• 文献检索
  • 文档翻译
  • 深度研究
  • 学术资讯
  • Suppr Zotero 插件Zotero 插件
  • 邀请有礼
  • 套餐&价格
  • 历史记录
应用&插件
Suppr Zotero 插件Zotero 插件浏览器插件Mac 客户端Windows 客户端微信小程序
定价
高级版会员购买积分包购买API积分包
服务
文献检索文档翻译深度研究API 文档MCP 服务
关于我们
关于 Suppr公司介绍联系我们用户协议隐私条款
关注我们

Suppr 超能文献

核心技术专利:CN118964589B侵权必究
粤ICP备2023148730 号-1Suppr @ 2026

文献检索

告别复杂PubMed语法,用中文像聊天一样搜索,搜遍4000万医学文献。AI智能推荐,让科研检索更轻松。

立即免费搜索

文件翻译

保留排版,准确专业,支持PDF/Word/PPT等文件格式,支持 12+语言互译。

免费翻译文档

深度研究

AI帮你快速写综述,25分钟生成高质量综述,智能提取关键信息,辅助科研写作。

立即免费体验

在不同时期优化滴灌施肥,以提高阿拉比卡咖啡的产量、挥发性化合物和杯测质量。

Optimizing drip fertigation at different periods to improve yield, volatile compounds and cup quality of Arabica coffee.

作者信息

Li Rongmei, Cheng Jinhuan, Liu Xiaogang, Wang Zhihui, Li Huiyong, Guo Jinjin, Wang Haidong, Cui Ningbo, Zhao Lu

机构信息

Faculty of Modern Agricultural Engineering, Kunming University of Science and Technology, Kunming, China.

Tropical and Subtropical Economic Crops Institute, Yunnan Academy of Agricultural Sciences, Baoshan, China.

出版信息

Front Plant Sci. 2023 Jun 2;14:1148616. doi: 10.3389/fpls.2023.1148616. eCollection 2023.

DOI:10.3389/fpls.2023.1148616
PMID:37332688
原文链接:https://pmc.ncbi.nlm.nih.gov/articles/PMC10272449/
Abstract

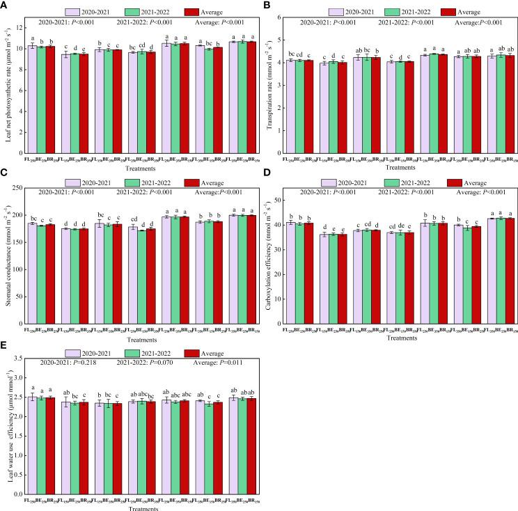
How to improve and regulate coffee bean yield and quality through split fertilization in the whole life cycle of coffee is still unclear and deserves further study. A field experiment of 5-year-old Arabica coffee trees was conducted for 2 consecutive years from 2020 to 2022. The fertilizer (750 kg ha year, N-PO-KO:20%-20%-20%) was split in three times at early flowering (FL), the berry expansion (BE), and the berry ripening (BR). Taking equal fertilization throughout the growth cycle (FLBEBR) as the control check, variable fertilizations including FLBEBR, FLBEBR, FLBEBR, FLBEBR, FLBEBR, and FLBEBR. Leaf net photosynthetic rate ( ), stomatal conductance ( ), transpiration rate ( ), leaf water use efficiency (LWUE), carboxylation efficiency (CE), partial factor productivity of fertilizer (PFP), bean yield, crop water use efficiency (WUE), bean nutrients, volatile compounds and cup quality, and the correlation of nutrients with volatile compounds and cup quality was evaluated. FLBEBR had the maximum and , followed by FLBEBR. The highest dry bean yield and WUE were obtained from FLBEBR, which increased by 8.86% and 8.47% compared with FLBEBR in two-year average. The ash, total sugar, fat, protein, caffeine and chlorogenic acid in FLBEBR were 6.47%, 9.48%, 3.60%, 14.02%, 4.85% and 15.42% higher than FLBEBR. Cluster analysis indicated FLBEBR, FLBEBR, FLBEBR and FLBEBR under medium roasted degree increased pyrazines, esters, ketones and furans, FLBEBR and FLBEBR under dark roasted degree increased ketones and furans. The aroma, flavor, acidity and overall score of medium roasted coffee were higher than dark roasted coffee, while the body score of dark roasted coffee was higher than medium roasted coffee. The nutrient contents were correlated with the volatile compounds and cup quality. TOPSIS indicated that FLBEBR was the optimal fertilization mode in the xerothermic regions. The obtained optimum fertilization mode can provide a scientific basis for coffee fertilization optimization and management.

摘要

如何通过咖啡全生命周期的分期施肥来提高和调控咖啡豆产量及品质尚不清楚,值得进一步研究。对5年生阿拉比卡咖啡树进行了田间试验,从2020年至2022年连续进行了两年。肥料(750千克/公顷·年,N-P₂O₅-K₂O:20%-20%-20%)在初花期(FL)、浆果膨大期(BE)和浆果成熟期(BR)分三次施用。以整个生长周期等量施肥(FLBEBR)作为对照,设置了不同的施肥处理,包括FLBEBR、FLBEBR、FLBEBR、FLBEBR、FLBEBR和FLBEBR。测定了叶片净光合速率( )、气孔导度( )、蒸腾速率( )、叶片水分利用效率(LWUE)、羧化效率(CE)、肥料偏生产力(PFP)、咖啡豆产量、作物水分利用效率(WUE)、咖啡豆养分、挥发性化合物和杯测品质,以及养分与挥发性化合物和杯测品质的相关性。FLBEBR处理的 和 最大,其次是FLBEBR。FLBEBR处理获得了最高的干豆产量和WUE,两年平均较FLBEBR分别提高了8.86%和8.47%。FLBEBR处理的咖啡豆灰分、总糖、脂肪、蛋白质、咖啡因和绿原酸含量分别比FLBEBR高6.47%、9.48%、3.60%、14.02%、4.85%和15.42%。聚类分析表明,中度烘焙度下的FLBEBR、FLBEBR、FLBEBR和FLBEBR处理增加了吡嗪类、酯类、酮类和呋喃类化合物;深度烘焙度下的FLBEBR和FLBEBR处理增加了酮类和呋喃类化合物。中度烘焙咖啡的香气、风味、酸度和总体评分高于深度烘焙咖啡,而深度烘焙咖啡的醇厚度评分高于中度烘焙咖啡。养分含量与挥发性化合物和杯测品质相关。TOPSIS法表明,FLBEBR是干热地区的最佳施肥模式。所得的最佳施肥模式可为咖啡施肥优化和管理提供科学依据。

https://cdn.ncbi.nlm.nih.gov/pmc/blobs/cf34/10272449/bc092f4b9595/fpls-14-1148616-g009.jpg
https://cdn.ncbi.nlm.nih.gov/pmc/blobs/cf34/10272449/e17842f88485/fpls-14-1148616-g001.jpg
https://cdn.ncbi.nlm.nih.gov/pmc/blobs/cf34/10272449/f7c9ca59906e/fpls-14-1148616-g002.jpg
https://cdn.ncbi.nlm.nih.gov/pmc/blobs/cf34/10272449/3f0c40d7a614/fpls-14-1148616-g003.jpg
https://cdn.ncbi.nlm.nih.gov/pmc/blobs/cf34/10272449/75980c6bd9f1/fpls-14-1148616-g004.jpg
https://cdn.ncbi.nlm.nih.gov/pmc/blobs/cf34/10272449/95e717f3baa7/fpls-14-1148616-g005.jpg
https://cdn.ncbi.nlm.nih.gov/pmc/blobs/cf34/10272449/a042e02aa9f1/fpls-14-1148616-g006.jpg
https://cdn.ncbi.nlm.nih.gov/pmc/blobs/cf34/10272449/5bead1696e53/fpls-14-1148616-g007.jpg
https://cdn.ncbi.nlm.nih.gov/pmc/blobs/cf34/10272449/bc76effc8998/fpls-14-1148616-g008.jpg
https://cdn.ncbi.nlm.nih.gov/pmc/blobs/cf34/10272449/bc092f4b9595/fpls-14-1148616-g009.jpg
https://cdn.ncbi.nlm.nih.gov/pmc/blobs/cf34/10272449/e17842f88485/fpls-14-1148616-g001.jpg
https://cdn.ncbi.nlm.nih.gov/pmc/blobs/cf34/10272449/f7c9ca59906e/fpls-14-1148616-g002.jpg
https://cdn.ncbi.nlm.nih.gov/pmc/blobs/cf34/10272449/3f0c40d7a614/fpls-14-1148616-g003.jpg
https://cdn.ncbi.nlm.nih.gov/pmc/blobs/cf34/10272449/75980c6bd9f1/fpls-14-1148616-g004.jpg
https://cdn.ncbi.nlm.nih.gov/pmc/blobs/cf34/10272449/95e717f3baa7/fpls-14-1148616-g005.jpg
https://cdn.ncbi.nlm.nih.gov/pmc/blobs/cf34/10272449/a042e02aa9f1/fpls-14-1148616-g006.jpg
https://cdn.ncbi.nlm.nih.gov/pmc/blobs/cf34/10272449/5bead1696e53/fpls-14-1148616-g007.jpg
https://cdn.ncbi.nlm.nih.gov/pmc/blobs/cf34/10272449/bc76effc8998/fpls-14-1148616-g008.jpg
https://cdn.ncbi.nlm.nih.gov/pmc/blobs/cf34/10272449/bc092f4b9595/fpls-14-1148616-g009.jpg

相似文献

1
Optimizing drip fertigation at different periods to improve yield, volatile compounds and cup quality of Arabica coffee.在不同时期优化滴灌施肥,以提高阿拉比卡咖啡的产量、挥发性化合物和杯测质量。
Front Plant Sci. 2023 Jun 2;14:1148616. doi: 10.3389/fpls.2023.1148616. eCollection 2023.
2
[Effects of deficit irrigation on water-radiation use and yield of Coffea arabica under different shade cultivation modes in dry-hot region].亏缺灌溉对干热地区不同遮荫栽培模式下小粒咖啡水分-辐射利用及产量的影响
Ying Yong Sheng Tai Xue Bao. 2018 Nov;29(11):3550-3558. doi: 10.13287/j.1001-9332.201811.004.
3
Single Origin Coffee Aroma: From Optimized Flavor Protocols and Coffee Customization to Instrumental Volatile Characterization and Chemometrics.单一产地咖啡香气:从优化的风味方案和咖啡定制到仪器挥发性特征分析和化学计量学。
Molecules. 2021 Jul 29;26(15):4609. doi: 10.3390/molecules26154609.
4
Optimizing headspace temperature and time sampling for identification of volatile compounds in ground roasted Arabica coffee.优化顶空温度和时间采样以鉴定研磨烘焙阿拉比卡咖啡中的挥发性化合物。
J Agric Food Chem. 2001 Mar;49(3):1364-9. doi: 10.1021/jf001100r.
5
Leaf gas exchange and bean quality fluctuations over the whole canopy vertical profile of Arabic coffee cultivated under elevated CO.在升高的 CO 环境下,阿拉伯咖啡的整个冠层垂直剖面的叶片气体交换和豆质量波动。
Funct Plant Biol. 2021 Apr;48(5):469-482. doi: 10.1071/FP20298.
6
A study of chemical Composition, Antioxidants, and volatile compounds in roasted Arabic coffee.烘焙阿拉伯咖啡的化学成分、抗氧化剂和挥发性化合物的研究
Saudi J Biol Sci. 2022 May;29(5):3133-3139. doi: 10.1016/j.sjbs.2022.03.025. Epub 2022 Mar 21.
7
Volatile Compounds in Green and Roasted Arabica Specialty Coffee: Discrimination of Origins, Post-Harvesting Processes, and Roasting Level.生豆和烘焙阿拉比卡特种咖啡中的挥发性化合物:产地、收获后加工过程及烘焙程度的鉴别
Foods. 2023 Jan 20;12(3):489. doi: 10.3390/foods12030489.
8
Physicochemical characteristics of Ethiopian cv. Heirloom coffee extracts with various roasting conditions.埃塞俄比亚传统品种咖啡豆在不同烘焙条件下提取物的物理化学特性。
Food Sci Biotechnol. 2021 Feb 6;30(2):235-244. doi: 10.1007/s10068-020-00865-w. eCollection 2021 Feb.
9
Optimizing Shade Cultivation Method and Irrigation Amount to Improve Photosynthetic Characteristics, Bean Yield, and Quality of Coffee in a Subtropical Monsoon Climate.优化遮荫栽培方式与灌溉量以改善亚热带季风气候下咖啡的光合特性、咖啡豆产量及品质
Front Plant Sci. 2022 Apr 29;13:848524. doi: 10.3389/fpls.2022.848524. eCollection 2022.
10
Effects of regular and decaffeinated roasted coffee (Coffea arabica and Coffea canephora) extracts and bioactive compounds on in vitro probiotic bacterial growth.常规和无咖啡因烘焙咖啡(阿拉比卡咖啡和罗布斯塔咖啡)提取物和生物活性化合物对体外益生菌生长的影响。
Food Funct. 2020 Feb 26;11(2):1410-1424. doi: 10.1039/c9fo02589h.

引用本文的文献

1
MaxEnt and Marxan modeling to predict the potential habitat and priority planting areas of in Yunnan, China under climate change scenario.运用最大熵模型(MaxEnt)和马克思an模型(Marxan)预测气候变化情景下中国云南[物种名称缺失]的潜在栖息地和优先种植区域。
Front Plant Sci. 2024 Nov 28;15:1471653. doi: 10.3389/fpls.2024.1471653. eCollection 2024.
2
Organic amendment composition and sowing depth in coffee Arabica: Effects on seedling growth biometrics.有机改良剂成分及播种深度对阿拉比卡咖啡幼苗生长生物特征的影响
Heliyon. 2024 May 30;10(11):e32082. doi: 10.1016/j.heliyon.2024.e32082. eCollection 2024 Jun 15.

本文引用的文献

1
Influence of location, elevation gradients, processing methods, and soil quality on the physical and cup quality of coffee in the Kafa Biosphere Reserve of SW Ethiopia.埃塞俄比亚西南部卡法生物保护区中位置、海拔梯度、加工方法及土壤质量对咖啡物理品质和杯品质量的影响。
Heliyon. 2021 Aug 13;7(8):e07790. doi: 10.1016/j.heliyon.2021.e07790. eCollection 2021 Aug.
2
Single Origin Coffee Aroma: From Optimized Flavor Protocols and Coffee Customization to Instrumental Volatile Characterization and Chemometrics.单一产地咖啡香气:从优化的风味方案和咖啡定制到仪器挥发性特征分析和化学计量学。
Molecules. 2021 Jul 29;26(15):4609. doi: 10.3390/molecules26154609.
3
Fruit quality and volatile compound composition of processing tomato as affected by fertilisation practices and arbuscular mycorrhizal fungi application.
施肥措施和丛枝菌根真菌应用对加工番茄果实品质和挥发性化合物组成的影响。
Food Chem. 2021 Oct 15;359:129961. doi: 10.1016/j.foodchem.2021.129961. Epub 2021 Apr 27.
4
Effect of in vitro digestion on bioactive compounds, antioxidant and antimicrobial activities of coffee (Coffea arabica L.) pulp aqueous extract.体外消化对咖啡(阿拉比卡咖啡)浆水提物中生物活性化合物、抗氧化和抗菌活性的影响。
Food Chem. 2021 Jun 30;348:129094. doi: 10.1016/j.foodchem.2021.129094. Epub 2021 Jan 19.
5
Effect of roasting speed on the volatile composition of coffees with different cup quality.烘焙速度对不同杯测品质咖啡挥发性成分的影响。
Food Res Int. 2020 Nov;137:109546. doi: 10.1016/j.foodres.2020.109546. Epub 2020 Jul 15.
6
Effect of roasting degree of coffee beans on sensory evaluation: Research from the perspective of major chemical ingredients.咖啡豆烘焙程度对感官评价的影响:主要化学成分角度的研究。
Food Chem. 2020 Nov 30;331:127329. doi: 10.1016/j.foodchem.2020.127329. Epub 2020 Jun 13.
7
[Effects of fertilizer application on yield and fertilizer utilization of Coffea arabica in southwest dry-hot region of China under different shading levels].[不同遮荫水平下施肥对中国西南干热地区小粒种咖啡产量及肥料利用率的影响]
Ying Yong Sheng Tai Xue Bao. 2020 Feb;31(2):515-523. doi: 10.13287/j.1001-9332.202002.004.
8
Bio-organic fertilizer with reduced rates of chemical fertilization improves soil fertility and enhances tomato yield and quality.生物有机肥配合减少化肥用量可提高土壤肥力,提高番茄产量和品质。
Sci Rep. 2020 Jan 13;10(1):177. doi: 10.1038/s41598-019-56954-2.
9
Correlation between the composition of green Arabica coffee beans and the sensory quality of coffee brews.绿阿拉比卡咖啡豆的成分与咖啡冲泡口感之间的关系。
Food Chem. 2019 Sep 15;292:275-280. doi: 10.1016/j.foodchem.2019.04.072. Epub 2019 Apr 20.
10
Comparative evaluation of the volatile profiles and taste properties of roasted coffee beans as affected by drying method and detected by electronic nose, electronic tongue, and HS-SPME-GC-MS.不同干燥方法对咖啡豆挥发性成分及口感的影响评价——电子鼻、电子舌和 HS-SPME-GC-MS 的检测
Food Chem. 2019 Jan 30;272:723-731. doi: 10.1016/j.foodchem.2018.08.068. Epub 2018 Aug 17.