Suppr超能文献

电场和层间分离对MoSe₂/WSe₂异质双层自旋-谷物理特性的影响特征:从能带到偶极激子

Signatures of Electric Field and Layer Separation Effects on the Spin-Valley Physics of MoSe/WSe Heterobilayers: From Energy Bands to Dipolar Excitons.

作者信息

Faria Junior Paulo E, Fabian Jaroslav

机构信息

Institute for Theoretical Physics, University of Regensburg, 93040 Regensburg, Germany.

出版信息

Nanomaterials (Basel). 2023 Mar 27;13(7):1187. doi: 10.3390/nano13071187.

Abstract

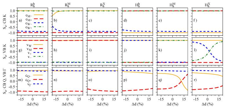
Multilayered van der Waals heterostructures based on transition metal dichalcogenides are suitable platforms on which to study interlayer (dipolar) excitons, in which electrons and holes are localized in different layers. Interestingly, these excitonic complexes exhibit pronounced valley Zeeman signatures, but how their spin-valley physics can be further altered due to external parameters-such as electric field and interlayer separation-remains largely unexplored. Here, we perform a systematic analysis of the spin-valley physics in MoSe2/WSe2 heterobilayers under the influence of an external electric field and changes of the interlayer separation. In particular, we analyze the spin (Sz) and orbital (Lz) degrees of freedom, and the symmetry properties of the relevant band edges (at K, Q, and Γ points) of high-symmetry stackings at 0° (R-type) and 60° (H-type) angles-the important building blocks present in moiré or atomically reconstructed structures. We reveal distinct hybridization signatures on the spin and the orbital degrees of freedom of low-energy bands, due to the wave function mixing between the layers, which are stacking-dependent, and can be further modified by electric field and interlayer distance variation. We find that H-type stackings favor large changes in the g-factors as a function of the electric field, e.g., from -5 to 3 in the valence bands of the Hhh stacking, because of the opposite orientation of Sz and Lz of the individual monolayers. For the low-energy dipolar excitons (direct and indirect in -space), we quantify the electric dipole moments and polarizabilities, reflecting the layer delocalization of the constituent bands. Furthermore, our results show that direct dipolar excitons carry a robust valley Zeeman effect nearly independent of the electric field, but tunable by the interlayer distance, which can be rendered experimentally accessible via applied external pressure. For the momentum-indirect dipolar excitons, our symmetry analysis indicates that phonon-mediated optical processes can easily take place. In particular, for the indirect excitons with conduction bands at the Q point for H-type stackings, we find marked variations of the valley Zeeman (∼4) as a function of the electric field, which notably stands out from the other dipolar exciton species. Our analysis suggests that stronger signatures of the coupled spin-valley physics are favored in H-type stackings, which can be experimentally investigated in samples with twist angle close to 60°. In summary, our study provides fundamental microscopic insights into the spin-valley physics of van der Waals heterostructures, which are relevant to understanding the valley Zeeman splitting of dipolar excitonic complexes, and also excitons.

摘要

基于过渡金属二硫属化物的多层范德华异质结构是研究层间(偶极)激子的合适平台,其中电子和空穴局域在不同层中。有趣的是,这些激子复合体表现出明显的谷塞曼特征,但由于外部参数(如电场和层间间距),它们的自旋-谷物理如何进一步改变在很大程度上仍未被探索。在这里,我们对MoSe2/WSe2异质双层在外部电场影响和层间间距变化下的自旋-谷物理进行了系统分析。特别是,我们分析了自旋(Sz)和轨道(Lz)自由度,以及在0°(R型)和60°(H型)角度的高对称堆叠的相关带边(在K、Q和Γ点)的对称性质——这些是莫尔或原子重构结构中存在的重要组成部分。由于层间波函数混合,我们揭示了低能带的自旋和轨道自由度上不同的杂化特征,这种杂化特征取决于堆叠方式,并且可以通过电场和层间距离变化进一步修改。我们发现,由于单个单层的Sz和Lz方向相反,H型堆叠有利于g因子随电场的大幅变化,例如在Hhh堆叠的价带中从-5到3。对于低能偶极激子(在空间中直接和间接),我们量化了电偶极矩和极化率,反映了组成带的层离域情况。此外,我们的结果表明,直接偶极激子携带几乎与电场无关但可通过层间距离调节的稳健谷塞曼效应,这可以通过施加外部压力在实验中实现。对于动量间接偶极激子,我们的对称分析表明声子介导的光学过程很容易发生。特别是,对于H型堆叠中导带在Q点的间接激子,我们发现谷塞曼(约4)随电场有明显变化,这明显区别于其他偶极激子种类。我们的分析表明,H型堆叠有利于耦合自旋-谷物理的更强特征,这可以在扭转角接近6°的样品中进行实验研究。总之,我们的研究提供了对范德华异质结构自旋-谷物理的基本微观见解,这与理解偶极激子复合体以及激子的谷塞曼分裂相关。

https://cdn.ncbi.nlm.nih.gov/pmc/blobs/9f6c/10096971/63307e808c8d/nanomaterials-13-01187-g001.jpg

文献检索

告别复杂PubMed语法,用中文像聊天一样搜索,搜遍4000万医学文献。AI智能推荐,让科研检索更轻松。

立即免费搜索

文件翻译

保留排版,准确专业,支持PDF/Word/PPT等文件格式,支持 12+语言互译。

免费翻译文档

深度研究

AI帮你快速写综述,25分钟生成高质量综述,智能提取关键信息,辅助科研写作。

立即免费体验