• 文献检索
  • 文档翻译
  • 深度研究
  • 学术资讯
  • Suppr Zotero 插件Zotero 插件
  • 邀请有礼
  • 套餐&价格
  • 历史记录
应用&插件
Suppr Zotero 插件Zotero 插件浏览器插件Mac 客户端Windows 客户端微信小程序
定价
高级版会员购买积分包购买API积分包
服务
文献检索文档翻译深度研究API 文档MCP 服务
关于我们
关于 Suppr公司介绍联系我们用户协议隐私条款
关注我们

Suppr 超能文献

核心技术专利:CN118964589B侵权必究
粤ICP备2023148730 号-1Suppr @ 2026

文献检索

告别复杂PubMed语法,用中文像聊天一样搜索,搜遍4000万医学文献。AI智能推荐,让科研检索更轻松。

立即免费搜索

文件翻译

保留排版,准确专业,支持PDF/Word/PPT等文件格式,支持 12+语言互译。

免费翻译文档

深度研究

AI帮你快速写综述,25分钟生成高质量综述,智能提取关键信息,辅助科研写作。

立即免费体验

分析精液制备方法对辅助生殖技术结局的差异影响。

Analyzing the Differential Impact of Semen Preparation Methods on the Outcomes of Assisted Reproductive Techniques.

作者信息

Bibi Riffat, Jahan Sarwat, Afsar Tayyaba, Almajwal Ali, Hammadeh Mohamad Eid, Amor Houda, Abusharha Ali, Razak Suhail

机构信息

Department of Animal Sciences, Faculty of Biological Sciences, Quaid-i-Azam University Islamabad, Islamabad 45320, Pakistan.

Department of Community Health Sciences, College of Applied Medical Sciences, King Saud University, Riyadh 11433, Saudi Arabia.

出版信息

Biomedicines. 2023 Feb 6;11(2):467. doi: 10.3390/biomedicines11020467.

DOI:10.3390/biomedicines11020467
PMID:36831003
原文链接:https://pmc.ncbi.nlm.nih.gov/articles/PMC9953211/
Abstract

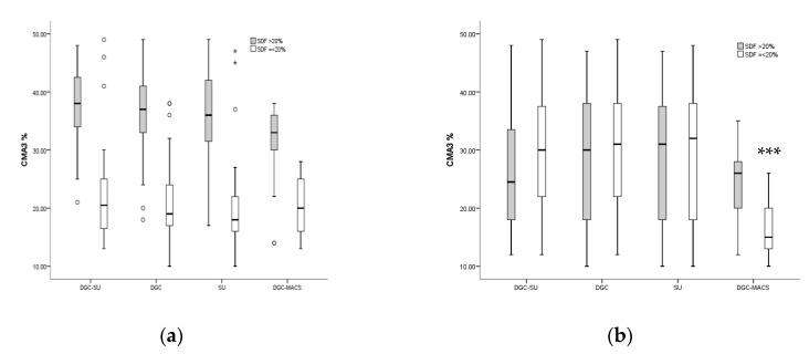
Sperm separation plays a critical role in assisted reproductive technology. Based on migration, density gradient centrifugation and filtration, a properly selected sperm could help in increasing assisted reproductive outcomes in teratozoospermia (TZs). The current study aimed to assess the prognostic value of four sperm selection techniques: density gradient centrifugation (DGC), swim-up (SU), DGC-SU and DGC followed by magnetic-activated cell sorting (DGC-MACS). These were evaluated using spermatozoa functional parameters. A total of 385 infertile couples underwent the procedure of intracytoplasmic sperm injection (ICSI), with an isolated teratozoospermia in the male partner. Semen samples were prepared by using one of the mentioned sperm preparation techniques. The improvements in the percentage of normal mature spermatozoa, rate of fertilization, cleavage, pregnancy and the number of live births were assessed. The normal morphology, spermatozoa DNA fragmentation (SDF) and chromatin maturity checked by using chromomycin A3 (CMA3) with DGC-MACS preparation were better compared to the other three methods. Embryo cleavage, clinical pregnancy and implantation were better improved in the DGC-MACS than in the other tested techniques. The DGC-MACS technique helped in the selection of an increased percentage of normal viable and mature sperm with intact chromatin integrity in patients with teratozoospermia.

摘要

精子分离在辅助生殖技术中起着关键作用。基于迁移、密度梯度离心和过滤,正确选择的精子有助于提高畸形精子症(TZs)患者辅助生殖的成功率。本研究旨在评估四种精子选择技术的预后价值:密度梯度离心(DGC)、上游法(SU)、DGC-SU以及DGC联合磁激活细胞分选(DGC-MACS)。通过精子功能参数对这些技术进行评估。共有385对不育夫妇接受了卵胞浆内单精子注射(ICSI)治疗,男方为单纯的畸形精子症。精液样本采用上述其中一种精子制备技术进行制备。评估正常成熟精子百分比、受精率、卵裂率、妊娠率和活产数的改善情况。与其他三种方法相比,使用DGC-MACS制备的精子在正常形态、精子DNA碎片率(SDF)以及通过放线菌素A3(CMA3)检测的染色质成熟度方面表现更佳。与其他测试技术相比,DGC-MACS在胚胎卵裂、临床妊娠和着床方面的改善更为明显。DGC-MACS技术有助于在畸形精子症患者中选择出更高比例的具有完整染色质完整性的正常、有活力且成熟的精子。

https://cdn.ncbi.nlm.nih.gov/pmc/blobs/505d/9953211/1c2f9e23d08b/biomedicines-11-00467-g003.jpg
https://cdn.ncbi.nlm.nih.gov/pmc/blobs/505d/9953211/bb7777ed7420/biomedicines-11-00467-g001.jpg
https://cdn.ncbi.nlm.nih.gov/pmc/blobs/505d/9953211/889653119cb4/biomedicines-11-00467-g002a.jpg
https://cdn.ncbi.nlm.nih.gov/pmc/blobs/505d/9953211/1c2f9e23d08b/biomedicines-11-00467-g003.jpg
https://cdn.ncbi.nlm.nih.gov/pmc/blobs/505d/9953211/bb7777ed7420/biomedicines-11-00467-g001.jpg
https://cdn.ncbi.nlm.nih.gov/pmc/blobs/505d/9953211/889653119cb4/biomedicines-11-00467-g002a.jpg
https://cdn.ncbi.nlm.nih.gov/pmc/blobs/505d/9953211/1c2f9e23d08b/biomedicines-11-00467-g003.jpg

相似文献

1
Analyzing the Differential Impact of Semen Preparation Methods on the Outcomes of Assisted Reproductive Techniques.分析精液制备方法对辅助生殖技术结局的差异影响。
Biomedicines. 2023 Feb 6;11(2):467. doi: 10.3390/biomedicines11020467.
2
[Magnetic-activated cell sorting (MACS) versus density gradient centrifugation (DGC) for the selection of human sperm in assisted reproductive techniques].[磁激活细胞分选法(MACS)与密度梯度离心法(DGC)在辅助生殖技术中用于人类精子筛选的比较]
Zhonghua Yi Xue Za Zhi. 2018 Oct 30;98(40):3263-3267. doi: 10.3760/cma.j.issn.0376-2491.2018.40.010.
3
Magnetic-activated cell sorting of nonapoptotic spermatozoa with a high DNA fragmentation index improves the live birth rate and decreases transfer cycles of IVF/ICSI.磁激活细胞分选具有高 DNA 碎片化指数的非凋亡精子可提高活产率并减少 IVF/ICSI 的转移周期。
Asian J Androl. 2022 Jul-Aug;24(4):367-372. doi: 10.4103/aja202161.
4
Density gradient centrifugation before or after magnetic-activated cell sorting: which technique is more useful for clinical sperm selection?密度梯度离心法在磁激活细胞分选前后:哪种技术对临床精子选择更有用?
J Assist Reprod Genet. 2012 Jan;29(1):31-8. doi: 10.1007/s10815-011-9686-6. Epub 2011 Dec 15.
5
Selection of viable human spermatozoa with low levels of DNA fragmentation from an immotile population using density gradient centrifugation and magnetic-activated cell sorting.使用密度梯度离心和磁激活细胞分选技术从无运动能力的群体中筛选出具有低水平DNA片段化的有活力人类精子。
Andrologia. 2018 Feb;50(1). doi: 10.1111/and.12821. Epub 2017 May 3.
6
Assessment of density gradient centrifugation (DGC) and sperm chromatin dispersion (SCD) measurements in couples with male factor infertility undergoing ICSI.对接受卵胞浆内单精子注射(ICSI)的男性因素不育夫妇进行密度梯度离心法(DGC)和精子染色质扩散(SCD)检测的评估。
J Assist Reprod Genet. 2014 Dec;31(12):1655-63. doi: 10.1007/s10815-014-0339-4. Epub 2014 Sep 17.
7
Sperm enrichment from poor semen samples by double density gradient centrifugation in combination with swim-up for IVF cycles.通过密度梯度离心法联合精子上游法从精液质量差的样本中富集精子,用于 IVF 周期。
Sci Rep. 2020 Feb 10;10(1):2286. doi: 10.1038/s41598-020-59347-y.
8
DNA fragmentation in human sperm after magnetic-activated cell sorting.磁激活细胞分选后人精子中的DNA片段化
J Assist Reprod Genet. 2015 Jan;32(1):147-54. doi: 10.1007/s10815-014-0370-5. Epub 2014 Nov 6.
9
Minor DNA methylation changes are observed in spermatozoa prepared using different protocols.在使用不同方案制备的精子中观察到 DNA 甲基化的微小变化。
Andrology. 2020 Sep;8(5):1312-1323. doi: 10.1111/andr.12832. Epub 2020 Jun 21.
10
The use of complimentary assays to evaluate the enrichment of human sperm quality in asthenoteratozoospermic and teratozoospermic samples processed with Annexin-V magnetic activated cell sorting.采用互补性检测方法评估 Annexin-V 磁激活细胞分选处理后的弱畸形精子症和畸形精子症样本中人类精子质量的富集情况。
Andrology. 2013 Sep;1(5):698-706. doi: 10.1111/j.2047-2927.2013.00106.x. Epub 2013 Jul 11.

引用本文的文献

1
Improving sperm selection strategies for assisted reproduction through closing the knowledge gap in sperm maturation mechanics.通过弥合精子成熟机制方面的知识差距来改进辅助生殖中的精子筛选策略。
Hum Reprod Open. 2025 Jul 3;2025(3):hoaf040. doi: 10.1093/hropen/hoaf040. eCollection 2025.
2
Increased reproductive outcomes after optimized sperm preparation.优化精子制备后生殖结局改善。
Front Cell Dev Biol. 2025 May 13;13:1596421. doi: 10.3389/fcell.2025.1596421. eCollection 2025.
3
Non-pharmacological interventions involving traditional Chinese medicine for assisted reproductive technology: A group consensus.

本文引用的文献

1
The influence of paternal overweight on sperm chromatin integrity, fertilization rate and pregnancy outcome among males attending fertility clinic for IVF/ICSI treatment.父亲超重对接受 IVF/ICSI 治疗的男性精子染色质完整性、受精率和妊娠结局的影响。
BMC Pregnancy Childbirth. 2022 Aug 5;22(1):620. doi: 10.1186/s12884-022-04953-z.
2
Sperm Selection for ICSI: Do We Have a Winner?卵胞浆内单精子注射中的精子选择:我们有胜者吗?
Cells. 2021 Dec 17;10(12):3566. doi: 10.3390/cells10123566.
3
Sperm Selection Procedures for Optimizing the Outcome of ICSI in Patients with NOA.
辅助生殖技术中涉及中医药的非药物干预:一项专家共识。
Integr Med Res. 2025 Jun;14(2):101137. doi: 10.1016/j.imr.2025.101137. Epub 2025 Mar 10.
4
Sperm Separation and Selection Techniques to Mitigate Sperm DNA Damage.减轻精子DNA损伤的精子分离与筛选技术
Life (Basel). 2025 Feb 14;15(2):302. doi: 10.3390/life15020302.
5
Advanced Sperm Selection Techniques for Assisted Reproduction.辅助生殖的先进精子筛选技术
J Pers Med. 2024 Jul 4;14(7):726. doi: 10.3390/jpm14070726.
6
Emerging trends in sperm selection: enhancing success rates in assisted reproduction.精子选择的新趋势:提高辅助生殖的成功率。
Reprod Biol Endocrinol. 2024 Jun 14;22(1):67. doi: 10.1186/s12958-024-01239-1.
7
Isolated teratozoospermia: revisiting its relevance in male infertility: a narrative review.孤立性畸形精子症:重新审视其在男性不育中的相关性:一项叙述性综述
Transl Androl Urol. 2024 Feb 29;13(2):260-273. doi: 10.21037/tau-23-397. Epub 2024 Feb 26.
非梗阻性无精子症患者优化卵胞浆内单精子注射结局的精子选择程序
J Clin Med. 2021 Jun 18;10(12):2687. doi: 10.3390/jcm10122687.
4
Sperm Oxidative Stress during In Vitro Manipulation and Its Effects on Sperm Function and Embryo Development.体外操作过程中的精子氧化应激及其对精子功能和胚胎发育的影响。
Antioxidants (Basel). 2021 Jun 25;10(7):1025. doi: 10.3390/antiox10071025.
5
Correlation among isolated teratozoospermia, sperm DNA fragmentation and markers of systemic inflammation in primary infertile men.原发性不育男性孤立型畸形精子症、精子 DNA 碎片化与全身炎症标志物的相关性。
PLoS One. 2021 Jun 7;16(6):e0251608. doi: 10.1371/journal.pone.0251608. eCollection 2021.
6
Sperm Selection by Magnetic-Activated Cell Sorting before Microinjection of Autologous Oocytes Increases Cumulative Live Birth Rates with Limited Clinical Impact: A Retrospective Study in Unselected Males.在对自体卵母细胞进行显微注射前,通过磁激活细胞分选法筛选精子可提高累积活产率且临床影响有限:一项针对未筛选男性的回顾性研究
Biology (Basel). 2021 May 12;10(5):430. doi: 10.3390/biology10050430.
7
Sperm Parameters, ASAs and Apoptosis After Processing by the Double Tube and Swim up Methods.双管法和游泳法处理后的精子参数、ASA 和细胞凋亡。
Am J Mens Health. 2021 Mar-Apr;15(2):15579883211001202. doi: 10.1177/15579883211001202.
8
Perspectives of Nanoparticles in Male Infertility: Evidence for Induced Abnormalities in Sperm Production.纳米颗粒在男性不育症中的研究进展:对精子发生异常的启示
Int J Environ Res Public Health. 2021 Feb 11;18(4):1758. doi: 10.3390/ijerph18041758.
9
Effects of Semen Processing on Sperm Function: Differences between Swim-Up and Density Gradient Centrifugation.精液处理对精子功能的影响:上游法与密度梯度离心法之间的差异
World J Mens Health. 2021 Oct;39(4):740-749. doi: 10.5534/wjmh.200115. Epub 2020 Nov 19.
10
Magnetic-Activated Cell Sorting (MACS): A Useful Sperm-Selection Technique in Cases of High Levels of Sperm DNA Fragmentation.磁性激活细胞分选法(MACS):精子DNA碎片化程度高的情况下一种有用的精子选择技术。
J Clin Med. 2020 Dec 8;9(12):3976. doi: 10.3390/jcm9123976.