Suppr超能文献

海狮、海象和海豹的多组织 DNA 甲基化衰老时钟。

Multi-tissue DNA methylation aging clocks for sea lions, walruses and seals.

机构信息

Zoological Operations, SeaWorld Parks and Entertainment, Orlando, FL, USA.

Species Preservation Lab, SeaWorld Parks and Entertainment, San Diego, CA, USA.

出版信息

Commun Biol. 2023 Apr 1;6(1):359. doi: 10.1038/s42003-023-04734-0.

Abstract

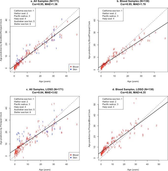
Age determination of wild animals, including pinnipeds, is critical for accurate population assessment and management. For most pinnipeds, current age estimation methodologies utilize tooth or bone sectioning which makes antemortem estimations problematic. We leveraged recent advances in the development of epigenetic age estimators (epigenetic clocks) to develop highly accurate pinniped epigenetic clocks. For clock development, we applied the mammalian methylation array to profile 37,492 cytosine-guanine sites (CpGs) across highly conserved stretches of DNA in blood and skin samples (n = 171) from primarily three pinniped species representing the three phylogenetic families: Otariidae, Phocidae and Odobenidae. We built an elastic net model with Leave-One-Out-Cross Validation (LOOCV) and one with a Leave-One-Species-Out-Cross-Validation (LOSOCV). After identifying the top 30 CpGs, the LOOCV produced a highly correlated (r = 0.95) and accurate (median absolute error = 1.7 years) age estimation clock. The LOSOCV elastic net results indicated that blood and skin clock (r = 0.84) and blood (r = 0.88) pinniped clocks could predict age of animals from pinniped species not used for clock development to within 3.6 and 4.4 years, respectively. These epigenetic clocks provide an improved and relatively non-invasive tool to determine age in skin or blood samples from all pinniped species.

摘要

野生动物(包括鳍足类动物)的年龄确定对于准确的种群评估和管理至关重要。对于大多数鳍足类动物,当前的年龄估计方法利用牙齿或骨骼切片,这使得在动物生前进行估计变得困难。我们利用最近在开发表观遗传年龄估算器(表观遗传钟)方面的进展,开发了高度准确的鳍足类动物表观遗传钟。为了开发时钟,我们应用哺乳动物甲基化阵列来分析血液和皮肤样本(n=171)中高度保守的 DNA 上的 37492 个胞嘧啶-鸟嘌呤位点(CpG),这些样本主要来自代表三个进化家族的三种鳍足类动物:海豹科、海狮科和海象科。我们使用Leave-One-Out-Cross-Validation(LOOCV)构建了一个弹性网络模型和一个Leave-One-Species-Out-Cross-Validation(LOSOCV)。在确定前 30 个 CpG 后,LOOCV 产生了一个高度相关(r=0.95)和准确的(中位数绝对误差=1.7 年)年龄估计时钟。LOSOCV 弹性网络结果表明,血液和皮肤时钟(r=0.84)和血液(r=0.88)鳍足类时钟可以预测未用于时钟开发的鳍足类动物的年龄,误差分别在 3.6 年和 4.4 年以内。这些表观遗传钟为确定所有鳍足类动物的皮肤或血液样本中的年龄提供了一种改进的、相对非侵入性的工具。

https://cdn.ncbi.nlm.nih.gov/pmc/blobs/27e6/10067968/46f7a82ea45b/42003_2023_4734_Fig1_HTML.jpg

文献检索

告别复杂PubMed语法,用中文像聊天一样搜索,搜遍4000万医学文献。AI智能推荐,让科研检索更轻松。

立即免费搜索

文件翻译

保留排版,准确专业,支持PDF/Word/PPT等文件格式,支持 12+语言互译。

免费翻译文档

深度研究

AI帮你快速写综述,25分钟生成高质量综述,智能提取关键信息,辅助科研写作。

立即免费体验