Suppr超能文献

术前维生素 D 缺乏与中国老年髋部骨折患者一年死亡率的增加相关 - 一项倾向评分匹配研究。

Preoperative Vitamin D Deficiency is Associated with Increased One-Year Mortality in Chinese Geriatric Hip Fracture Patients - A Propensity Score Matching Study.

机构信息

Department of Orthopedics, Guangdong Provincial People's Hospital (Guangdong Academy of Medical Sciences), Southern Medical University, Guangzhou, People's Republic of China.

Shantou University Medical College, Shantou, People's Republic of China.

出版信息

Clin Interv Aging. 2023 Feb 18;18:263-272. doi: 10.2147/CIA.S395228. eCollection 2023.

Abstract

BACKGROUND

Vitamin D deficiency is a common comorbidity in geriatric hip fracture patients. However, there is still an ongoing debate regarding the influence of preoperative Vitamin D status on postoperative mortality in hip fracture patients.

METHODS

Elderly patients (≥60 years) who underwent surgical interventions for unilateral hip fracture from 2015 to 2020 in our center were included. We retrospectively retrieved the demographic data from the electronic medical database. Preoperative serum total 25-hydroxy-Vitamin D was set as the independent variable and patients were classified as the Vitamin D deficiency (<20ng/mL) and the control groups consequently. Clinical outcomes include all-cause mortality, walking ability, and major postoperative complications in the first postoperative year. Propensity score matching (PSM) was performed in a ratio of 1:1 in the two groups for further comparison.

RESULTS

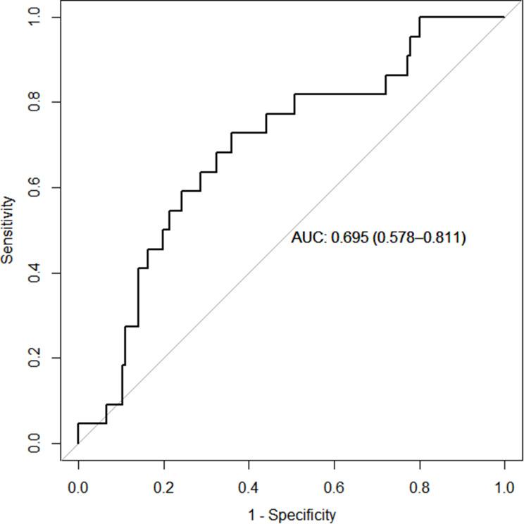
A total of 210 patients were included and 121 patients (57.6%) were diagnosed with Vitamin D deficiency. Patients in the Vitamin D deficiency group were much older and therefore preferred peripheral nerve block, and had significantly higher proportions of females, preoperative dementia, higher ASA grade, and lower baseline serum albumin level. Overall, 79 patients were identified in the Vitamin D deficiency and control groups after PSM, respectively. Patients diagnosed with Vitamin D deficiency showed a significantly higher one-year mortality (21.5% vs 6.3%, P=0.011) and a much lower one-year independent walking rate (67.1% vs.84.8%, P=0.016) after the matching. Regarding the dataset before PSM and after PSM, the AUC for serum Vitamin D for predicting one-year mortality was 0.656 (P=0.006) and 0.695 (P=0.002), respectively.

CONCLUSION

Our retrospective PSM-design study provides new evidence that Vitamin D deficiency was associated with a significantly higher mortality and poor walking ability in the first year after surgical intervention based on southern Chinese populations.

摘要

背景

维生素 D 缺乏是老年髋部骨折患者的常见合并症。然而,关于术前维生素 D 状态对髋部骨折患者术后死亡率的影响,仍存在争议。

方法

纳入 2015 年至 2020 年在我院接受单侧髋部骨折手术治疗的老年患者(≥60 岁)。我们从电子病历数据库中回顾性检索人口统计学数据。将术前血清总 25-羟维生素 D 设为自变量,并将患者分为维生素 D 缺乏组(<20ng/ml)和对照组。临床结局包括术后 1 年内的全因死亡率、行走能力和主要术后并发症。在两组中按 1:1 进行倾向评分匹配(PSM)以进一步比较。

结果

共纳入 210 例患者,其中 121 例(57.6%)诊断为维生素 D 缺乏。维生素 D 缺乏组患者年龄较大,更倾向于行外周神经阻滞,女性、术前痴呆、ASA 分级较高和基线血清白蛋白水平较低的患者比例显著较高。总体上,PSM 后分别在维生素 D 缺乏组和对照组中识别出 79 例患者。维生素 D 缺乏组患者的 1 年死亡率明显更高(21.5% vs.6.3%,P=0.011),1 年独立行走率明显更低(67.1% vs.84.8%,P=0.016)。在 PSM 前后的数据集中,血清维生素 D 预测 1 年死亡率的 AUC 分别为 0.656(P=0.006)和 0.695(P=0.002)。

结论

我们的回顾性 PSM 设计研究提供了新的证据,表明基于中国南方人群,维生素 D 缺乏与手术干预后 1 年内死亡率显著升高和行走能力较差相关。

https://cdn.ncbi.nlm.nih.gov/pmc/blobs/eadd/9945644/8d2e33cd3388/CIA-18-263-g0001.jpg

文献AI研究员

20分钟写一篇综述,助力文献阅读效率提升50倍。

立即体验

用中文搜PubMed

大模型驱动的PubMed中文搜索引擎

马上搜索

文档翻译

学术文献翻译模型,支持多种主流文档格式。

立即体验