sci Rep. 2023 Mar 24;13(1):4846. doi: 10.1038/s41598-023-31869-1.
5
Radiomic Machine-Learning Analysis of Multiparametric Magnetic Resonance Imaging in the Diagnosis of Clinically Significant Prostate Cancer: New Combination of Textural and Clinical Features.基于多参数磁共振成像的放射组学机器学习分析在诊断临床显著前列腺癌中的应用:纹理特征和临床特征的新组合。
Curr Oncol. 2023 Feb 7;30(2):2021-2031. doi: 10.3390/curroncol30020157.
基于多参数超声影像组学模型的列线图用于鉴别前列腺良恶性病变
Front Oncol. 2021 Mar 2;11:610785. doi: 10.3389/fonc.2021.610785. eCollection 2021.
4
Cancer Statistics, 2021.癌症统计数据,2021.
CA Cancer J Clin. 2021 Jan;71(1):7-33. doi: 10.3322/caac.21654. Epub 2021 Jan 12.
5
Histopathological Ratios to Predict Gleason Score Agreement between Biopsy and Radical Prostatectomy.预测活检与根治性前列腺切除术之间Gleason评分一致性的组织病理学比率。
Diagnostics (Basel). 2020 Dec 23;11(1):10. doi: 10.3390/diagnostics11010010.
6
Noninvasive Prediction of High-Grade Prostate Cancer via Biparametric MRI Radiomics.通过双参数MRI影像组学对高级别前列腺癌进行无创预测。
J Magn Reson Imaging. 2020 Oct;52(4):1102-1109. doi: 10.1002/jmri.27132. Epub 2020 Mar 25.
7
Radiomics prediction model for the improved diagnosis of clinically significant prostate cancer on biparametric MRI.基于双参数磁共振成像的影像组学预测模型用于改善临床显著性前列腺癌的诊断
Quant Imaging Med Surg. 2020 Feb;10(2):368-379. doi: 10.21037/qims.2019.12.06.
8
Multiparametric MRI-Based Radiomics Nomogram for Predicting Lymph Node Metastasis in Early-Stage Cervical Cancer.基于多参数磁共振成像的影像组学列线图预测早期宫颈癌淋巴结转移
J Magn Reson Imaging. 2020 Sep;52(3):885-896. doi: 10.1002/jmri.27101. Epub 2020 Feb 25.
9
A novel nomogram combined PIRADS v2 and neutrophil-to-lymphocyte ratio to predict the risk of clinically significant prostate cancer in men with PSA < 10 ng/ml at first biopsy.一种新的列线图,结合了 PIRADS v2 和中性粒细胞与淋巴细胞比值,用于预测首次活检时 PSA<10ng/ml 的男性中临床显著前列腺癌的风险。
Urol Oncol. 2020 May;38(5):401-409. doi: 10.1016/j.urolonc.2019.12.006. Epub 2019 Dec 23.
10
Multiparametric MRI-Based Radiomics for Prostate Cancer Screening With PSA in 4-10 ng/mL to Reduce Unnecessary Biopsies.基于多参数磁共振成像的影像组学用于血清前列腺特异抗原水平在4至10 ng/mL之间的前列腺癌筛查以减少不必要的活检
J Magn Reson Imaging. 2020 Jun;51(6):1890-1899. doi: 10.1002/jmri.27008. Epub 2019 Dec 6.