• 文献检索
  • 文档翻译
  • 深度研究
  • 学术资讯
  • Suppr Zotero 插件Zotero 插件
  • 邀请有礼
  • 套餐&价格
  • 历史记录
应用&插件
Suppr Zotero 插件Zotero 插件浏览器插件Mac 客户端Windows 客户端微信小程序
定价
高级版会员购买积分包购买API积分包
服务
文献检索文档翻译深度研究API 文档MCP 服务
关于我们
关于 Suppr公司介绍联系我们用户协议隐私条款
关注我们

Suppr 超能文献

核心技术专利:CN118964589B侵权必究
粤ICP备2023148730 号-1Suppr @ 2026

文献检索

告别复杂PubMed语法,用中文像聊天一样搜索,搜遍4000万医学文献。AI智能推荐,让科研检索更轻松。

立即免费搜索

文件翻译

保留排版,准确专业,支持PDF/Word/PPT等文件格式,支持 12+语言互译。

免费翻译文档

深度研究

AI帮你快速写综述,25分钟生成高质量综述,智能提取关键信息,辅助科研写作。

立即免费体验

帕金森病的临床评估:金标准是否足够闪亮?

Clinical Evaluation in Parkinson's Disease: Is the Golden Standard Shiny Enough?

机构信息

Department of Physiology, Faculty of Medicine, School of Health Sciences, University of Ioannina, 45110 Ioannina, Greece.

PD Neurotechnology Ltd., 45500 Ioannina, Greece.

出版信息

Sensors (Basel). 2023 Apr 7;23(8):3807. doi: 10.3390/s23083807.

DOI:10.3390/s23083807
PMID:37112154
原文链接:https://pmc.ncbi.nlm.nih.gov/articles/PMC10145765/
Abstract

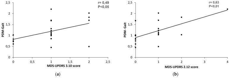
Parkinson's disease (PD) has become the second most common neurodegenerative condition following Alzheimer's disease (AD), exhibiting high prevalence and incident rates. Current care strategies for PD patients include brief appointments, which are sparsely allocated, at outpatient clinics, where, in the best case scenario, expert neurologists evaluate disease progression using established rating scales and patient-reported questionnaires, which have interpretability issues and are subject to recall bias. In this context, artificial-intelligence-driven telehealth solutions, such as wearable devices, have the potential to improve patient care and support physicians to manage PD more effectively by monitoring patients in their familiar environment in an objective manner. In this study, we evaluate the validity of in-office clinical assessment using the MDS-UPDRS rating scale compared to home monitoring. Elaborating the results for 20 patients with Parkinson's disease, we observed moderate to strong correlations for most symptoms (bradykinesia, rest tremor, gait impairment, and freezing of gait), as well as for fluctuating conditions (dyskinesia and OFF). In addition, we identified for the first time the existence of an index capable of remotely measuring patients' quality of life. In summary, an in-office examination is only partially representative of most PD symptoms and cannot accurately capture daytime fluctuations and patients' quality of life.

摘要

帕金森病(PD)已成为继阿尔茨海默病(AD)之后第二常见的神经退行性疾病,其患病率和发病率都很高。目前 PD 患者的治疗策略包括在门诊进行短暂的预约,由专家神经科医生使用既定的评分量表和患者报告的问卷来评估疾病进展,这些方法存在解释问题,并且容易受到回忆偏差的影响。在这种情况下,人工智能驱动的远程医疗解决方案,如可穿戴设备,有可能通过客观地监测患者在熟悉的环境中的情况,改善患者的护理,并帮助医生更有效地管理 PD。在这项研究中,我们评估了使用 MDS-UPDRS 评分量表进行门诊临床评估与家庭监测的有效性。通过对 20 名帕金森病患者的结果进行详细分析,我们观察到大多数症状(运动迟缓、静止性震颤、步态障碍和步态冻结)以及波动情况(运动障碍和关期)都具有中度到高度的相关性。此外,我们首次发现了一个能够远程测量患者生活质量的指数的存在。总之,门诊检查仅能部分代表大多数 PD 症状,无法准确捕捉白天的波动和患者的生活质量。

https://cdn.ncbi.nlm.nih.gov/pmc/blobs/08e2/10145765/e9af7d3c04bd/sensors-23-03807-g011.jpg
https://cdn.ncbi.nlm.nih.gov/pmc/blobs/08e2/10145765/1f2eb4ded8e6/sensors-23-03807-g001.jpg
https://cdn.ncbi.nlm.nih.gov/pmc/blobs/08e2/10145765/dac7542c498e/sensors-23-03807-g002.jpg
https://cdn.ncbi.nlm.nih.gov/pmc/blobs/08e2/10145765/736c916e63a8/sensors-23-03807-g003.jpg
https://cdn.ncbi.nlm.nih.gov/pmc/blobs/08e2/10145765/959d8362e93b/sensors-23-03807-g004a.jpg
https://cdn.ncbi.nlm.nih.gov/pmc/blobs/08e2/10145765/59d7cc12a533/sensors-23-03807-g005.jpg
https://cdn.ncbi.nlm.nih.gov/pmc/blobs/08e2/10145765/3f31cdba03a7/sensors-23-03807-g006.jpg
https://cdn.ncbi.nlm.nih.gov/pmc/blobs/08e2/10145765/621c8fe1803a/sensors-23-03807-g007.jpg
https://cdn.ncbi.nlm.nih.gov/pmc/blobs/08e2/10145765/ef5667daaf88/sensors-23-03807-g008.jpg
https://cdn.ncbi.nlm.nih.gov/pmc/blobs/08e2/10145765/82385a105304/sensors-23-03807-g009.jpg
https://cdn.ncbi.nlm.nih.gov/pmc/blobs/08e2/10145765/c517bf51b868/sensors-23-03807-g010.jpg
https://cdn.ncbi.nlm.nih.gov/pmc/blobs/08e2/10145765/e9af7d3c04bd/sensors-23-03807-g011.jpg
https://cdn.ncbi.nlm.nih.gov/pmc/blobs/08e2/10145765/1f2eb4ded8e6/sensors-23-03807-g001.jpg
https://cdn.ncbi.nlm.nih.gov/pmc/blobs/08e2/10145765/dac7542c498e/sensors-23-03807-g002.jpg
https://cdn.ncbi.nlm.nih.gov/pmc/blobs/08e2/10145765/736c916e63a8/sensors-23-03807-g003.jpg
https://cdn.ncbi.nlm.nih.gov/pmc/blobs/08e2/10145765/959d8362e93b/sensors-23-03807-g004a.jpg
https://cdn.ncbi.nlm.nih.gov/pmc/blobs/08e2/10145765/59d7cc12a533/sensors-23-03807-g005.jpg
https://cdn.ncbi.nlm.nih.gov/pmc/blobs/08e2/10145765/3f31cdba03a7/sensors-23-03807-g006.jpg
https://cdn.ncbi.nlm.nih.gov/pmc/blobs/08e2/10145765/621c8fe1803a/sensors-23-03807-g007.jpg
https://cdn.ncbi.nlm.nih.gov/pmc/blobs/08e2/10145765/ef5667daaf88/sensors-23-03807-g008.jpg
https://cdn.ncbi.nlm.nih.gov/pmc/blobs/08e2/10145765/82385a105304/sensors-23-03807-g009.jpg
https://cdn.ncbi.nlm.nih.gov/pmc/blobs/08e2/10145765/c517bf51b868/sensors-23-03807-g010.jpg
https://cdn.ncbi.nlm.nih.gov/pmc/blobs/08e2/10145765/e9af7d3c04bd/sensors-23-03807-g011.jpg

相似文献

1
Clinical Evaluation in Parkinson's Disease: Is the Golden Standard Shiny Enough?帕金森病的临床评估:金标准是否足够闪亮?
Sensors (Basel). 2023 Apr 7;23(8):3807. doi: 10.3390/s23083807.
2
Quantitative Digitography Measures Motor Symptoms and Disease Progression in Parkinson's Disease.定量数字化技术可测量帕金森病的运动症状和疾病进展。
J Parkinsons Dis. 2022;12(6):1979-1990. doi: 10.3233/JPD-223264.
3
A method for measuring time spent in bradykinesia and dyskinesia in people with Parkinson's disease using an ambulatory monitor.使用动态监测仪测量帕金森病患者的运动迟缓与运动障碍时间的方法。
J Neuroeng Rehabil. 2021 Jul 16;18(1):116. doi: 10.1186/s12984-021-00905-4.
4
Association of freezing of gait and clinical features in patients with Parkinson's disease.帕金森病患者冻结步态与临床特征的相关性。
Acta Neurol Belg. 2021 Feb;121(1):153-159. doi: 10.1007/s13760-019-01217-0. Epub 2019 Oct 25.
5
Quantitative mobility measures complement the MDS-UPDRS for characterization of Parkinson's disease heterogeneity.定量运动测量补充 MDS-UPDRS 以描述帕金森病异质性。
Parkinsonism Relat Disord. 2021 Mar;84:105-111. doi: 10.1016/j.parkreldis.2021.02.006. Epub 2021 Feb 10.
6
Feasibility of a wearable inertial sensor to assess motor complications and treatment in Parkinson's disease.穿戴式惯性传感器评估帕金森病运动并发症及治疗的可行性。
PLoS One. 2023 Feb 2;18(2):e0279910. doi: 10.1371/journal.pone.0279910. eCollection 2023.
7
Continuous Assessment of Levodopa Response in Parkinson's Disease Using Wearable Motion Sensors.使用可穿戴运动传感器对帕金森病患者的左旋多巴反应进行连续评估。
IEEE Trans Biomed Eng. 2018 Jan;65(1):159-164. doi: 10.1109/TBME.2017.2697764. Epub 2017 Apr 25.
8
Measuring Parkinson's disease over time: The real-world within-subject reliability of the MDS-UPDRS.随着时间推移测量帕金森病:MDS-UPDRS 的真实世界内个体可靠性。
Mov Disord. 2019 Oct;34(10):1480-1487. doi: 10.1002/mds.27790. Epub 2019 Jul 10.
9
How to identify tremor dominant and postural instability/gait difficulty groups with the movement disorder society unified Parkinson's disease rating scale: comparison with the unified Parkinson's disease rating scale.如何使用运动障碍学会统一帕金森病评定量表识别震颤为主型和姿势不稳/步态困难型:与统一帕金森病评定量表的比较。
Mov Disord. 2013 May;28(5):668-70. doi: 10.1002/mds.25383. Epub 2013 Feb 13.
10
Prevalence, determinants, and effect on quality of life of freezing of gait in Parkinson disease.帕金森病冻结步态的患病率、决定因素及其对生活质量的影响。
JAMA Neurol. 2014 Jul 1;71(7):884-90. doi: 10.1001/jamaneurol.2014.753.

引用本文的文献

1
Interpretable Machine Learning for Cross-Cohort Prediction of Motor Fluctuations in Parkinson's Disease.用于帕金森病运动波动跨队列预测的可解释机器学习
Mov Disord. 2025 Aug;40(8):1604-1617. doi: 10.1002/mds.30223. Epub 2025 May 14.
2
Evaluation of compliance and accuracy in Parkinson's disease motor symptom tracking: a comparative study of digital and traditional paper diaries using a smartphone application (MyParkinson's).帕金森病运动症状跟踪的依从性和准确性评估:使用智能手机应用程序(MyParkinson's)对数字日记和传统纸质日记的比较研究
Front Neurol. 2025 Jan 29;16:1522721. doi: 10.3389/fneur.2025.1522721. eCollection 2025.
3

本文引用的文献

1
Toward objective monitoring of Parkinson's disease motor symptoms using a wearable device: wearability and performance evaluation of PDMonitor.使用可穿戴设备实现对帕金森病运动症状的客观监测:PDMonitor的可穿戴性及性能评估
Front Neurol. 2023 May 16;14:1080752. doi: 10.3389/fneur.2023.1080752. eCollection 2023.
2
Feasibility of a wearable inertial sensor to assess motor complications and treatment in Parkinson's disease.穿戴式惯性传感器评估帕金森病运动并发症及治疗的可行性。
PLoS One. 2023 Feb 2;18(2):e0279910. doi: 10.1371/journal.pone.0279910. eCollection 2023.
3
A Systematic Survey of Research Trends in Technology Usage for Parkinson's Disease.
Assessing Eligibility for Apomorphine Therapy in Parkinson's Disease: The Telemonitoring Potential.
评估帕金森病患者阿扑吗啡治疗的适用性:远程监测的潜力
Mov Disord Clin Pract. 2025 Feb 11. doi: 10.1002/mdc3.14345.
4
Evolving Landscape of Parkinson's Disease Research: Challenges and Perspectives.帕金森病研究的发展态势:挑战与展望
ACS Omega. 2025 Jan 8;10(2):1864-1892. doi: 10.1021/acsomega.4c09114. eCollection 2025 Jan 21.
5
Commercial symptom monitoring devices in Parkinson's disease: benefits, limitations, and trends.帕金森病的商业症状监测设备:益处、局限性及趋势
Front Neurol. 2024 Dec 23;15:1470928. doi: 10.3389/fneur.2024.1470928. eCollection 2024.
6
[Commercial devices for monitoring symptoms in Parkinson's disease: benefits, limitations and trends].[用于监测帕金森病症状的商用设备:益处、局限性及趋势]
Rev Neurol. 2024 Oct 16;79(8):229-237. doi: 10.33588/rn.7908.2024253.
7
Assessing the clinical utility of inertial sensors for home monitoring in Parkinson's disease: a comprehensive review.评估惯性传感器在帕金森病家庭监测中的临床应用:一项综合综述。
NPJ Parkinsons Dis. 2024 Aug 20;10(1):161. doi: 10.1038/s41531-024-00755-6.
8
Editorial: Remote monitoring technologies in neurodegenerative movement disorders.社论:神经退行性运动障碍中的远程监测技术
Front Neurol. 2024 Jul 11;15:1421454. doi: 10.3389/fneur.2024.1421454. eCollection 2024.
9
Unveiling the Unpredictable in Parkinson's Disease: Sensor-Based Monitoring of Dyskinesias and Freezing of Gait in Daily Life.揭示帕金森病中的不可预测因素:基于传感器的日常生活中异动症和步态冻结监测
Bioengineering (Basel). 2024 Apr 29;11(5):440. doi: 10.3390/bioengineering11050440.
帕金森病技术应用研究趋势的系统调查
Sensors (Basel). 2022 Jul 23;22(15):5491. doi: 10.3390/s22155491.
4
Validation of the PD home diary for assessment of motor fluctuations in advanced Parkinson's disease.用于评估晚期帕金森病运动波动的帕金森病家庭日记的验证
NPJ Parkinsons Dis. 2022 Jun 2;8(1):69. doi: 10.1038/s41531-022-00331-w.
5
Comparison of the Results of a Parkinson's Holter Monitor With Patient Diaries, in Real Conditions of Use: A Sub-analysis of the MoMoPa-EC Clinical Trial.帕金森动态心电图监测仪结果与患者日记在实际使用条件下的比较:MoMoPa-EC临床试验的亚分析
Front Neurol. 2022 May 16;13:835249. doi: 10.3389/fneur.2022.835249. eCollection 2022.
6
Feasibility of a Multimodal Telemedical Intervention for Patients with Parkinson's Disease-A Pilot Study.针对帕金森病患者的多模式远程医疗干预的可行性——一项试点研究
J Clin Med. 2022 Feb 18;11(4):1074. doi: 10.3390/jcm11041074.
7
Surrogates for rigidity and PIGD MDS-UPDRS subscores using wearable sensors.使用可穿戴传感器评估僵硬和 PIGD MDS-UPDRS 亚量表。
Gait Posture. 2022 Jan;91:186-191. doi: 10.1016/j.gaitpost.2021.10.029. Epub 2021 Oct 26.
8
Accurate Monitoring of Parkinson's Disease Symptoms With a Wearable Device During COVID-19 Pandemic.在 COVID-19 大流行期间,使用可穿戴设备准确监测帕金森病症状。
In Vivo. 2021 Jul-Aug;35(4):2327-2330. doi: 10.21873/invivo.12507.
9
Continuous home monitoring of Parkinson's disease using inertial sensors: A systematic review.使用惯性传感器对帕金森病进行连续家庭监测:系统评价。
PLoS One. 2021 Feb 4;16(2):e0246528. doi: 10.1371/journal.pone.0246528. eCollection 2021.
10
Clinical utility of a personalized and long-term monitoring device for Parkinson's disease in a real clinical practice setting: An expert opinion survey on STAT-ON™.个性化长期监测设备在帕金森病真实临床实践环境中的临床效用:关于STAT-ON™的专家意见调查
Neurologia (Engl Ed). 2020 Dec 24. doi: 10.1016/j.nrl.2020.10.013.