Suppr超能文献

迈向大型猿类词典:非专业人类理解常见的非人类猿类手势。

Towards a great ape dictionary: Inexperienced humans understand common nonhuman ape gestures.

机构信息

Wild Minds Lab, School of Psychology and Neuroscience, University of St Andrews, St Andrews, Scotland, United Kingdom.

出版信息

PLoS Biol. 2023 Jan 24;21(1):e3001939. doi: 10.1371/journal.pbio.3001939. eCollection 2023 Jan.

Abstract

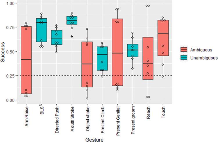
In the comparative study of human and nonhuman communication, ape gesturing provided the first demonstrations of flexible, intentional communication outside human language. Rich repertoires of these gestures have been described in all ape species, bar one: us. Given that the majority of great ape gestural signals are shared, and their form appears biologically inherited, this creates a conundrum: Where did the ape gestures go in human communication? Here, we test human recognition and understanding of 10 of the most frequently used ape gestures. We crowdsourced data from 5,656 participants through an online game, which required them to select the meaning of chimpanzee and bonobo gestures in 20 videos. We show that humans may retain an understanding of ape gestural communication (either directly inherited or part of more general cognition), across gesture types and gesture meanings, with information on communicative context providing only a marginal improvement in success. By assessing comprehension, rather than production, we accessed part of the great ape gestural repertoire for the first time in adult humans. Cognitive access to an ancestral system of gesture appears to have been retained after our divergence from other apes, drawing deep evolutionary continuity between their communication and our own.

摘要

在人类与非人类沟通的比较研究中,猿类的手势为除人类语言之外的灵活、有意图的沟通提供了首次例证。在所有猿类物种中,除了人类以外,都有丰富的这类手势描述。鉴于大多数大型猿类的手势信号是共有的,而且它们的形式似乎是生物遗传的,这就产生了一个难题:人类沟通中的猿类手势是从哪里来的?在这里,我们测试了 10 种最常用的猿类手势的人类识别和理解能力。我们通过一个在线游戏从 5656 名参与者那里众包数据,要求他们在 20 个视频中选择黑猩猩和倭黑猩猩手势的含义。我们表明,人类可能保留了对猿类手势沟通的理解(无论是直接继承的,还是更一般认知的一部分),无论是手势类型还是手势含义,传达语境的信息只是在成功方面略有提高。通过评估理解能力,而不是生成能力,我们首次在成年人类中访问了大型猿类手势的一部分。在我们与其他猿类分化之后,对祖先手势系统的认知能力似乎得到了保留,这在它们的沟通和我们自己的沟通之间建立了深刻的进化连续性。

https://cdn.ncbi.nlm.nih.gov/pmc/blobs/f6cb/9873169/ba78bdaba7f3/pbio.3001939.g001.jpg

文献AI研究员

20分钟写一篇综述,助力文献阅读效率提升50倍。

立即体验

用中文搜PubMed

大模型驱动的PubMed中文搜索引擎

马上搜索

文档翻译

学术文献翻译模型,支持多种主流文档格式。

立即体验