• 文献检索
  • 文档翻译
  • 深度研究
  • 学术资讯
  • Suppr Zotero 插件Zotero 插件
  • 邀请有礼
  • 套餐&价格
  • 历史记录
应用&插件
Suppr Zotero 插件Zotero 插件浏览器插件Mac 客户端Windows 客户端微信小程序
定价
高级版会员购买积分包购买API积分包
服务
文献检索文档翻译深度研究API 文档MCP 服务
关于我们
关于 Suppr公司介绍联系我们用户协议隐私条款
关注我们

Suppr 超能文献

核心技术专利:CN118964589B侵权必究
粤ICP备2023148730 号-1Suppr @ 2026

文献检索

告别复杂PubMed语法,用中文像聊天一样搜索,搜遍4000万医学文献。AI智能推荐,让科研检索更轻松。

立即免费搜索

文件翻译

保留排版,准确专业,支持PDF/Word/PPT等文件格式,支持 12+语言互译。

免费翻译文档

深度研究

AI帮你快速写综述,25分钟生成高质量综述,智能提取关键信息,辅助科研写作。

立即免费体验

在三种环境条件下对 Bambara 花生 [(L.)Verdc.] 的农艺性能进行 AMMI 和 GGE 双标图分析。

AMMI and GGE biplot analyses of Bambara groundnut [ (L.) Verdc.] for agronomic performances under three environmental conditions.

作者信息

Esan Vincent Ishola, Oke Grace Oluwasikemi, Ogunbode Timothy Oyebamiji, Obisesan Idowu Arinola

机构信息

Environmental Management and Crop Production Unit, B. Agriculture Program, College of Agriculture, Bowen University, Iwo, Nigeria.

Pure and Applied Biology Program, College of Agriculture Bowen University, Iwo, Nigeria.

出版信息

Front Plant Sci. 2023 Jan 20;13:997429. doi: 10.3389/fpls.2022.997429. eCollection 2022.

DOI:10.3389/fpls.2022.997429
PMID:36743535
原文链接:https://pmc.ncbi.nlm.nih.gov/articles/PMC9895831/
Abstract

INTRODUCTION

The two most common styles to analyze genotype-by-environment interaction (GEI) and estimate genotypes are additive main effects and multiplicative interaction (AMMI) and genotype + genotype × environment (GGE) biplot. Therefore, the aim of this study was to find the winning genotype(s) under three locations, as well as to investigate the nature and extent of GEI effects on Bambara groundnut production.

METHODS

The experiment was carried out in the fields of three environments with 15 Bambara groundnut accessions using the randomized complete block design (RCBD) with three replications each in Ibadan, Osun, and Odeda. Yield per plant, fresh seed weight, total number of pods per plant, hundred seed weight, length of seeds, and width of seeds were estimated.

RESULTS

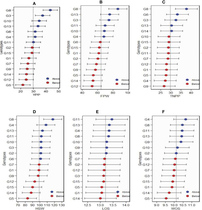
According to the combined analysis of variance over environments, genotypes and GEI both had a significant (p < 0.001) impact on Bambara groundnut (BGN) yield. This result revealed that BGN accessions performed differently in the three locations. A two-dimensional GGE biplot was generated using the first two principal component analyses for the pattern of the interaction components with the genotype and GEI. The first two principal component analyses (PCAs) for yield per plant accounted for 59.9% in PCA1 and 40.1% in PCA2. The genotypes that performed best in each environment based on the "which-won-where" polygon were G8, G3, G2, G11, G6, and G4. They were also the vertex genotypes for each environment. Based on the ranking of genotypes, the ideal genotypes were G2 and G6 for YPP, G1 and G5 for FPW, G15 and G13 for TNPP, G3 and GG7 for HSW, G7 and G12 for LOS, and G10 and G7 for WOS. G8 was recorded as the top most-yielding genotype. G8, G4, G7, and G13 were high yielding and the most stable across the environments; G11, G14, and G9 were unstable, but they yielded above-average performance; G14, G12, G15, and G1 were unstable and yielded poorly, as their performances were below average. Bowen was the most discriminating and representative environment and is classified as the superior environment.

DISCUSSION

Based on the performance of accessions in each region, we recommend TVSU 455 (G8) and TVSU 458 (G3) in Bowen, TVSU 455 (G8) and TVSU 939 (G6) and TVSU 454 (G1) in Ibadan, and TVSU 158 (G2) and TVSU 2096 (G10) in Odeda. The variety that performed best in the three environments was TVSU 455 (G8). They could also be used as parental lines in breeding programs.

摘要

引言

分析基因型与环境互作(GEI)和估算基因型的两种最常见方法是加性主效应和乘积互作(AMMI)以及基因型 + 基因型×环境(GGE)双标图。因此,本研究的目的是找出在三个地点表现最佳的基因型,并研究GEI效应在 Bambara 花生生产中的性质和程度。

方法

在三个环境的田间对 15 个 Bambara 花生种质进行试验,采用随机完全区组设计(RCBD),在伊巴丹、奥孙和奥代达各重复三次。估算了单株产量、鲜种子重量、单株荚果总数、百粒重、种子长度和种子宽度。

结果

根据环境、基因型和 GEI 的联合方差分析,它们对 Bambara 花生(BGN)产量均有显著(p < 0.001)影响。这一结果表明 BGN 种质在三个地点的表现不同。利用前两个主成分分析生成二维 GGE 双标图,以分析基因型和 GEI 的互作成分模式。单株产量的前两个主成分分析(PCA)中主成分 1(PCA1)占 59.9%,主成分 2(PCA2)占 40.1%。根据“何处胜出”多边形,在每个环境中表现最佳的基因型是 G8、G3、G2、G11、G6 和 G4。它们也是每个环境的顶点基因型。根据基因型排名,单株产量的理想基因型是 G2 和 G6,鲜种子重量的是 G1 和 G5,单株荚果总数的是 G15 和 G13,百粒重的是 G3 和 GG7,种子长度的是 G7 和 G12,种子宽度的是 G10 和 G7。G8 被记录为产量最高的基因型。G8、G4、G7 和 G13 产量高且在各环境中最稳定;G11、G14 和 G9 不稳定,但产量高于平均水平;G14、G12、G15 和 G1 不稳定且产量低,因为它们的表现低于平均水平。博文是最具鉴别力和代表性的环境,被归类为优越环境。

讨论

根据各地区种质的表现,我们推荐在博文种植 TVSU 455(G8)和 TVSU 458(G3),在伊巴丹种植 TVSU 455(G8)、TVSU 939(G6)和 TVSU 454(G1),在奥代达种植 TVSU 158(G2)和 TVSU 2096(G10)。在三个环境中表现最佳的品种是 TVSU 455(G8)。它们也可作为育种计划中的亲本系。

https://cdn.ncbi.nlm.nih.gov/pmc/blobs/6f4a/9895831/5fd3af98e545/fpls-13-997429-g010.jpg
https://cdn.ncbi.nlm.nih.gov/pmc/blobs/6f4a/9895831/53a98473ebc2/fpls-13-997429-g001.jpg
https://cdn.ncbi.nlm.nih.gov/pmc/blobs/6f4a/9895831/a307aec50c1b/fpls-13-997429-g002.jpg
https://cdn.ncbi.nlm.nih.gov/pmc/blobs/6f4a/9895831/9e245165e351/fpls-13-997429-g003.jpg
https://cdn.ncbi.nlm.nih.gov/pmc/blobs/6f4a/9895831/12bc1f441275/fpls-13-997429-g004.jpg
https://cdn.ncbi.nlm.nih.gov/pmc/blobs/6f4a/9895831/db348837aacc/fpls-13-997429-g005.jpg
https://cdn.ncbi.nlm.nih.gov/pmc/blobs/6f4a/9895831/debc60e070a2/fpls-13-997429-g006.jpg
https://cdn.ncbi.nlm.nih.gov/pmc/blobs/6f4a/9895831/3624a8b5b205/fpls-13-997429-g007.jpg
https://cdn.ncbi.nlm.nih.gov/pmc/blobs/6f4a/9895831/2cd2b26d38c5/fpls-13-997429-g008.jpg
https://cdn.ncbi.nlm.nih.gov/pmc/blobs/6f4a/9895831/4d415a490a6a/fpls-13-997429-g009.jpg
https://cdn.ncbi.nlm.nih.gov/pmc/blobs/6f4a/9895831/5fd3af98e545/fpls-13-997429-g010.jpg
https://cdn.ncbi.nlm.nih.gov/pmc/blobs/6f4a/9895831/53a98473ebc2/fpls-13-997429-g001.jpg
https://cdn.ncbi.nlm.nih.gov/pmc/blobs/6f4a/9895831/a307aec50c1b/fpls-13-997429-g002.jpg
https://cdn.ncbi.nlm.nih.gov/pmc/blobs/6f4a/9895831/9e245165e351/fpls-13-997429-g003.jpg
https://cdn.ncbi.nlm.nih.gov/pmc/blobs/6f4a/9895831/12bc1f441275/fpls-13-997429-g004.jpg
https://cdn.ncbi.nlm.nih.gov/pmc/blobs/6f4a/9895831/db348837aacc/fpls-13-997429-g005.jpg
https://cdn.ncbi.nlm.nih.gov/pmc/blobs/6f4a/9895831/debc60e070a2/fpls-13-997429-g006.jpg
https://cdn.ncbi.nlm.nih.gov/pmc/blobs/6f4a/9895831/3624a8b5b205/fpls-13-997429-g007.jpg
https://cdn.ncbi.nlm.nih.gov/pmc/blobs/6f4a/9895831/2cd2b26d38c5/fpls-13-997429-g008.jpg
https://cdn.ncbi.nlm.nih.gov/pmc/blobs/6f4a/9895831/4d415a490a6a/fpls-13-997429-g009.jpg
https://cdn.ncbi.nlm.nih.gov/pmc/blobs/6f4a/9895831/5fd3af98e545/fpls-13-997429-g010.jpg

相似文献

1
AMMI and GGE biplot analyses of Bambara groundnut [ (L.) Verdc.] for agronomic performances under three environmental conditions.在三种环境条件下对 Bambara 花生 [(L.)Verdc.] 的农艺性能进行 AMMI 和 GGE 双标图分析。
Front Plant Sci. 2023 Jan 20;13:997429. doi: 10.3389/fpls.2022.997429. eCollection 2022.
2
AMMI and GGE biplot analysis for yield performance and stability assessment of selected Bambara groundnut (Vigna subterranea L. Verdc.) genotypes under the multi-environmental trails (METs).AMMI 和 GGE 双标图分析在多环境试验(METs)下对选定的斑豆(Vigna subterranea L. Verdc.)基因型的产量表现和稳定性评估。
Sci Rep. 2021 Nov 23;11(1):22791. doi: 10.1038/s41598-021-01411-2.
3
Genotype-by-environment interaction and stability analysis of grain yield of bread wheat ( L.) genotypes using AMMI and GGE biplot analyses.利用AMMI和GGE双标图分析对面包小麦(L.)基因型的籽粒产量进行基因型与环境互作及稳定性分析。
Heliyon. 2024 Jun 14;10(12):e32918. doi: 10.1016/j.heliyon.2024.e32918. eCollection 2024 Jun 30.
4
Analysis of genotype-by-environment interaction effect in barely genotypes using AMMI and GGE biplot methods.利用AMMI和GGE双标图方法分析大麦基因型与环境的互作效应
Heliyon. 2024 Sep 19;10(18):e38131. doi: 10.1016/j.heliyon.2024.e38131. eCollection 2024 Sep 30.
5
Genotype × environment interaction and stability analysis for seed yield and yield components in sesame ( L.) in Benin Republic using AMMI, GGE biplot and MTSI.利用AMMI、GGE双标图和MTSI对贝宁共和国芝麻种子产量及产量构成因素进行基因型×环境互作与稳定性分析
Heliyon. 2023 Oct 31;9(11):e21656. doi: 10.1016/j.heliyon.2023.e21656. eCollection 2023 Nov.
6
Genotype x environment interaction and yield stability of soybean (Glycine max l.) genotypes in multi-environment trials (METs) in Nigeria.尼日利亚多环境试验(METs)中大豆(Glycine max l.)基因型的基因型×环境互作及产量稳定性
Heliyon. 2024 Sep 18;10(19):e38097. doi: 10.1016/j.heliyon.2024.e38097. eCollection 2024 Oct 15.
7
Integrating BLUP, AMMI, and GGE Models to Explore GE Interactions for Adaptability and Stability of Winter Lentils ( Medik.).整合最佳线性无偏预测(BLUP)、加性主效应乘积交互作用(AMMI)和基因型与环境互作(GGE)模型,以探究冬小扁豆(Medik.)适应性和稳定性的基因型与环境互作。
Plants (Basel). 2023 May 23;12(11):2079. doi: 10.3390/plants12112079.
8
Dissection of genotype × environment interactions for mucilage and seed yield in Plantago species: Application of AMMI and GGE biplot analyses.解析车前属植物粘液和种子产量的基因型×环境互作:AMMI 和 GGE 双标图分析的应用。
PLoS One. 2018 May 1;13(5):e0196095. doi: 10.1371/journal.pone.0196095. eCollection 2018.
9
Country-wide, multi-location trials of Green Super Rice lines for yield performance and stability analysis using genetic and stability parameters.在全国范围内,利用遗传和稳定性参数对绿色超级稻品系进行产量性能和稳定性分析的多地点试验。
Sci Rep. 2024 Apr 24;14(1):9416. doi: 10.1038/s41598-024-55510-x.
10
Adaptability and stability for soybean yield by AMMI and GGE models in Ethiopia.埃塞俄比亚利用AMMI和GGE模型评估大豆产量的适应性与稳定性
Front Plant Sci. 2022 Nov 23;13:950992. doi: 10.3389/fpls.2022.950992. eCollection 2022.

引用本文的文献

1
Genotype-by-environment interaction influencing sensory attributes and biochemical components of peanuts from China.基因型与环境互作对中国花生感官特性和生化成分的影响。
Front Plant Sci. 2025 Aug 1;16:1609969. doi: 10.3389/fpls.2025.1609969. eCollection 2025.
2
Enhancing tomato drought resilience with organic amendments and local landraces.利用有机改良剂和当地地方品种提高番茄的抗旱能力。
Sci Rep. 2025 Jul 18;15(1):26172. doi: 10.1038/s41598-025-12098-0.
3
Delineating genotype × environment interaction for horticultural traits in tomato using GGE and AMMI biplot analysis.

本文引用的文献

1
Analysis of genotype-by-environment interactions in a maize mapping population.玉米作图群体中基因型-环境互作分析。
G3 (Bethesda). 2022 Mar 4;12(3). doi: 10.1093/g3journal/jkac013.
2
DNA fingerprinting, fixation-index (Fst), and admixture mapping of selected Bambara groundnut (Vigna subterranea [L.] Verdc.) accessions using ISSR markers system.利用 ISSR 标记系统对选定的斑鸠花生(Vigna subterranea [L.] Verdc.)种质进行 DNA 指纹图谱、固定指数(Fst)和杂种来源分析。
Sci Rep. 2021 Jul 15;11(1):14527. doi: 10.1038/s41598-021-93867-5.
3
Genotype x environment interaction and genetic gain for grain yield and grain quality traits in Turkish spring wheat released between 1964 and 2010.
利用GGE和AMMI双标图分析确定番茄园艺性状的基因型×环境互作
Sci Rep. 2025 Jul 3;15(1):23796. doi: 10.1038/s41598-025-09021-y.
4
Grass pea dual purpose dry matter and seed yields in rainfed conditions across diverse environments.不同环境下雨养条件下草豌豆的两用干物质产量和种子产量
Sci Rep. 2025 Feb 10;15(1):4960. doi: 10.1038/s41598-025-89050-9.
5
Stability and adaptability of grain yield in quinoa genotypes in four locations of Iran.伊朗四个地区藜麦基因型的谷物产量稳定性和适应性
Front Plant Sci. 2024 Nov 29;15:1487106. doi: 10.3389/fpls.2024.1487106. eCollection 2024.
6
Assessment of genotype by environment and yield performance of tropical maize hybrids using stability statistics and graphical biplots.利用稳定性统计和图形双标图评估热带玉米杂交种的基因型与环境互作及产量表现
PeerJ. 2024 Nov 29;12:e18624. doi: 10.7717/peerj.18624. eCollection 2024.
7
Identification of stable restorers and high-yielding hybrids using diverse sorghum male sterile cytoplasmic sources and established pollen parents under different water regimes.利用不同高粱雄性不育细胞质源和已确立的花粉亲本,在不同水分条件下鉴定稳定恢复系和高产杂交种。
Heliyon. 2024 Oct 24;10(21):e39807. doi: 10.1016/j.heliyon.2024.e39807. eCollection 2024 Nov 15.
8
GGE biplot analysis for genotype × environment interactions affecting the seed shattering of .用于分析影响……种子散落性的基因型×环境互作的GGE双标图分析
Heliyon. 2024 Oct 13;10(20):e39105. doi: 10.1016/j.heliyon.2024.e39105. eCollection 2024 Oct 30.
9
Analysis of genotype-by-environment interaction effect in barely genotypes using AMMI and GGE biplot methods.利用AMMI和GGE双标图方法分析大麦基因型与环境的互作效应
Heliyon. 2024 Sep 19;10(18):e38131. doi: 10.1016/j.heliyon.2024.e38131. eCollection 2024 Sep 30.
10
Multi-environment testing for G×E interactions and identification of high-yielding, stable, medium-duration pigeonpea genotypes employing AMMI, GGE biplot, and YREM analyses.利用加性主效应乘积交互作用(AMMI)、基因型与环境互作双标图(GGE双标图)和产量回归估计模型(YREM)分析进行多环境试验,以检测基因型与环境互作(G×E)并鉴定高产、稳产、生育期适中的木豆基因型。
Front Plant Sci. 2024 Jul 19;15:1396826. doi: 10.3389/fpls.2024.1396826. eCollection 2024.
1964 年至 2010 年期间育成的土耳其春小麦品种产量和品质性状的基因型与环境互作及遗传增益。
PLoS One. 2019 Jul 18;14(7):e0219432. doi: 10.1371/journal.pone.0219432. eCollection 2019.
4
Biplot evaluation of test environments and identification of mega-environment for sugarcane cultivars in China.中国甘蔗品种试验环境的双标图评价及巨环境鉴定
Sci Rep. 2015 Oct 22;5:15505. doi: 10.1038/srep15505.
5
Nutritive Evaluation of the Bambara Groundnut Ci12 Landrace [Vigna subterranea (L.) Verdc. (Fabaceae)] Produced in Côte d'Ivoire.对在科特迪瓦生产的班巴拉花生Ci12地方品种[Vigna subterranea (L.) Verdc. (豆科)]的营养评价。
Int J Mol Sci. 2015 Sep 7;16(9):21428-41. doi: 10.3390/ijms160921428.
6
Efficient in vitro direct shoot organogenesis and regeneration of fertile plants from embryo explants of Bambara groundnut ( Vigna subterranea L. Verdc.).利用 Bambara 花生(Vigna subterranea L. Verdc.)胚外植体高效进行体外直接芽器官发生及可育植株再生。
Plant Cell Rep. 2003 Aug;21(12):1153-8. doi: 10.1007/s00299-003-0647-0. Epub 2003 May 24.
7
Legumes in human nutrition. Food and Agriculture Organization of the United Nations.人类营养中的豆类。联合国粮食及农业组织。
FAO Food Nutr Pap. 1982;20:1-152.