Suppr超能文献

性别调节的 2D:4D 比值与加纳成年人群循环激素的关系。

Sex-moderated relationship between the 2D:4D ratio and circulating hormones in an adult Ghanaian population.

机构信息

Department of Biomedical Laboratory Science, University for Development Studies, Tamale, Ghana.

出版信息

Physiol Rep. 2023 Jan;11(2):e15578. doi: 10.14814/phy2.15578.

Abstract

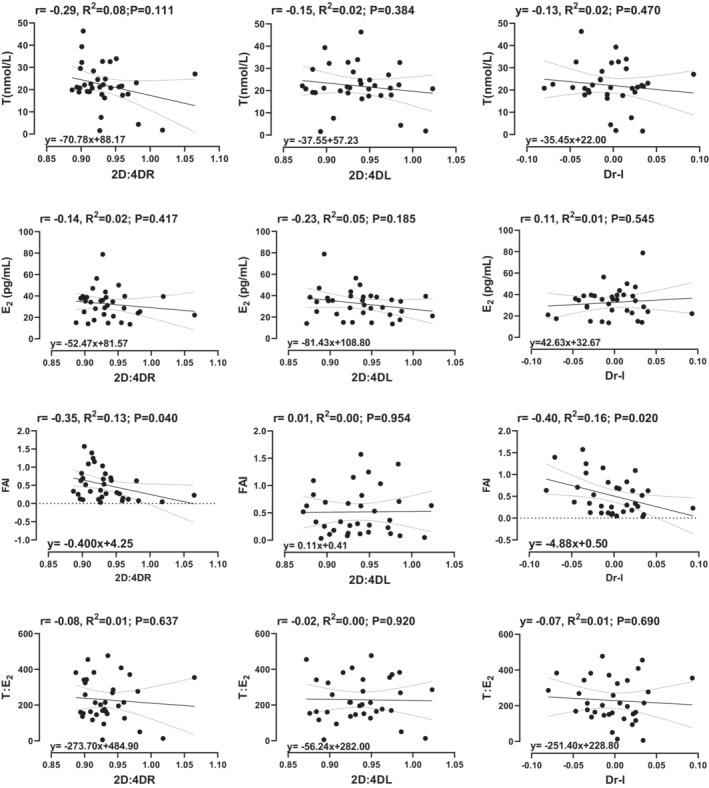
The second-to-fourth digit ratio (2D:4D) is the putative marker of prenatal hormone exposure. The 2D:4D ratio or the right-left difference (Dr-l) are said to be negative and positive correlates, respectively, of circulating testosterone and estrogen in both adult males and females. However, previous studies on the subject have reported mixed results. This study aimed to determine the sex-moderated relationship between the 2D:4D ratio and adult circulating testosterone, estradiol, testosterone-to-estradiol ratio and the free androgen index. This was a cross-sectional study from January to June 2021 at the University for Development Studies, Ghana. The study involved 62 participants (Female = 28; Male = 34), aged between 20 and 26 years. The right (2D:4DR), the left (2D:4DL), and their difference (Dr-l) were measured by computer-assisted analysis. Fasting venous samples were assayed for total testosterone (T), estradiol (E ), and sex hormone-binding globulin (SHBG) using ELISA. The free androgen index (FAI) was then calculated (T/SHBG) and the data were analyzed using moderated and/or weighted regression. Males had significantly higher T and FAI than females while females had significantly higher E than males, which were independent of age and body mass index (p < 0.001). There was a significant SEX*Dr-l interaction on FAI (p = 0.007). The Dr-l correlated negatively with FAI in males but positively in females and accounted for about 94.0% of the variability of FAI in males (adjR  = 0.940) and only 0.2% in females (adjR  = 0.002). The 2D:4D ratio, a putative marker of prenatal hormone exposure, may have an impact on sex differences in adult free androgen index.

摘要

第二到第四指骨长度比(2D:4D)被认为是产前激素暴露的指标。2D:4D 比值或左右差异(Dr-l)分别被认为是成年男性和女性循环睾酮和雌激素的负相关和正相关。然而,此前的相关研究结果并不一致。本研究旨在确定 2D:4D 比值与成年循环睾酮、雌二醇、睾酮/雌二醇比值和游离雄激素指数之间存在性别调节关系。这是 2021 年 1 月至 6 月在加纳发展研究大学进行的一项横断面研究。该研究涉及 62 名参与者(女性=28;男性=34),年龄在 20 至 26 岁之间。使用计算机辅助分析测量右手(2D:4DR)、左手(2D:4DL)及其差异(Dr-l)。使用酶联免疫吸附试验(ELISA)测定空腹静脉样本中的总睾酮(T)、雌二醇(E )和性激素结合球蛋白(SHBG)。然后计算游离雄激素指数(FAI)(T/SHBG),并使用调节和/或加权回归分析数据。男性的 T 和 FAI 显著高于女性,而女性的 E 显著高于男性,这与年龄和体重指数无关(p < 0.001)。FAI 存在显著的 SEX*Dr-l 交互作用(p=0.007)。Dr-l 与男性的 FAI 呈负相关,与女性的 FAI 呈正相关,并且解释了男性 FAI 变异性的 94.0%(调整后的 R 平方=0.940),而仅解释了女性 FAI 变异性的 0.2%(调整后的 R 平方=0.002)。2D:4D 比值,一种产前激素暴露的指标,可能对成年游离雄激素指数的性别差异有影响。

https://cdn.ncbi.nlm.nih.gov/pmc/blobs/ead5/9875815/92b3555dcb0a/PHY2-11-e15578-g005.jpg

文献AI研究员

20分钟写一篇综述,助力文献阅读效率提升50倍。

立即体验

用中文搜PubMed

大模型驱动的PubMed中文搜索引擎

马上搜索

文档翻译

学术文献翻译模型,支持多种主流文档格式。

立即体验