• 文献检索
  • 文档翻译
  • 深度研究
  • 学术资讯
  • Suppr Zotero 插件Zotero 插件
  • 邀请有礼
  • 套餐&价格
  • 历史记录
应用&插件
Suppr Zotero 插件Zotero 插件浏览器插件Mac 客户端Windows 客户端微信小程序
定价
高级版会员购买积分包购买API积分包
服务
文献检索文档翻译深度研究API 文档MCP 服务
关于我们
关于 Suppr公司介绍联系我们用户协议隐私条款
关注我们

Suppr 超能文献

核心技术专利:CN118964589B侵权必究
粤ICP备2023148730 号-1Suppr @ 2026

文献检索

告别复杂PubMed语法,用中文像聊天一样搜索,搜遍4000万医学文献。AI智能推荐,让科研检索更轻松。

立即免费搜索

文件翻译

保留排版,准确专业,支持PDF/Word/PPT等文件格式,支持 12+语言互译。

免费翻译文档

深度研究

AI帮你快速写综述,25分钟生成高质量综述,智能提取关键信息,辅助科研写作。

立即免费体验

机械生物学和生物力学途径在皮肤伤口愈合中的作用。

Mechano-biological and bio-mechanical pathways in cutaneous wound healing.

机构信息

School of Mechanical Engineering, Purdue University, West Lafayette, Indiana, United States of America.

Institute for Mechanical Systems (IMES), Department of Mechanical and Process Engineering, ETH Zurich, Zurich, Switzerland.

出版信息

PLoS Comput Biol. 2023 Mar 9;19(3):e1010902. doi: 10.1371/journal.pcbi.1010902. eCollection 2023 Mar.

DOI:10.1371/journal.pcbi.1010902
PMID:36893170
原文链接:https://pmc.ncbi.nlm.nih.gov/articles/PMC10030043/
Abstract

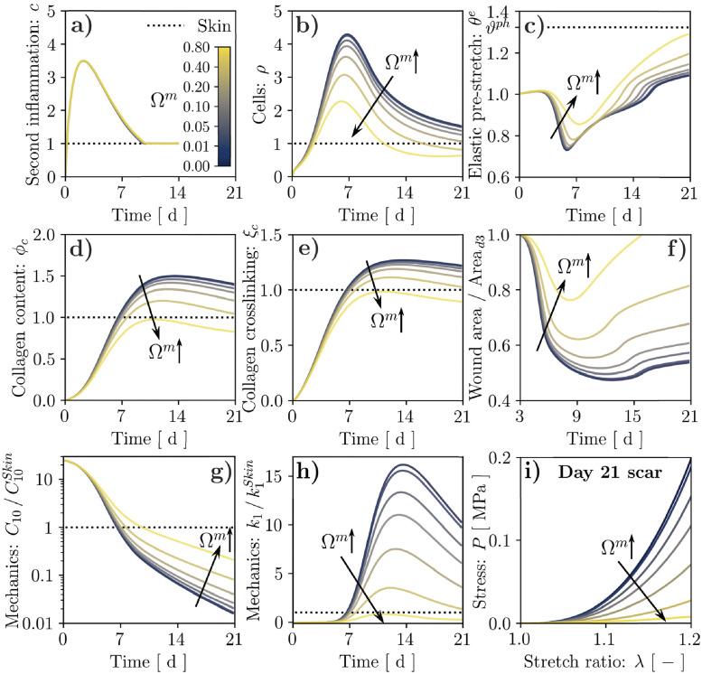
Injuries to the skin heal through coordinated action of fibroblast-mediated extracellular matrix (ECM) deposition, ECM remodeling, and wound contraction. Defects involving the dermis result in fibrotic scars featuring increased stiffness and altered collagen content and organization. Although computational models are crucial to unravel the underlying biochemical and biophysical mechanisms, simulations of the evolving wound biomechanics are seldom benchmarked against measurements. Here, we leverage recent quantifications of local tissue stiffness in murine wounds to refine a previously-proposed systems-mechanobiological finite-element model. Fibroblasts are considered as the main cell type involved in ECM remodeling and wound contraction. Tissue rebuilding is coordinated by the release and diffusion of a cytokine wave, e.g. TGF-β, itself developed in response to an earlier inflammatory signal triggered by platelet aggregation. We calibrate a model of the evolving wound biomechanics through a custom-developed hierarchical Bayesian inverse analysis procedure. Further calibration is based on published biochemical and morphological murine wound healing data over a 21-day healing period. The calibrated model recapitulates the temporal evolution of: inflammatory signal, fibroblast infiltration, collagen buildup, and wound contraction. Moreover, it enables in silico hypothesis testing, which we explore by: (i) quantifying the alteration of wound contraction profiles corresponding to the measured variability in local wound stiffness; (ii) proposing alternative constitutive links connecting the dynamics of the biochemical fields to the evolving mechanical properties; (iii) discussing the plausibility of a stretch- vs. stiffness-mediated mechanobiological coupling. Ultimately, our model challenges the current understanding of wound biomechanics and mechanobiology, beside offering a versatile tool to explore and eventually control scar fibrosis after injury.

摘要

皮肤损伤通过成纤维细胞介导的细胞外基质(ECM)沉积、ECM 重塑和伤口收缩的协同作用来愈合。涉及真皮的缺陷会导致纤维化瘢痕,其特征是硬度增加以及胶原含量和组织改变。尽管计算模型对于揭示潜在的生化和生物物理机制至关重要,但对不断发展的伤口生物力学的模拟很少与测量值进行基准测试。在这里,我们利用最近对小鼠伤口局部组织硬度的定量分析来改进先前提出的系统-机械生物有限元模型。成纤维细胞被认为是参与 ECM 重塑和伤口收缩的主要细胞类型。组织重建是通过细胞因子波(例如 TGF-β)的释放和扩散来协调的,细胞因子波本身是对由血小板聚集引发的早期炎症信号的反应而产生的。我们通过自定义开发的分层贝叶斯逆分析过程来校准不断发展的伤口生物力学模型。进一步的校准是基于在 21 天的愈合期间发表的生化和形态学小鼠伤口愈合数据。校准后的模型再现了以下方面的时间演变:炎症信号、成纤维细胞浸润、胶原蛋白积累和伤口收缩。此外,它还支持在计算机上进行假设检验,我们通过以下方法进行了探索:(i)量化与局部伤口硬度测量值的变化相对应的伤口收缩曲线的变化;(ii)提出替代的本构关系,将生化场的动力学与不断变化的机械性能联系起来;(iii)讨论基于拉伸或基于硬度的机械生物耦合的合理性。最终,我们的模型挑战了当前对伤口生物力学和机械生物学的理解,同时提供了一种探索和最终控制受伤后疤痕纤维化的多功能工具。

https://cdn.ncbi.nlm.nih.gov/pmc/blobs/6477/10030043/c50e67d38cbe/pcbi.1010902.g008.jpg
https://cdn.ncbi.nlm.nih.gov/pmc/blobs/6477/10030043/6f4554b555a0/pcbi.1010902.g001.jpg
https://cdn.ncbi.nlm.nih.gov/pmc/blobs/6477/10030043/ff818446ae35/pcbi.1010902.g002.jpg
https://cdn.ncbi.nlm.nih.gov/pmc/blobs/6477/10030043/011bf1bebedf/pcbi.1010902.g003.jpg
https://cdn.ncbi.nlm.nih.gov/pmc/blobs/6477/10030043/bab50739a457/pcbi.1010902.g004.jpg
https://cdn.ncbi.nlm.nih.gov/pmc/blobs/6477/10030043/952258d1fe92/pcbi.1010902.g005.jpg
https://cdn.ncbi.nlm.nih.gov/pmc/blobs/6477/10030043/6da1bb41c315/pcbi.1010902.g006.jpg
https://cdn.ncbi.nlm.nih.gov/pmc/blobs/6477/10030043/5fadb5a62f6b/pcbi.1010902.g007.jpg
https://cdn.ncbi.nlm.nih.gov/pmc/blobs/6477/10030043/c50e67d38cbe/pcbi.1010902.g008.jpg
https://cdn.ncbi.nlm.nih.gov/pmc/blobs/6477/10030043/6f4554b555a0/pcbi.1010902.g001.jpg
https://cdn.ncbi.nlm.nih.gov/pmc/blobs/6477/10030043/ff818446ae35/pcbi.1010902.g002.jpg
https://cdn.ncbi.nlm.nih.gov/pmc/blobs/6477/10030043/011bf1bebedf/pcbi.1010902.g003.jpg
https://cdn.ncbi.nlm.nih.gov/pmc/blobs/6477/10030043/bab50739a457/pcbi.1010902.g004.jpg
https://cdn.ncbi.nlm.nih.gov/pmc/blobs/6477/10030043/952258d1fe92/pcbi.1010902.g005.jpg
https://cdn.ncbi.nlm.nih.gov/pmc/blobs/6477/10030043/6da1bb41c315/pcbi.1010902.g006.jpg
https://cdn.ncbi.nlm.nih.gov/pmc/blobs/6477/10030043/5fadb5a62f6b/pcbi.1010902.g007.jpg
https://cdn.ncbi.nlm.nih.gov/pmc/blobs/6477/10030043/c50e67d38cbe/pcbi.1010902.g008.jpg

相似文献

1
Mechano-biological and bio-mechanical pathways in cutaneous wound healing.机械生物学和生物力学途径在皮肤伤口愈合中的作用。
PLoS Comput Biol. 2023 Mar 9;19(3):e1010902. doi: 10.1371/journal.pcbi.1010902. eCollection 2023 Mar.
2
Mechanobiological wound model for improved design and evaluation of collagen dermal replacement scaffolds.用于改进胶原蛋白皮肤替代物支架设计和评估的机械生物学伤口模型。
Acta Biomater. 2021 Nov;135:368-382. doi: 10.1016/j.actbio.2021.08.007. Epub 2021 Aug 12.
3
In vitro cultured fetal fibroblasts have myofibroblast-associated characteristics and produce a fibrotic-like environment upon stimulation with TGF-β1: Is there a thin line between fetal scarless healing and fibrosis?体外培养的胎儿成纤维细胞具有肌成纤维细胞相关特征,并在转化生长因子-β1刺激下产生类似纤维化的环境:胎儿无瘢痕愈合与纤维化之间是否存在细微差别?
Arch Dermatol Res. 2017 Mar;309(2):111-121. doi: 10.1007/s00403-016-1710-3. Epub 2016 Dec 21.
4
CD44-dependent inflammation, fibrogenesis, and collagenolysis regulates extracellular matrix remodeling and tensile strength during cutaneous wound healing.CD44 依赖性炎症、纤维化和胶原溶解调节皮肤伤口愈合过程中的细胞外基质重塑和拉伸强度。
Matrix Biol. 2019 Jan;75-76:314-330. doi: 10.1016/j.matbio.2018.06.004. Epub 2018 Jun 9.
5
Microfibril-associated protein 5 and the regulation of skin scar formation.微纤维相关蛋白 5 与皮肤瘢痕形成的调控。
Sci Rep. 2023 May 30;13(1):8728. doi: 10.1038/s41598-023-35558-x.
6
Contractility, transforming growth factor-beta, and plasmin in fetal skin fibroblasts: role in scarless wound healing.胎儿皮肤成纤维细胞中的收缩性、转化生长因子-β和纤溶酶:在无瘢痕伤口愈合中的作用
Pediatr Res. 1998 Mar;43(3):403-9. doi: 10.1203/00006450-199803000-00016.
7
Activin-mediated alterations of the fibroblast transcriptome and matrisome control the biomechanical properties of skin wounds.激活素介导的成纤维细胞转录组改变和基质体控制皮肤伤口的生物力学特性。
Nat Commun. 2020 May 25;11(1):2604. doi: 10.1038/s41467-020-16409-z.
8
A biomechanical model of wound contraction and scar formation.伤口收缩和瘢痕形成的生物力学模型。
J Theor Biol. 2013 Sep 7;332:228-48. doi: 10.1016/j.jtbi.2013.03.013. Epub 2013 Apr 4.
9
Role of non-mulberry silk fibroin in deposition and regulation of extracellular matrix towards accelerated wound healing.非桑蚕丝素蛋白在细胞外基质沉积和调节中的作用及其对加速伤口愈合的影响。
Acta Biomater. 2017 Jan 15;48:157-174. doi: 10.1016/j.actbio.2016.10.019. Epub 2016 Oct 13.
10
The extracellular matrix: an active or passive player in fibrosis?细胞外基质:在纤维化中是主动还是被动的参与者?
Am J Physiol Gastrointest Liver Physiol. 2011 Dec;301(6):G950-5. doi: 10.1152/ajpgi.00132.2011. Epub 2011 Apr 21.

引用本文的文献

1
Mechanical interactions impact the functions of immune cells and their application in immunoengineering.机械相互作用影响免疫细胞的功能及其在免疫工程中的应用。
Adv Ther (Weinh). 2025 Jun 25. doi: 10.1002/adtp.202500067.
2
Progress in tension-relieving suturing surgery: revolutionary surgical techniques and patient prognosis evaluation methods.张力缓解缝合手术的进展:革命性的手术技术和患者预后评估方法。
Front Surg. 2025 May 13;12:1587582. doi: 10.3389/fsurg.2025.1587582. eCollection 2025.
3
Effect of Carboxymethyl chitosan-sodium alginate hydrogel loaded with - on wound healing in rats.

本文引用的文献

1
PyMC: a modern, and comprehensive probabilistic programming framework in Python.PyMC:Python 中一个现代且全面的概率编程框架。
PeerJ Comput Sci. 2023 Sep 1;9:e1516. doi: 10.7717/peerj-cs.1516. eCollection 2023.
2
Multiscale mechanobiology: Coupling models of adhesion kinetics and nonlinear tissue mechanics.多尺度力学生物学:黏附动力学和非线性组织力学的耦合模型。
Biophys J. 2022 Feb 15;121(4):525-539. doi: 10.1016/j.bpj.2022.01.012. Epub 2022 Jan 21.
3
Disrupting biological sensors of force promotes tissue regeneration in large organisms.
负载[具体物质未给出]的羧甲基壳聚糖-海藻酸钠水凝胶对大鼠伤口愈合的影响。
Front Pharmacol. 2025 Jan 29;16:1526828. doi: 10.3389/fphar.2025.1526828. eCollection 2025.
4
Biomechanics of soft biological tissues and organs, mechanobiology, homeostasis and modelling.软生物组织和器官的生物力学、机械生物学、体内平衡与建模。
J R Soc Interface. 2025 Jan;22(222):20240361. doi: 10.1098/rsif.2024.0361. Epub 2025 Jan 29.
5
Epidermal stem cell-derived exosomes improve wound healing by promoting the proliferation and migration of human skin fibroblasts.表皮干细胞来源的外泌体通过促进人皮肤成纤维细胞的增殖和迁移来改善伤口愈合。
Burns Trauma. 2024 Dec 16;12:tkae047. doi: 10.1093/burnst/tkae047. eCollection 2024.
6
Tissue expansion mitigates radiation-induced skin fibrosis in a porcine model.组织扩张减轻了猪模型中的辐射诱导性皮肤纤维化。
Acta Biomater. 2024 Nov;189:427-438. doi: 10.1016/j.actbio.2024.09.035. Epub 2024 Sep 24.
7
Advancements in diabetic foot ulcer research: Focus on mesenchymal stem cells and their exosomes.糖尿病足溃疡研究进展:聚焦间充质干细胞及其外泌体
Heliyon. 2024 Aug 29;10(17):e37031. doi: 10.1016/j.heliyon.2024.e37031. eCollection 2024 Sep 15.
8
Single-cell RNA-seq in diabetic foot ulcer wound healing.单细胞 RNA 测序在糖尿病足溃疡愈合中的应用。
Wound Repair Regen. 2024 Nov-Dec;32(6):880-889. doi: 10.1111/wrr.13218. Epub 2024 Sep 12.
9
Modeling the extracellular matrix in cell migration and morphogenesis: a guide for the curious biologist.细胞迁移和形态发生中细胞外基质的建模:给好奇生物学家的指南
Front Cell Dev Biol. 2024 Mar 1;12:1354132. doi: 10.3389/fcell.2024.1354132. eCollection 2024.
10
Poroelastic Characterization and Modeling of Subcutaneous Tissue Under Confined Compression.受限压缩下皮下组织的多孔弹性特征描述和建模。
Ann Biomed Eng. 2024 Jun;52(6):1638-1652. doi: 10.1007/s10439-024-03477-1. Epub 2024 Mar 12.
破坏力的生物传感器可促进大型生物的组织再生。
Nat Commun. 2021 Sep 6;12(1):5256. doi: 10.1038/s41467-021-25410-z.
4
Mechanobiological wound model for improved design and evaluation of collagen dermal replacement scaffolds.用于改进胶原蛋白皮肤替代物支架设计和评估的机械生物学伤口模型。
Acta Biomater. 2021 Nov;135:368-382. doi: 10.1016/j.actbio.2021.08.007. Epub 2021 Aug 12.
5
Multiscale modeling meets machine learning: What can we learn?多尺度建模与机器学习相遇:我们能学到什么?
Arch Comput Methods Eng. 2021 May;28(3):1017-1037. doi: 10.1007/s11831-020-09405-5. Epub 2020 Feb 17.
6
Preventing activation in fibroblasts yields wound regeneration without scarring.抑制成纤维细胞的激活可实现无疤的伤口再生。
Science. 2021 Apr 23;372(6540). doi: 10.1126/science.aba2374.
7
Increased volume and collagen crosslinks drive soft tissue contribution to post-traumatic elbow contracture in an animal model.在动物模型中,增加的容积和胶原交联导致创伤后肘挛缩的软组织贡献。
J Orthop Res. 2021 Aug;39(8):1800-1810. doi: 10.1002/jor.24781. Epub 2020 Jun 26.
8
How cosmetic tightening products modulate the biomechanics and morphology of human skin.美容紧致产品如何调节人体皮肤的生物力学和形态。
Acta Biomater. 2020 Oct 1;115:299-316. doi: 10.1016/j.actbio.2020.08.027. Epub 2020 Aug 25.
9
Activin-mediated alterations of the fibroblast transcriptome and matrisome control the biomechanical properties of skin wounds.激活素介导的成纤维细胞转录组改变和基质体控制皮肤伤口的生物力学特性。
Nat Commun. 2020 May 25;11(1):2604. doi: 10.1038/s41467-020-16409-z.
10
A comparative study of hyperelastic constitutive models for colonic tissue fitted to multiaxial experimental testing.针对结肠组织超弹性本构模型与多轴实验测试拟合的对比研究。
J Mech Behav Biomed Mater. 2020 Feb;102:103507. doi: 10.1016/j.jmbbm.2019.103507. Epub 2019 Oct 24.