Suppr超能文献

用于术前评估肝细胞癌微血管侵犯风险的机器学习模型的推导与验证

Derivation and validation of machine learning models for preoperative estimation of microvascular invasion risk in hepatocellular carcinoma.

作者信息

Chen Zhiqiang, Zuo Xueliang, Zhang Yao, Han Guoyong, Zhang Long, Ding Wenzhou, Wu Jindao, Wang Xuehao

机构信息

Hepatobiliary Center, The First Affiliated Hospital of Nanjing Medical University, Key Laboratory of Liver Transplantation, Chinese Academy of Medical Sciences, NHC Key Laboratory of Liver Transplantation, Nanjing, China.

Department of Gastrointestinal Surgery, The First Affiliated Hospital, Yijishan Hospital of Wannan Medical College, Wuhu, China.

出版信息

Ann Transl Med. 2023 Mar 31;11(6):249. doi: 10.21037/atm-22-2828. Epub 2023 Jan 6.

Abstract

BACKGROUND

Hepatocellular carcinoma (HCC) represents a considerable burden to patients and health systems. Microvascular invasion (MVI) is a significant risk factor for HCC recurrence and survival after hepatectomy. We aimed to establish a preoperative MVI prediction model based on readily available clinical and radiographic characteristics using machine learning algorithms.

METHODS

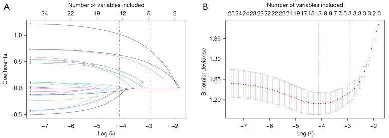
Two independent cohorts of patients with HCC who underwent hepatectomy were included in the analysis and divided into a derivation set (466 patients), an internal validation set (182 patients), and an external validation set (140 patients). Least absolute shrinkage and selection operator (LASSO) analysis was used to optimize variable selection. We constructed the MVI prediction model using several machine learning algorithms, including logistic regression, k-nearest neighbors, support vector machine, decision tree, random forest, extreme gradient boosting, and neural network. Performance of the model was assessed in terms of discrimination, calibration, and clinical usefulness.

RESULTS

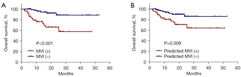
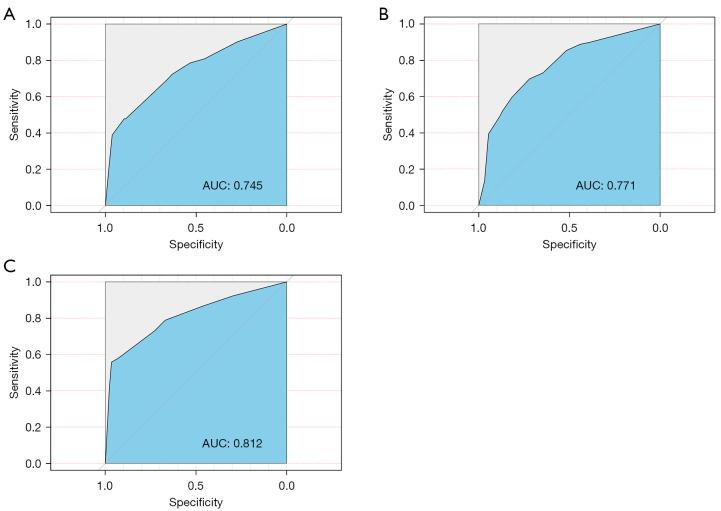
The three most significant variables associated with MVI-α-fetoprotein, protein induced by vitamin K absence or antagonist-II, and tumor size-were identified by the LASSO analysis. Among the machine learning algorithms, the logistic regression model achieved the largest area under the receiver operating characteristic curve and was presented in the form of a user-friendly, online calculator. The concordance (C)-statistic of the model was 0.745 [95% confidence interval (CI): 0.701-0.790] for the derivation set, 0.771 (95% CI: 0.703-0.839) for the internal validation set, and 0.812 (95% CI: 0.734-0.891) for the external validation set. The Hosmer-Lemeshow calibration test and calibration plot indicated a good fit for all 3 data sets. Decision curve analysis showed the model was clinically useful.

CONCLUSIONS

This study provided a convenient and explainable approach for MVI prediction before surgical intervention. Our model may assist clinicians in determining the optimal therapeutic modality and facilitate precision medicine for HCC.

摘要

背景

肝细胞癌(HCC)给患者和卫生系统带来了相当大的负担。微血管侵犯(MVI)是肝癌肝切除术后复发和生存的重要危险因素。我们旨在使用机器学习算法,基于易于获得的临床和影像学特征建立术前MVI预测模型。

方法

将两个接受肝切除术的HCC患者独立队列纳入分析,并分为一个推导集(466例患者)、一个内部验证集(182例患者)和一个外部验证集(140例患者)。使用最小绝对收缩和选择算子(LASSO)分析来优化变量选择。我们使用几种机器学习算法构建了MVI预测模型,包括逻辑回归、k近邻、支持向量机、决策树、随机森林、极端梯度提升和神经网络。从区分度、校准度和临床实用性方面评估模型的性能。

结果

LASSO分析确定了与MVI相关的三个最显著变量——甲胎蛋白、维生素K缺乏或拮抗剂-II诱导的蛋白和肿瘤大小。在机器学习算法中,逻辑回归模型在受试者工作特征曲线下面积最大,并以用户友好的在线计算器形式呈现。该模型在推导集中的一致性(C)统计量为0.745[95%置信区间(CI):0.701-0.790],在内部验证集中为0.771(95%CI:0.703-0.839),在外部验证集中为0.812(95%CI:0.734-0.891)。Hosmer-Lemeshow校准检验和校准图表明所有3个数据集拟合良好。决策曲线分析表明该模型具有临床实用性。

结论

本研究为手术干预前的MVI预测提供了一种方便且可解释的方法。我们的模型可能有助于临床医生确定最佳治疗方式,并促进肝癌的精准医疗。

https://cdn.ncbi.nlm.nih.gov/pmc/blobs/7df6/10113096/2415c0cc581e/atm-11-06-249-f1.jpg

文献AI研究员

20分钟写一篇综述,助力文献阅读效率提升50倍。

立即体验

用中文搜PubMed

大模型驱动的PubMed中文搜索引擎

马上搜索

文档翻译

学术文献翻译模型,支持多种主流文档格式。

立即体验