• 文献检索
  • 文档翻译
  • 深度研究
  • 学术资讯
  • Suppr Zotero 插件Zotero 插件
  • 邀请有礼
  • 套餐&价格
  • 历史记录
应用&插件
Suppr Zotero 插件Zotero 插件浏览器插件Mac 客户端Windows 客户端微信小程序
定价
高级版会员购买积分包购买API积分包
服务
文献检索文档翻译深度研究API 文档MCP 服务
关于我们
关于 Suppr公司介绍联系我们用户协议隐私条款
关注我们

Suppr 超能文献

核心技术专利:CN118964589B侵权必究
粤ICP备2023148730 号-1Suppr @ 2026

文献检索

告别复杂PubMed语法,用中文像聊天一样搜索,搜遍4000万医学文献。AI智能推荐,让科研检索更轻松。

立即免费搜索

文件翻译

保留排版,准确专业,支持PDF/Word/PPT等文件格式,支持 12+语言互译。

免费翻译文档

深度研究

AI帮你快速写综述,25分钟生成高质量综述,智能提取关键信息,辅助科研写作。

立即免费体验

种子多糖的结构表征:对体内镉毒性的肝保护作用

Structural Characterization of Polysaccharides from Seeds: Hepatoprotective Effect against Cadmium Toxicity In Vivo.

作者信息

Sfar Manel, Souid Ghada, Alminderej Fahad M, Mzoughi Zeineb, El-Ghoul Yassine, Rihouey Christophe, Le Cerf Didier, Majdoub Hatem

机构信息

Laboratory of Interfaces and Advanced Materials, Faculty of Sciences of Monastir, University of Monastir, Monastir 5000, Tunisia.

Research Unit: Viral Genomic and Antiviral Strategy (UR 17ES 30), University of Monastir, Higher Institute of Biotechnology of Monastir, Monastir 5000, Tunisia.

出版信息

Antioxidants (Basel). 2023 Feb 10;12(2):455. doi: 10.3390/antiox12020455.

DOI:10.3390/antiox12020455
PMID:36830010
原文链接:https://pmc.ncbi.nlm.nih.gov/articles/PMC9952120/
Abstract

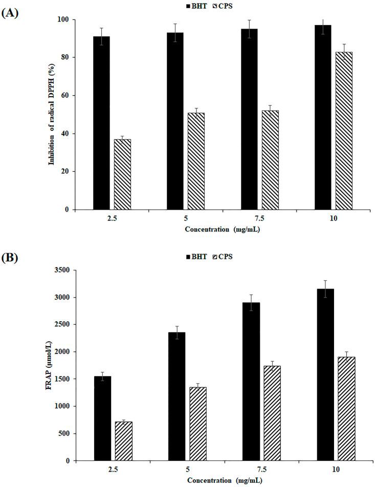
is one of the most widespread curative plants in the world, being vastly cultivated in arid and semi-arid regions as one of the oldest spice plants. The present study explored the extraction of polysaccharides from Coriandrum sativum seeds and the evaluation of their antioxidant potential and hepatoprotective effects in vivo. The polysaccharide from coriander seeds was extracted, and the structural characterization was performed by FT-IR, UV-vis, DSC, NMR (1D and 2D), GC-MS, and SEC analysis. The polysaccharide extracted from (CPS) seeds was characterized to evaluate its antioxidant and hepatoprotective capacities in rats. Results showed that CPS was composed of arabinose, rhamnose, xylose, mannose, fructose, galactose, and glucose in molar percentages of 6.2%, 3.6%, 8.8%, 17.7%, 5.2%, 32.9%, and 25.6%, respectively. Further, CPS significantly hindered cadmium-induced oxidation damage and exercised a protective effect against Cd hepatocytotoxicity, with a considerable reduction in MDA production and interesting CAT and SOD enzyme levels. Results suggest that CPS might be employed as a natural antioxidant source.

摘要

是世界上分布最广的药用植物之一,作为最古老的香料植物之一,在干旱和半干旱地区广泛种植。本研究探讨了从芫荽籽中提取多糖及其体内抗氧化潜力和肝脏保护作用的评估。提取了芫荽籽中的多糖,并通过傅里叶变换红外光谱(FT-IR)、紫外可见光谱(UV-vis)、差示扫描量热法(DSC)、核磁共振(NMR,一维和二维)、气相色谱-质谱联用(GC-MS)和尺寸排阻色谱(SEC)分析进行了结构表征。对从(CPS)种子中提取的多糖进行表征,以评估其在大鼠体内的抗氧化和肝脏保护能力。结果表明,CPS由阿拉伯糖、鼠李糖、木糖、甘露糖、果糖、半乳糖和葡萄糖组成,摩尔百分比分别为6.2%、3.6%、8.8%、17.7%、5.2%、32.9%和25.6%。此外,CPS显著抑制了镉诱导的氧化损伤,并对镉肝细胞毒性发挥了保护作用,丙二醛(MDA)生成量显著降低,过氧化氢酶(CAT)和超氧化物歧化酶(SOD)酶水平也呈现出有趣的变化。结果表明,CPS可能被用作天然抗氧化剂来源。

https://cdn.ncbi.nlm.nih.gov/pmc/blobs/8c4c/9952120/eba0b1924186/antioxidants-12-00455-g006.jpg
https://cdn.ncbi.nlm.nih.gov/pmc/blobs/8c4c/9952120/b8fb4aa2810d/antioxidants-12-00455-g001.jpg
https://cdn.ncbi.nlm.nih.gov/pmc/blobs/8c4c/9952120/a2d71111588c/antioxidants-12-00455-g002.jpg
https://cdn.ncbi.nlm.nih.gov/pmc/blobs/8c4c/9952120/b78ca6959b3b/antioxidants-12-00455-g003.jpg
https://cdn.ncbi.nlm.nih.gov/pmc/blobs/8c4c/9952120/00e10b8b7a51/antioxidants-12-00455-g004.jpg
https://cdn.ncbi.nlm.nih.gov/pmc/blobs/8c4c/9952120/c5651ad5a816/antioxidants-12-00455-g005.jpg
https://cdn.ncbi.nlm.nih.gov/pmc/blobs/8c4c/9952120/eba0b1924186/antioxidants-12-00455-g006.jpg
https://cdn.ncbi.nlm.nih.gov/pmc/blobs/8c4c/9952120/b8fb4aa2810d/antioxidants-12-00455-g001.jpg
https://cdn.ncbi.nlm.nih.gov/pmc/blobs/8c4c/9952120/a2d71111588c/antioxidants-12-00455-g002.jpg
https://cdn.ncbi.nlm.nih.gov/pmc/blobs/8c4c/9952120/b78ca6959b3b/antioxidants-12-00455-g003.jpg
https://cdn.ncbi.nlm.nih.gov/pmc/blobs/8c4c/9952120/00e10b8b7a51/antioxidants-12-00455-g004.jpg
https://cdn.ncbi.nlm.nih.gov/pmc/blobs/8c4c/9952120/c5651ad5a816/antioxidants-12-00455-g005.jpg
https://cdn.ncbi.nlm.nih.gov/pmc/blobs/8c4c/9952120/eba0b1924186/antioxidants-12-00455-g006.jpg

相似文献

1
Structural Characterization of Polysaccharides from Seeds: Hepatoprotective Effect against Cadmium Toxicity In Vivo.种子多糖的结构表征:对体内镉毒性的肝保护作用
Antioxidants (Basel). 2023 Feb 10;12(2):455. doi: 10.3390/antiox12020455.
2
Extraction, characterization, and in vivo antitumor activity of a novel polysaccharide from Coriandrum sativum L.芫荽新型多糖的提取、表征及体内抗肿瘤活性研究
J Food Biochem. 2022 Oct;46(10):e14323. doi: 10.1111/jfbc.14323. Epub 2022 Jul 22.
3
Partial characterization of the edible Spinacia oleracea polysaccharides: Cytoprotective and antioxidant potentials against Cd induced toxicity in HCT116 and HEK293 cells.食用菠菜多糖的部分特性:对 Cd 诱导的 HCT116 和 HEK293 细胞毒性的细胞保护和抗氧化潜力。
Int J Biol Macromol. 2019 Sep 1;136:332-340. doi: 10.1016/j.ijbiomac.2019.06.089. Epub 2019 Jun 14.
4
Characterization of Polysaccharides Sequentially Extracted from Leaves and Their Hepatoprotective Effects against Cadmium Induced Toxicity in Mouse Liver.从叶片中顺序提取的多糖的表征及其对小鼠肝脏镉诱导毒性的肝保护作用。
Antioxidants (Basel). 2022 Sep 21;11(10):1866. doi: 10.3390/antiox11101866.
5
Titanium dioxide nanoparticles mitigate cadmium toxicity in Coriandrum sativum L. through modulating antioxidant system, stress markers and reducing cadmium uptake.二氧化钛纳米颗粒通过调节抗氧化系统、应激标志物和减少镉吸收来减轻镉对芫荽的毒性。
Environ Pollut. 2022 Jan 1;292(Pt A):118373. doi: 10.1016/j.envpol.2021.118373. Epub 2021 Oct 15.
6
Chemopreventive role of Coriandrum sativum against gentamicin-induced renal histopathological damage in rats.香菜对庆大霉素诱导的大鼠肾脏组织病理学损伤的化学预防作用。
Interdiscip Toxicol. 2015 Jun;8(2):99-102. doi: 10.1515/intox-2015-0015.
7
Selenium nanoparticles reduced cadmium uptake, regulated nutritional homeostasis and antioxidative system in Coriandrum sativum grown in cadmium toxic conditions.硒纳米颗粒降低了镉的吸收,调节了在镉毒性条件下生长的芫荽中的营养稳态和抗氧化系统。
Chemosphere. 2022 Jan;287(Pt 3):132332. doi: 10.1016/j.chemosphere.2021.132332. Epub 2021 Sep 21.
8
Role of exogenously applied putrescine in amelioration of cadmium stress in by modulating antioxidant system.腐胺通过调节抗氧化系统缓解镉胁迫对 的作用。
Int J Phytoremediation. 2022;24(9):955-962. doi: 10.1080/15226514.2021.1985961. Epub 2021 Oct 10.
9
Effect of coriander on thioacetamide-induced hepatotoxicity in rats.香菜对硫代乙酰胺诱导的大鼠肝毒性的影响。
Toxicol Ind Health. 2014 Aug;30(7):621-9. doi: 10.1177/0748233712462470. Epub 2012 Oct 5.
10
Coriander (Coriandrum sativum): A promising functional food toward the well-being.芫荽(芫荽):一种有前途的功能性食品,对健康有益。
Food Res Int. 2018 Mar;105:305-323. doi: 10.1016/j.foodres.2017.11.019. Epub 2017 Nov 21.

引用本文的文献

1
Isolation, In Vitro Antioxidant Capacity, Hypoglycemic Activity and Immunoactivity Evaluation of Polysaccharides from L.来自[具体名称未完整给出的L植物]的多糖的分离、体外抗氧化能力、降血糖活性及免疫活性评价
Antioxidants (Basel). 2025 Jan 27;14(2):149. doi: 10.3390/antiox14020149.

本文引用的文献

1
Phenolics and Volatile Compounds of Fennel () Seeds and Their Sprouts Prevent Oxidative DNA Damage and Ameliorates CCl-Induced Hepatotoxicity and Oxidative Stress in Rats.茴香种子及其芽苗菜中的酚类和挥发性化合物可预防大鼠的氧化性DNA损伤,并改善四氯化碳诱导的肝毒性和氧化应激。
Antioxidants (Basel). 2022 Nov 23;11(12):2318. doi: 10.3390/antiox11122318.
2
Characterization of Polysaccharides Sequentially Extracted from Leaves and Their Hepatoprotective Effects against Cadmium Induced Toxicity in Mouse Liver.从叶片中顺序提取的多糖的表征及其对小鼠肝脏镉诱导毒性的肝保护作用。
Antioxidants (Basel). 2022 Sep 21;11(10):1866. doi: 10.3390/antiox11101866.
3
High-Quality Bioethanol and Vinegar Production from Saudi Arabia Dates: Characterization and Evaluation of Their Value and Antioxidant Efficiency.
利用沙特阿拉伯枣生产高品质生物乙醇和醋:其特性、价值及抗氧化效率评估
Antioxidants (Basel). 2022 Jun 13;11(6):1155. doi: 10.3390/antiox11061155.
4
Antioxidative, Antidiabetic, and Hypolipidemic Properties of Probiotic-Enriched Fermented Camel Milk Combined with Leaves Hydroalcoholic Extract in Streptozotocin-Induced Diabetes in Rats.富含益生菌的发酵骆驼奶与叶水醇提取物联合应用对链脲佐菌素诱导的糖尿病大鼠的抗氧化、抗糖尿病和降血脂特性
Antioxidants (Basel). 2022 Mar 30;11(4):668. doi: 10.3390/antiox11040668.
5
Differential responses of polysaccharides and antioxidant enzymes in alleviating cadmium toxicity of tuber traditional Chinese medicinal materials.多糖和抗氧化酶缓解中药材中镉毒性的差异响应。
Environ Sci Pollut Res Int. 2022 Aug;29(40):60832-60842. doi: 10.1007/s11356-022-20136-x. Epub 2022 Apr 18.
6
Recent Advances in Functional Polymer Materials for Energy, Water, and Biomedical Applications: A Review.用于能源、水和生物医学应用的功能高分子材料的最新进展:综述
Polymers (Basel). 2021 Dec 10;13(24):4327. doi: 10.3390/polym13244327.
7
Structural Characteristics of Crude Polysaccharides from 12 Selected Chinese Teas, and Their Antioxidant and Anti-Diabetic Activities.12种精选中国茶粗多糖的结构特征及其抗氧化和抗糖尿病活性
Antioxidants (Basel). 2021 Sep 30;10(10):1562. doi: 10.3390/antiox10101562.
8
Beneficial Role of Antioxidant Secondary Metabolites from Medicinal Plants in Maintaining Oral Health.药用植物抗氧化次生代谢产物在维持口腔健康中的有益作用。
Antioxidants (Basel). 2021 Jun 30;10(7):1061. doi: 10.3390/antiox10071061.
9
Pectic polysaccharides from edible halophytes: Insight on extraction processes, structural characterizations and immunomodulatory potentials.食用盐生植物中的果胶多糖:提取工艺、结构特征和免疫调节潜力的研究进展。
Int J Biol Macromol. 2021 Mar 15;173:554-579. doi: 10.1016/j.ijbiomac.2021.01.144. Epub 2021 Jan 26.
10
Antioxidant, Anti-Inflammatory and Antidiabetic Proprieties of LC-MS/MS Identified Polyphenols from Coriander Seeds.从芫荽籽中通过 LC-MS/MS 鉴定的多酚的抗氧化、抗炎和抗糖尿病特性。
Molecules. 2021 Jan 18;26(2):487. doi: 10.3390/molecules26020487.