Suppr超能文献

血清白蛋白与前列腺特异性抗原的关系:2003-2010 年全国健康与营养调查分析。

The relationship between serum albumin and prostate-specific antigen: A analysis of the National Health and Nutrition Examination Survey, 2003-2010.

机构信息

Department of Urology, Jingzhou Central Hospital, Jingzhou Hospital Affiliated to Yangtze University, Jingzhou, China.

出版信息

Front Public Health. 2023 Mar 6;11:1078280. doi: 10.3389/fpubh.2023.1078280. eCollection 2023.

Abstract

BACKGROUND

Previous studies have shown that serum albumin is associated with prostate cancer (PCa), but not with prostate-specific antigen (PSA) levels in populations without PCa history. Therefore, we analyzed secondary data provided by the National Health and Nutrition Examination Survey (NHANES) (2003-2010).

METHODS

In total, 5,469 participants were selected from the NHANES database (2003-2010). Serum albumin and PSA levels were serially considered independent and dependent variables, serially. A number of covariates were included in this study, including demographic, dietary, physical examination, and comorbidity data. Using weighted linear regression model and smooth curve fitting, the linear and non-linear relationship between serum albumin and PSA was investigated.

RESULTS

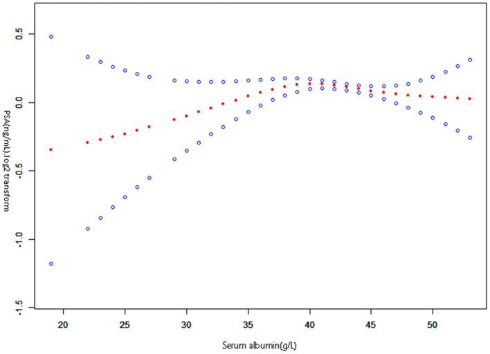
After modulating underlying interference factors, the weighted multivariate linear regression analysis revealed that serum albumin did not independently predict PSA levels (β = -0.009 95%CI: -0.020, 0.002). Nevertheless, a non-linear relationship was found between serum albumin and PSA, with a point of 41 g/L. Left of the inflection point, the effect size, 95%CI, and -value were 0.019 (log2 transformation) (-0.006, 0.043) and 0.1335, respectively. We found a negative association between serum albumin and PSA on the right side of the inflection point, with effect size, 95%CI, and a -value of -0.022 (log2 transformation) (-0.037, -0.007), 0.0036.

CONCLUSION

In summary, serum albumin and PSA levels are not linearly related. When serum albumin levels exceed 41 g, serum albumin levels are negatively associated with PSA levels.

摘要

背景

先前的研究表明,血清白蛋白与前列腺癌(PCa)有关,但与无 PCa 病史人群的前列腺特异性抗原(PSA)水平无关。因此,我们分析了国家健康和营养检查调查(NHANES)(2003-2010 年)提供的二次数据。

方法

从 NHANES 数据库(2003-2010 年)中选择了 5469 名参与者。血清白蛋白和 PSA 水平被连续视为独立和依赖变量。本研究纳入了许多协变量,包括人口统计学、饮食、体检和合并症数据。使用加权线性回归模型和光滑曲线拟合,研究了血清白蛋白和 PSA 之间的线性和非线性关系。

结果

在调节潜在干扰因素后,加权多元线性回归分析表明,血清白蛋白不能独立预测 PSA 水平(β=-0.009,95%CI:-0.020,0.002)。然而,在血清白蛋白和 PSA 之间发现了非线性关系,拐点为 41g/L。在拐点左侧,效应大小、95%CI 和-值分别为 0.019(对数转换)(-0.006,0.043)和 0.1335。我们发现,在拐点右侧,血清白蛋白与 PSA 呈负相关,效应大小、95%CI 和-值分别为-0.022(对数转换)(-0.037,-0.007)和 0.0036。

结论

总之,血清白蛋白和 PSA 水平之间没有线性关系。当血清白蛋白水平超过 41g/L 时,血清白蛋白水平与 PSA 水平呈负相关。

https://cdn.ncbi.nlm.nih.gov/pmc/blobs/bb7d/10025559/7ccc554ebccb/fpubh-11-1078280-g0001.jpg

文献AI研究员

20分钟写一篇综述,助力文献阅读效率提升50倍。

立即体验

用中文搜PubMed

大模型驱动的PubMed中文搜索引擎

马上搜索

文档翻译

学术文献翻译模型,支持多种主流文档格式。

立即体验